Номер 26.4, страница 125 - гдз по алгебре 7-9 класс сборник задач Арефьева, Пирютко

Алгебра, 7-9 класс Сборник задач, авторы: Арефьева Ирина Глебовна, Пирютко Ольга Николаевна, издательство Народная асвета, Минск, 2020

Авторы: Арефьева И. Г., Пирютко О. Н.

Тип: Сборник задач

Издательство: Народная асвета

Год издания: 2020 - 2026

Цвет обложки: синий с графиками

Допущено Министерством образования Республики Беларусь

Популярные ГДЗ в 7 классе

8 класс. Параграф 26. Теорема Виета - номер 26.4, страница 125.

№26.4 (с. 125)
Условие. №26.4 (с. 125)
скриншот условия
Алгебра, 7-9 класс Сборник задач, авторы: Арефьева Ирина Глебовна, Пирютко Ольга Николаевна, издательство Народная асвета, Минск, 2020, страница 125, номер 26.4, Условие

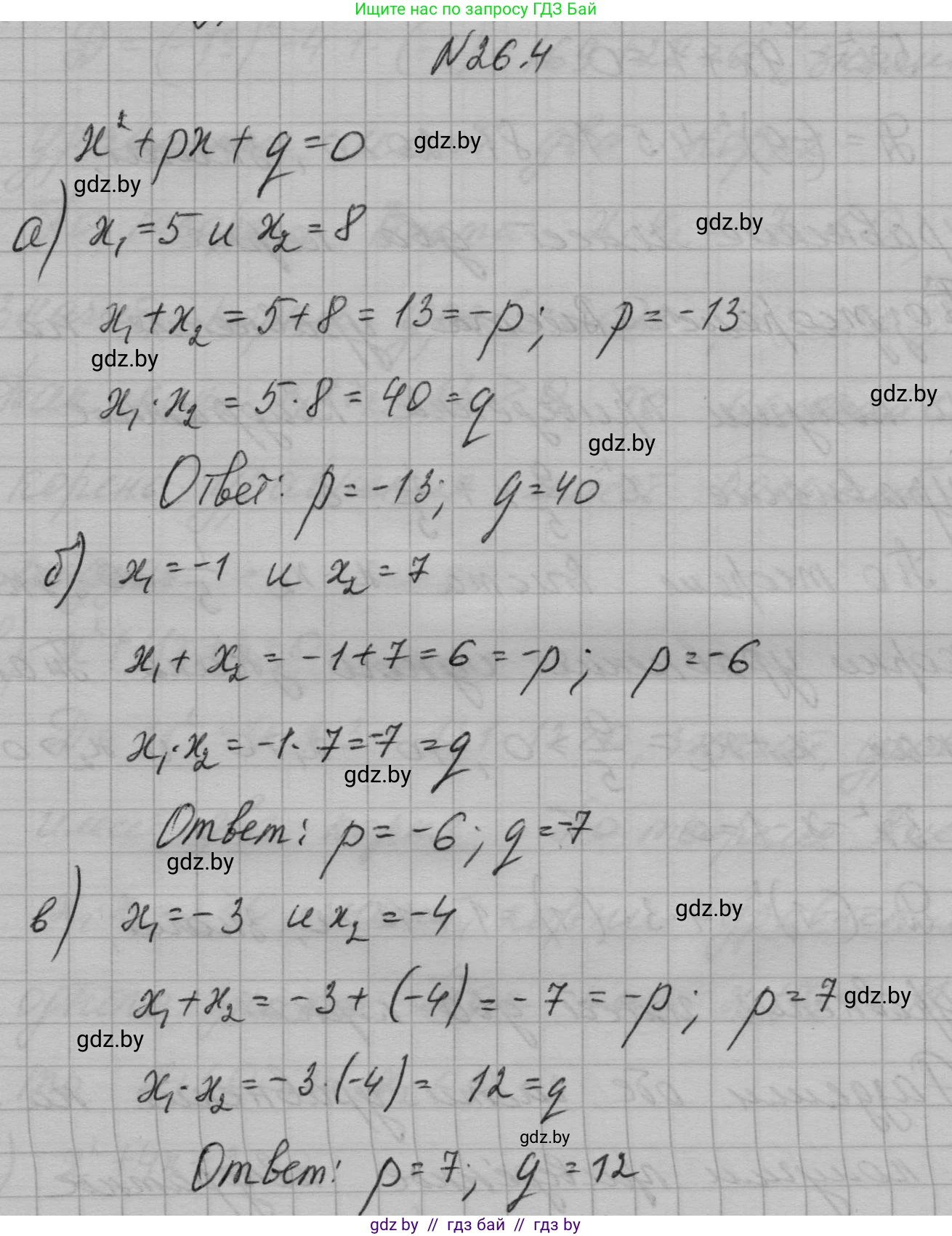
26.4. Найдите коэффициенты $p$ и $q$ квадратного уравнения $x^2 + px + q = 0$, если известно, что его корнями являются числа:

