Номер 25.24, страница 122 - гдз по алгебре 7-9 класс сборник задач Арефьева, Пирютко

Алгебра, 7-9 класс Сборник задач, авторы: Арефьева Ирина Глебовна, Пирютко Ольга Николаевна, издательство Народная асвета, Минск, 2020

Авторы: Арефьева И. Г., Пирютко О. Н.

Тип: Сборник задач

Издательство: Народная асвета

Год издания: 2020 - 2026

Цвет обложки: синий с графиками

Допущено Министерством образования Республики Беларусь

Популярные ГДЗ в 7 классе

8 класс. Параграф 25. Квадратные уравнения. Решение неполных квадратных уравнений. Формулы корней квадратного уравнения. Решение текстовых задач с помощью квадратных уравнений - номер 25.24, страница 122.

№25.24 (с. 122)
Условие. №25.24 (с. 122)
скриншот условия
Алгебра, 7-9 класс Сборник задач, авторы: Арефьева Ирина Глебовна, Пирютко Ольга Николаевна, издательство Народная асвета, Минск, 2020, страница 122, номер 25.24, Условие

25.24. Найдите, при каких значениях переменной разность квадратов двучленов $3x - 5$ и $2x + 1$ равна $24$.

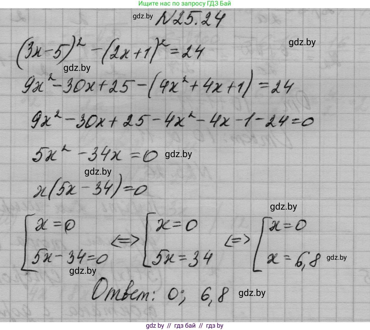
Решение. №25.24 (с. 122)
Алгебра, 7-9 класс Сборник задач, авторы: Арефьева Ирина Глебовна, Пирютко Ольга Николаевна, издательство Народная асвета, Минск, 2020, страница 122, номер 25.24, Решение
Решение 2. №25.24 (с. 122)

Для решения данной задачи необходимо составить уравнение. Условие "разность квадратов двучленов $3x - 5$ и $2x + 1$" может быть истолковано двумя способами, в зависимости от порядка вычитания. Рассмотрим оба возможных случая.

Случай 1. Разность квадратов представляет собой $(3x - 5)^2 - (2x + 1)^2$.

Составим уравнение на основе этого случая:

$(3x - 5)^2 - (2x + 1)^2 = 24$

Для решения удобно использовать формулу разности квадратов: $a^2 - b^2 = (a - b)(a + b)$.

Подставим наши двучлены в формулу:

$((3x - 5) - (2x + 1)) \cdot ((3x - 5) + (2x + 1)) = 24$

Упростим выражения в каждой из скобок:

$(3x - 5 - 2x - 1) \cdot (3x - 5 + 2x + 1) = 24$

$(x - 6)(5x - 4) = 24$

Теперь раскроем скобки, перемножив многочлены:

$5x^2 - 4x - 30x + 24 = 24$

Приведем подобные слагаемые:

$5x^2 - 34x + 24 = 24$

Перенесем 24 из правой части в левую:

$5x^2 - 34x = 0$

Это неполное квадратное уравнение. Вынесем общий множитель $x$ за скобки:

$x(5x - 34) = 0$

Произведение равно нулю тогда и только тогда, когда хотя бы один из множителей равен нулю. Отсюда получаем два корня:

$x_1 = 0$

или

$5x - 34 = 0 \implies 5x = 34 \implies x_2 = \frac{34}{5} = 6.8$

Ответ: $0; 6.8$.

Случай 2. Разность квадратов представляет собой $(2x + 1)^2 - (3x - 5)^2$.

Составим уравнение для второго случая:

$(2x + 1)^2 - (3x - 5)^2 = 24$

Снова применим формулу разности квадратов:

$((2x + 1) - (3x - 5)) \cdot ((2x + 1) + (3x - 5)) = 24$

Упростим выражения в скобках:

$(2x + 1 - 3x + 5) \cdot (2x + 1 + 3x - 5) = 24$

$(-x + 6)(5x - 4) = 24$

Раскроем скобки:

$-5x^2 + 4x + 30x - 24 = 24$

Приведем подобные слагаемые:

$-5x^2 + 34x - 24 = 24$

Перенесем все члены уравнения в левую часть:

$-5x^2 + 34x - 24 - 24 = 0$

$-5x^2 + 34x - 48 = 0$

Умножим обе части уравнения на -1, чтобы коэффициент при $x^2$ стал положительным:

$5x^2 - 34x + 48 = 0$

Это полное квадратное уравнение. Решим его через дискриминант $D = b^2 - 4ac$.

$D = (-34)^2 - 4 \cdot 5 \cdot 48 = 1156 - 960 = 196$

Так как $D > 0$, уравнение имеет два корня. $\sqrt{D} = \sqrt{196} = 14$.

Найдем корни по формуле $x_{1,2} = \frac{-b \pm \sqrt{D}}{2a}$:

$x_3 = \frac{34 - 14}{2 \cdot 5} = \frac{20}{10} = 2$

$x_4 = \frac{34 + 14}{2 \cdot 5} = \frac{48}{10} = 4.8$

Ответ: $2; 4.8$.

Объединяя решения из обоих случаев, получаем полный набор значений переменной, удовлетворяющих условию задачи.

Ответ: $0; 2; 4.8; 6.8$.

Помогло решение? Оставьте отзыв в комментариях ниже.

Присоединяйтесь к Телеграм-группе @gdz_by_belarus

Присоединиться

Мы подготовили для вас ответ c подробным объяснением домашего задания по алгебре за 7-9 класс, для упражнения номер 25.24 расположенного на странице 122 к сборнику задач 2020 года издания для учащихся школ и гимназий.

Теперь на нашем сайте ГДЗ.ТОП вы всегда легко и бесплатно найдёте условие с правильным ответом на вопрос «Как решить ДЗ» и «Как сделать» задание по алгебре к упражнению №25.24 (с. 122), авторов: Арефьева (Ирина Глебовна), Пирютко (Ольга Николаевна), учебного пособия издательства Народная асвета.