Номер 26.6, страница 125 - гдз по алгебре 7-9 класс сборник задач Арефьева, Пирютко

Алгебра, 7-9 класс Сборник задач, авторы: Арефьева Ирина Глебовна, Пирютко Ольга Николаевна, издательство Народная асвета, Минск, 2020

Авторы: Арефьева И. Г., Пирютко О. Н.

Тип: Сборник задач

Издательство: Народная асвета

Год издания: 2020 - 2026

Цвет обложки: синий с графиками

Допущено Министерством образования Республики Беларусь

Популярные ГДЗ в 7 классе

8 класс. Параграф 26. Теорема Виета - номер 26.6, страница 125.

№26.6 (с. 125)
Условие. №26.6 (с. 125)
скриншот условия
Алгебра, 7-9 класс Сборник задач, авторы: Арефьева Ирина Глебовна, Пирютко Ольга Николаевна, издательство Народная асвета, Минск, 2020, страница 125, номер 26.6, Условие

26.6. Найдите корни уравнения, используя теорему, обратную теореме Виета:

а) $x^2 - 9x + 8 = 0$;

б) $x^2 + 3x - 18 = 0$;

в) $x^2 - x - 42 = 0$;

г) $x^2 + 11x + 18 = 0$;

д) $x^2 + 10x + 21 = 0$;

е) $x^2 - 9x + 14 = 0$;

ж) $x^2 - 14x + 48 = 0$;

з) $x^2 - 15x - 16 = 0$;

и) $x^2 - 13x + 12 = 0$;

к) $x^2 + 8x - 9 = 0$;

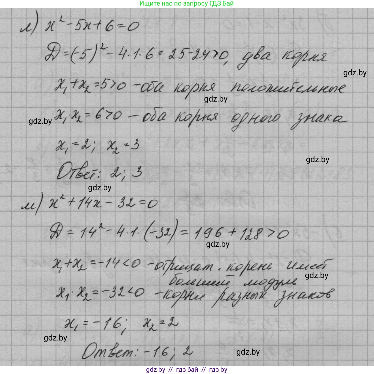
л) $x^2 - 5x + 6 = 0$;

м) $x^2 + 14x - 32 = 0$.

Решение. №26.6 (с. 125)
Алгебра, 7-9 класс Сборник задач, авторы: Арефьева Ирина Глебовна, Пирютко Ольга Николаевна, издательство Народная асвета, Минск, 2020, страница 125, номер 26.6, Решение Алгебра, 7-9 класс Сборник задач, авторы: Арефьева Ирина Глебовна, Пирютко Ольга Николаевна, издательство Народная асвета, Минск, 2020, страница 125, номер 26.6, Решение (продолжение 2)
Решение 2. №26.6 (с. 125)

Теорема, обратная теореме Виета, гласит: если для чисел $x_1$ и $x_2$ выполняются равенства $x_1 + x_2 = -p$ и $x_1 \cdot x_2 = q$, то эти числа являются корнями приведенного квадратного уравнения $x^2 + px + q = 0$.

а) Дано уравнение $x^2 - 9x + 8 = 0$.
Здесь коэффициенты $p = -9$ и $q = 8$.
Согласно теореме, обратной теореме Виета, ищем два числа $x_1$ и $x_2$, для которых:
$x_1 + x_2 = -(-9) = 9$
$x_1 \cdot x_2 = 8$
Подбираем пары целых чисел, произведение которых равно 8: (1, 8), (2, 4), (-1, -8), (-2, -4).
Проверяем их сумму. Сумма 9 получается для пары (1, 8): $1 + 8 = 9$.
Следовательно, корнями уравнения являются числа 1 и 8.
Ответ: 1; 8.

б) Дано уравнение $x^2 + 3x - 18 = 0$.
Здесь $p = 3$ и $q = -18$.
Ищем числа $x_1$ и $x_2$, для которых:
$x_1 + x_2 = -3$
$x_1 \cdot x_2 = -18$
Поскольку произведение отрицательно, корни имеют разные знаки. Подбираем пары чисел, произведение которых равно -18: (1, -18), (-1, 18), (2, -9), (-2, 9), (3, -6), (-3, 6).
Сумма -3 получается для пары (3, -6): $3 + (-6) = -3$.
Следовательно, корни уравнения – это 3 и -6.
Ответ: -6; 3.

в) Дано уравнение $x^2 - x - 42 = 0$.
Здесь $p = -1$ и $q = -42$.
Ищем числа $x_1$ и $x_2$, для которых:
$x_1 + x_2 = -(-1) = 1$
$x_1 \cdot x_2 = -42$
Произведение отрицательно, значит, корни разных знаков. Подбираем множители числа -42: (6, -7), (-6, 7).
Сумму 1 дает пара (-6, 7): $-6 + 7 = 1$.
Корнями уравнения являются -6 и 7.
Ответ: -6; 7.

г) Дано уравнение $x^2 + 11x + 18 = 0$.
Здесь $p = 11$ и $q = 18$.
Ищем числа $x_1$ и $x_2$, для которых:
$x_1 + x_2 = -11$
$x_1 \cdot x_2 = 18$
Произведение положительно, а сумма отрицательна, значит, оба корня отрицательны. Подбираем пары отрицательных множителей числа 18: (-1, -18), (-2, -9), (-3, -6).
Сумма -11 получается для пары (-2, -9): $-2 + (-9) = -11$.
Корни уравнения: -2 и -9.
Ответ: -9; -2.

