Номер 25.37, страница 124 - гдз по алгебре 7-9 класс сборник задач Арефьева, Пирютко

Алгебра, 7-9 класс Сборник задач, авторы: Арефьева Ирина Глебовна, Пирютко Ольга Николаевна, издательство Народная асвета, Минск, 2020

Авторы: Арефьева И. Г., Пирютко О. Н.

Тип: Сборник задач

Издательство: Народная асвета

Год издания: 2020 - 2026

Цвет обложки: синий с графиками

Допущено Министерством образования Республики Беларусь

Популярные ГДЗ в 7 классе

8 класс. Параграф 25. Квадратные уравнения. Решение неполных квадратных уравнений. Формулы корней квадратного уравнения. Решение текстовых задач с помощью квадратных уравнений - номер 25.37, страница 124.

№25.37 (с. 124)
Условие. №25.37 (с. 124)
скриншот условия
Алгебра, 7-9 класс Сборник задач, авторы: Арефьева Ирина Глебовна, Пирютко Ольга Николаевна, издательство Народная асвета, Минск, 2020, страница 124, номер 25.37, Условие

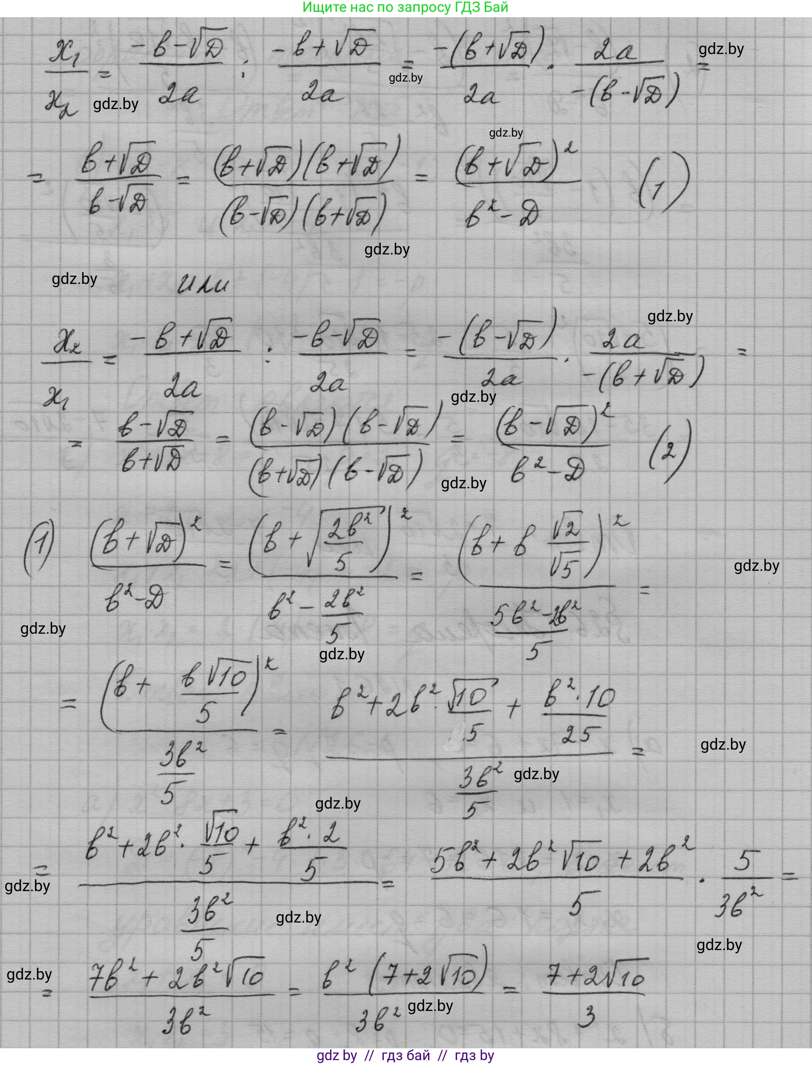
25.37* Чему может быть равно отношение корней уравнения $ax^2 + bx + c = 0$, если $3b^2 = 20ac$?

