Номер 25.32, страница 123 - гдз по алгебре 7-9 класс сборник задач Арефьева, Пирютко

Алгебра, 7-9 класс Сборник задач, авторы: Арефьева Ирина Глебовна, Пирютко Ольга Николаевна, издательство Народная асвета, Минск, 2020

Авторы: Арефьева И. Г., Пирютко О. Н.

Тип: Сборник задач

Издательство: Народная асвета

Год издания: 2020 - 2026

Цвет обложки: синий с графиками

Допущено Министерством образования Республики Беларусь

Популярные ГДЗ в 7 классе

8 класс. Параграф 25. Квадратные уравнения. Решение неполных квадратных уравнений. Формулы корней квадратного уравнения. Решение текстовых задач с помощью квадратных уравнений - номер 25.32, страница 123.

№25.32 (с. 123)
Условие. №25.32 (с. 123)
скриншот условия
Алгебра, 7-9 класс Сборник задач, авторы: Арефьева Ирина Глебовна, Пирютко Ольга Николаевна, издательство Народная асвета, Минск, 2020, страница 123, номер 25.32, Условие

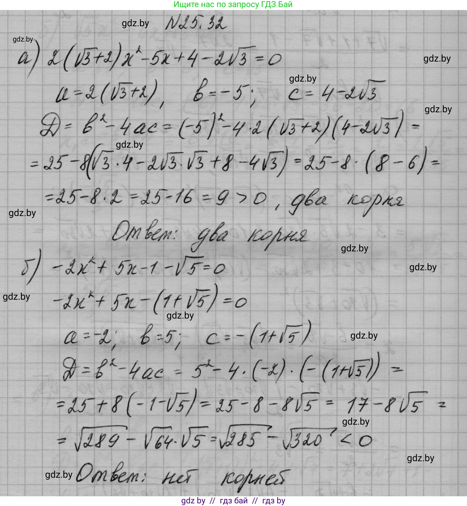
25.32*. Сколько корней имеет квадратное уравнение:

a) $2(\sqrt{3}+2)x^2-5x+4-2\sqrt{3}=0$;

б) $-2x^2+5x-1-\sqrt{5}=0$?

Решение. №25.32 (с. 123)
Алгебра, 7-9 класс Сборник задач, авторы: Арефьева Ирина Глебовна, Пирютко Ольга Николаевна, издательство Народная асвета, Минск, 2020, страница 123, номер 25.32, Решение
Решение 2. №25.32 (с. 123)

Для определения количества корней квадратного уравнения вида $ax^2 + bx + c = 0$ необходимо найти и проанализировать его дискриминант, который вычисляется по формуле $D = b^2 - 4ac$.
- Если $D > 0$, уравнение имеет два различных действительных корня.
- Если $D = 0$, уравнение имеет один действительный корень (или два совпадающих).
- Если $D < 0$, уравнение не имеет действительных корней.

а) Рассмотрим уравнение $2(\sqrt{3} + 2)x^2 - 5x + 4 - 2\sqrt{3} = 0$.
Коэффициенты этого уравнения:
$a = 2(\sqrt{3} + 2) = 2\sqrt{3} + 4$
$b = -5$
$c = 4 - 2\sqrt{3}$
Найдем дискриминант:
$D = b^2 - 4ac = (-5)^2 - 4 \cdot (2\sqrt{3} + 4) \cdot (4 - 2\sqrt{3})$
$D = 25 - 4 \cdot (4 + 2\sqrt{3})(4 - 2\sqrt{3})$
Воспользуемся формулой разности квадратов $(x+y)(x-y)=x^2-y^2$ для произведения в скобках:
$(4 + 2\sqrt{3})(4 - 2\sqrt{3}) = 4^2 - (2\sqrt{3})^2 = 16 - (4 \cdot 3) = 16 - 12 = 4$
Подставим полученное значение обратно в формулу для дискриминанта:
$D = 25 - 4 \cdot 4 = 25 - 16 = 9$
Поскольку $D = 9 > 0$, уравнение имеет два различных действительных корня.
Ответ: 2 корня.

б) Рассмотрим уравнение $-2x^2 + 5x - 1 - \sqrt{5} = 0$.
Коэффициенты этого уравнения:
$a = -2$
$b = 5$
$c = -1 - \sqrt{5} = -(1 + \sqrt{5})$
Найдем дискриминант:
$D = b^2 - 4ac = 5^2 - 4 \cdot (-2) \cdot (-(1 + \sqrt{5}))$
$D = 25 - 8(1 + \sqrt{5}) = 25 - 8 - 8\sqrt{5} = 17 - 8\sqrt{5}$
Чтобы определить знак дискриминанта, сравним числа $17$ и $8\sqrt{5}$. Для этого сравним их квадраты:
$17^2 = 289$
$(8\sqrt{5})^2 = 8^2 \cdot (\sqrt{5})^2 = 64 \cdot 5 = 320$
Поскольку $289 < 320$, то $17 < 8\sqrt{5}$.
Следовательно, $D = 17 - 8\sqrt{5}$ является отрицательным числом, то есть $D < 0$.
Так как дискриминант отрицателен, уравнение не имеет действительных корней.
Ответ: 0 корней.

Помогло решение? Оставьте отзыв в комментариях ниже.

Присоединяйтесь к Телеграм-группе @gdz_by_belarus

Присоединиться

Мы подготовили для вас ответ c подробным объяснением домашего задания по алгебре за 7-9 класс, для упражнения номер 25.32 расположенного на странице 123 к сборнику задач 2020 года издания для учащихся школ и гимназий.

Теперь на нашем сайте ГДЗ.ТОП вы всегда легко и бесплатно найдёте условие с правильным ответом на вопрос «Как решить ДЗ» и «Как сделать» задание по алгебре к упражнению №25.32 (с. 123), авторов: Арефьева (Ирина Глебовна), Пирютко (Ольга Николаевна), учебного пособия издательства Народная асвета.