д) Дано уравнение $x^2 + 10x + 21 = 0$.
Здесь $p = 10$ и $q = 21$.
Ищем числа $x_1$ и $x_2$, для которых:
$x_1 + x_2 = -10$
$x_1 \cdot x_2 = 21$
Оба корня отрицательны. Подбираем пары отрицательных множителей числа 21: (-1, -21), (-3, -7).
Сумму -10 дает пара (-3, -7): $-3 + (-7) = -10$.
Корни уравнения: -3 и -7.
Ответ: -7; -3.

е) Дано уравнение $x^2 - 9x + 14 = 0$.
Здесь $p = -9$ и $q = 14$.
Ищем числа $x_1$ и $x_2$, для которых:
$x_1 + x_2 = -(-9) = 9$
$x_1 \cdot x_2 = 14$
Произведение и сумма положительны, значит, оба корня положительны. Подбираем пары положительных множителей числа 14: (1, 14), (2, 7).
Сумму 9 дает пара (2, 7): $2 + 7 = 9$.
Корни уравнения: 2 и 7.
Ответ: 2; 7.

ж) Дано уравнение $x^2 - 14x + 48 = 0$.
Здесь $p = -14$ и $q = 48$.
Ищем числа $x_1$ и $x_2$, для которых:
$x_1 + x_2 = -(-14) = 14$
$x_1 \cdot x_2 = 48$
Оба корня положительны. Подбираем пары положительных множителей числа 48: (1, 48), (2, 24), (3, 16), (4, 12), (6, 8).
Сумму 14 дает пара (6, 8): $6 + 8 = 14$.
Корни уравнения: 6 и 8.
Ответ: 6; 8.

з) Дано уравнение $x^2 - 15x - 16 = 0$.
Здесь $p = -15$ и $q = -16$.
Ищем числа $x_1$ и $x_2$, для которых:
$x_1 + x_2 = -(-15) = 15$
$x_1 \cdot x_2 = -16$
Корни имеют разные знаки, положительный корень больше по модулю. Подбираем пары множителей числа -16: (16, -1), (8, -2), (4, -4).
Сумму 15 дает пара (16, -1): $16 + (-1) = 15$.
Корни уравнения: 16 и -1.
Ответ: -1; 16.

и) Дано уравнение $x^2 - 13x + 12 = 0$.
Здесь $p = -13$ и $q = 12$.
Ищем числа $x_1$ и $x_2$, для которых:
$x_1 + x_2 = -(-13) = 13$
$x_1 \cdot x_2 = 12$
Оба корня положительны. Подбираем пары положительных множителей числа 12: (1, 12), (2, 6), (3, 4).
Сумму 13 дает пара (1, 12): $1 + 12 = 13$.
Корни уравнения: 1 и 12.
Ответ: 1; 12.

к) Дано уравнение $x^2 + 8x - 9 = 0$.
Здесь $p = 8$ и $q = -9$.
Ищем числа $x_1$ и $x_2$, для которых:
$x_1 + x_2 = -8$
$x_1 \cdot x_2 = -9$
Корни имеют разные знаки, отрицательный корень больше по модулю. Подбираем пары множителей числа -9: (1, -9), (-1, 9).
Сумму -8 дает пара (1, -9): $1 + (-9) = -8$.
Корни уравнения: 1 и -9.
Ответ: -9; 1.

л) Дано уравнение $x^2 - 5x + 6 = 0$.
Здесь $p = -5$ и $q = 6$.
Ищем числа $x_1$ и $x_2$, для которых:
$x_1 + x_2 = -(-5) = 5$
$x_1 \cdot x_2 = 6$
Оба корня положительны. Подбираем пары положительных множителей числа 6: (1, 6), (2, 3).
Сумму 5 дает пара (2, 3): $2 + 3 = 5$.
Корни уравнения: 2 и 3.
Ответ: 2; 3.

м) Дано уравнение $x^2 + 14x - 32 = 0$.
Здесь $p = 14$ и $q = -32$.
Ищем числа $x_1$ и $x_2$, для которых:
$x_1 + x_2 = -14$
$x_1 \cdot x_2 = -32$
Корни имеют разные знаки, отрицательный корень больше по модулю. Подбираем пары множителей числа -32: (1, -32), (-1, 32), (2, -16), (-2, 16).
Сумму -14 дает пара (2, -16): $2 + (-16) = -14$.
Корни уравнения: 2 и -16.
Ответ: -16; 2.

Помогло решение? Оставьте отзыв в комментариях ниже.

Присоединяйтесь к Телеграм-группе @gdz_by_belarus

Присоединиться

Мы подготовили для вас ответ c подробным объяснением домашего задания по алгебре за 7-9 класс, для упражнения номер 26.6 расположенного на странице 125 к сборнику задач 2020 года издания для учащихся школ и гимназий.

Теперь на нашем сайте ГДЗ.ТОП вы всегда легко и бесплатно найдёте условие с правильным ответом на вопрос «Как решить ДЗ» и «Как сделать» задание по алгебре к упражнению №26.6 (с. 125), авторов: Арефьева (Ирина Глебовна), Пирютко (Ольга Николаевна), учебного пособия издательства Народная асвета.