Решение. №25.37 (с. 124)
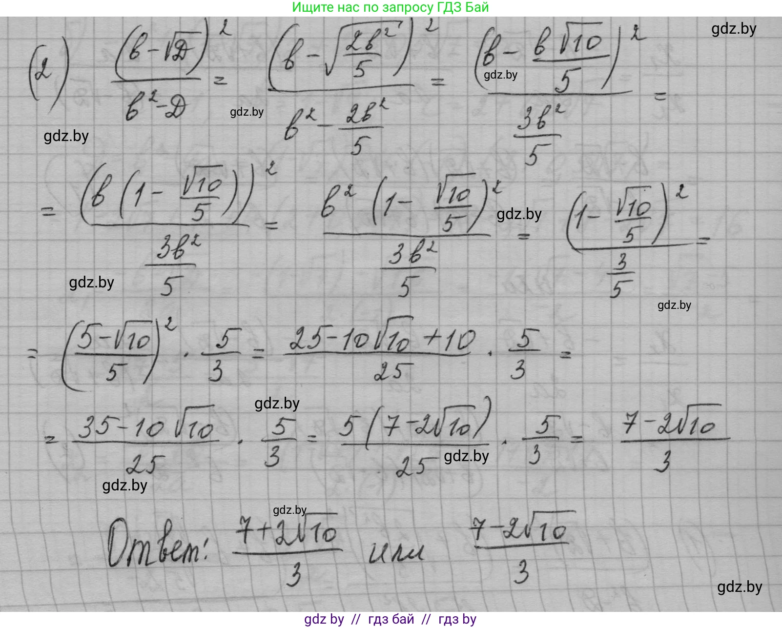
Алгебра, 7-9 класс Сборник задач, авторы: Арефьева Ирина Глебовна, Пирютко Ольга Николаевна, издательство Народная асвета, Минск, 2020, страница 124, номер 25.37, Решение Алгебра, 7-9 класс Сборник задач, авторы: Арефьева Ирина Глебовна, Пирютко Ольга Николаевна, издательство Народная асвета, Минск, 2020, страница 124, номер 25.37, Решение (продолжение 2)
Решение 2. №25.37 (с. 124)

Пусть $x_1$ и $x_2$ — корни уравнения $ax^2 + bx + c = 0$. Согласно теореме Виета, их сумма и произведение равны:
$x_1 + x_2 = -\frac{b}{a}$
$x_1 \cdot x_2 = \frac{c}{a}$

Обозначим искомое отношение корней как $k = \frac{x_1}{x_2}$. Чтобы найти связь между $k$ и коэффициентами уравнения, рассмотрим выражение $\frac{(x_1+x_2)^2}{x_1 x_2}$.
С одной стороны, подставив выражения из теоремы Виета, получаем:
$\frac{(x_1+x_2)^2}{x_1 x_2} = \frac{(-b/a)^2}{c/a} = \frac{b^2/a^2}{c/a} = \frac{b^2}{ac}$
С другой стороны, выразим то же самое через $k$:
$\frac{(x_1+x_2)^2}{x_1 x_2} = \frac{(kx_2+x_2)^2}{kx_2 \cdot x_2} = \frac{x_2^2(k+1)^2}{kx_2^2} = \frac{(k+1)^2}{k}$

Приравнивая правые части полученных равенств, приходим к соотношению:
$\frac{(k+1)^2}{k} = \frac{b^2}{ac}$

Из условия задачи $3b^2 = 20ac$, выразим отношение $\frac{b^2}{ac}$:
$\frac{b^2}{ac} = \frac{20}{3}$

Теперь подставим это значение в наше уравнение для $k$:
$\frac{(k+1)^2}{k} = \frac{20}{3}$

Решим полученное уравнение относительно $k$. Для этого преобразуем его к стандартному виду квадратного уравнения:
$3(k+1)^2 = 20k$
$3(k^2 + 2k + 1) = 20k$
$3k^2 + 6k + 3 = 20k$
$3k^2 - 14k + 3 = 0$

Найдем корни этого квадратного уравнения, используя формулу $k = \frac{-B \pm \sqrt{B^2 - 4AC}}{2A}$:
$k = \frac{-(-14) \pm \sqrt{(-14)^2 - 4 \cdot 3 \cdot 3}}{2 \cdot 3} = \frac{14 \pm \sqrt{196 - 36}}{6} = \frac{14 \pm \sqrt{160}}{6}$
Упростим корень: $\sqrt{160} = \sqrt{16 \cdot 10} = 4\sqrt{10}$.
Тогда:
$k = \frac{14 \pm 4\sqrt{10}}{6} = \frac{2(7 \pm 2\sqrt{10})}{6} = \frac{7 \pm 2\sqrt{10}}{3}$

Таким образом, мы получили два возможных значения для отношения корней. Эти значения являются взаимно обратными, что соответствует двум возможным отношениям: $\frac{x_1}{x_2}$ и $\frac{x_2}{x_1}$.
Ответ: $\frac{7 + 2\sqrt{10}}{3}$ или $\frac{7 - 2\sqrt{10}}{3}$.

Помогло решение? Оставьте отзыв в комментариях ниже.

Присоединяйтесь к Телеграм-группе @gdz_by_belarus

Присоединиться

Мы подготовили для вас ответ c подробным объяснением домашего задания по алгебре за 7-9 класс, для упражнения номер 25.37 расположенного на странице 124 к сборнику задач 2020 года издания для учащихся школ и гимназий.

Теперь на нашем сайте ГДЗ.ТОП вы всегда легко и бесплатно найдёте условие с правильным ответом на вопрос «Как решить ДЗ» и «Как сделать» задание по алгебре к упражнению №25.37 (с. 124), авторов: Арефьева (Ирина Глебовна), Пирютко (Ольга Николаевна), учебного пособия издательства Народная асвета.