а) 5 и 8;

б) -1 и 7;

в) -3 и -4.

Решение. №26.4 (с. 125)
Алгебра, 7-9 класс Сборник задач, авторы: Арефьева Ирина Глебовна, Пирютко Ольга Николаевна, издательство Народная асвета, Минск, 2020, страница 125, номер 26.4, Решение
Решение 2. №26.4 (с. 125)

Для нахождения коэффициентов $p$ и $q$ приведенного квадратного уравнения вида $x^2 + px + q = 0$ воспользуемся теоремой Виета. Согласно этой теореме, для корней $x_1$ и $x_2$ справедливы следующие соотношения:

  • Сумма корней равна второму коэффициенту, взятому с противоположным знаком: $x_1 + x_2 = -p$
  • Произведение корней равно свободному члену: $x_1 \cdot x_2 = q$

Из этих соотношений мы можем выразить коэффициенты $p$ и $q$ через корни уравнения:

$p = -(x_1 + x_2)$

$q = x_1 \cdot x_2$

Применим эти формулы для каждого случая.

a) Корни уравнения: 5 и 8.

Пусть $x_1 = 5$ и $x_2 = 8$.

Найдем коэффициент $p$:

$p = -(x_1 + x_2) = -(5 + 8) = -13$

Найдем коэффициент $q$:

$q = x_1 \cdot x_2 = 5 \cdot 8 = 40$

Таким образом, искомые коэффициенты равны -13 и 40, а уравнение имеет вид $x^2 - 13x + 40 = 0$.

Ответ: $p = -13, q = 40$.

б) Корни уравнения: -1 и 7.

Пусть $x_1 = -1$ и $x_2 = 7$.

Найдем коэффициент $p$:

$p = -(x_1 + x_2) = -(-1 + 7) = -6$

Найдем коэффициент $q$:

$q = x_1 \cdot x_2 = (-1) \cdot 7 = -7$

Таким образом, искомые коэффициенты равны -6 и -7, а уравнение имеет вид $x^2 - 6x - 7 = 0$.

Ответ: $p = -6, q = -7$.

в) Корни уравнения: -3 и -4.

Пусть $x_1 = -3$ и $x_2 = -4$.

Найдем коэффициент $p$:

$p = -(x_1 + x_2) = -(-3 + (-4)) = -(-7) = 7$

Найдем коэффициент $q$:

$q = x_1 \cdot x_2 = (-3) \cdot (-4) = 12$

Таким образом, искомые коэффициенты равны 7 и 12, а уравнение имеет вид $x^2 + 7x + 12 = 0$.

Ответ: $p = 7, q = 12$.

Помогло решение? Оставьте отзыв в комментариях ниже.

Присоединяйтесь к Телеграм-группе @gdz_by_belarus

Присоединиться

Мы подготовили для вас ответ c подробным объяснением домашего задания по алгебре за 7-9 класс, для упражнения номер 26.4 расположенного на странице 125 к сборнику задач 2020 года издания для учащихся школ и гимназий.

Теперь на нашем сайте ГДЗ.ТОП вы всегда легко и бесплатно найдёте условие с правильным ответом на вопрос «Как решить ДЗ» и «Как сделать» задание по алгебре к упражнению №26.4 (с. 125), авторов: Арефьева (Ирина Глебовна), Пирютко (Ольга Николаевна), учебного пособия издательства Народная асвета.