Номер 25.22, страница 122 - гдз по алгебре 7-9 класс сборник задач Арефьева, Пирютко

Алгебра, 7-9 класс Сборник задач, авторы: Арефьева Ирина Глебовна, Пирютко Ольга Николаевна, издательство Народная асвета, Минск, 2020

Авторы: Арефьева И. Г., Пирютко О. Н.

Тип: Сборник задач

Издательство: Народная асвета

Год издания: 2020 - 2026

Цвет обложки: синий с графиками

Допущено Министерством образования Республики Беларусь

8 класс. Параграф 25. Квадратные уравнения. Решение неполных квадратных уравнений. Формулы корней квадратного уравнения. Решение текстовых задач с помощью квадратных уравнений - номер 25.22, страница 122.

№25.22 (с. 122)
Условие. №25.22 (с. 122)
скриншот условия
Алгебра, 7-9 класс Сборник задач, авторы: Арефьева Ирина Глебовна, Пирютко Ольга Николаевна, издательство Народная асвета, Минск, 2020, страница 122, номер 25.22, Условие

25.22. Найдите, при каком значении переменной:

а) значение двучлена $x^2 - 4x$ равно значению произведения $x(2x - 1)$;

б) значения выражений $(x+1)(2x - 3)$ и $3 - x^2$ противоположны;

в) значение квадрата двучлена $x - 4$ равно значению разности $17 - 8x$.

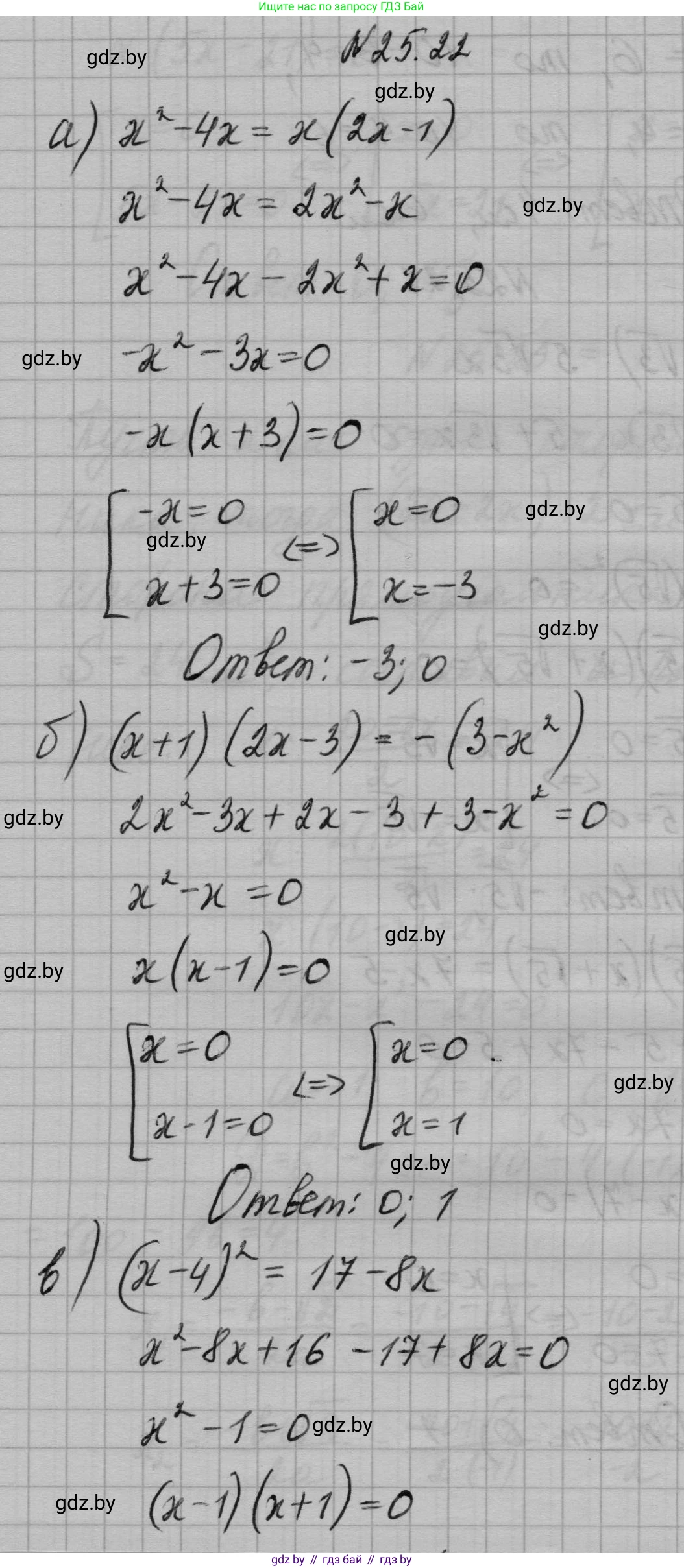
Решение. №25.22 (с. 122)
Алгебра, 7-9 класс Сборник задач, авторы: Арефьева Ирина Глебовна, Пирютко Ольга Николаевна, издательство Народная асвета, Минск, 2020, страница 122, номер 25.22, Решение Алгебра, 7-9 класс Сборник задач, авторы: Арефьева Ирина Глебовна, Пирютко Ольга Николаевна, издательство Народная асвета, Минск, 2020, страница 122, номер 25.22, Решение (продолжение 2)
Решение 2. №25.22 (с. 122)

а) Чтобы найти значение переменной, при котором значение двучлена $x^2 - 4x$ равно значению произведения $x(2x-1)$, необходимо составить и решить уравнение, приравняв эти два выражения.

Составим уравнение:

$x^2 - 4x = x(2x - 1)$

Раскроем скобки в правой части уравнения:

$x^2 - 4x = 2x^2 - x$

Перенесём все члены уравнения в правую сторону и приведём подобные слагаемые:

$0 = 2x^2 - x - x^2 + 4x$

$x^2 + 3x = 0$

Вынесем общий множитель $x$ за скобки:

$x(x + 3) = 0$

Произведение равно нулю тогда и только тогда, когда хотя бы один из множителей равен нулю. Следовательно, мы имеем два случая:
1) $x = 0$
2) $x + 3 = 0$, откуда $x = -3$

Ответ: при $x=0$ и $x=-3$.

б) Значения выражений называются противоположными, если их сумма равна нулю. Составим уравнение, приравняв сумму выражений $(x+1)(2x-3)$ и $3-x^2$ к нулю, и решим его.

Составим уравнение:

$(x+1)(2x-3) + (3 - x^2) = 0$

Сначала раскроем произведение в скобках, используя правило умножения многочленов:

$(2x^2 - 3x + 2x - 3) + 3 - x^2 = 0$

Приведём подобные слагаемые в первой скобке:

$2x^2 - x - 3 + 3 - x^2 = 0$

Теперь приведём подобные слагаемые во всем выражении:

$(2x^2 - x^2) - x + (-3 + 3) = 0$

$x^2 - x = 0$

Вынесем общий множитель $x$ за скобки:

$x(x - 1) = 0$

Произведение равно нулю, когда хотя бы один из множителей равен нулю. Отсюда получаем два возможных значения для $x$:
1) $x = 0$
2) $x - 1 = 0$, откуда $x = 1$

Ответ: при $x=0$ и $x=1$.

в) Чтобы найти значение переменной, при котором значение квадрата двучлена $x-4$ равно значению разности $17-8x$, составим и решим соответствующее уравнение.

Квадрат двучлена $x-4$ записывается как $(x-4)^2$. Приравняем его к выражению $17-8x$:

$(x-4)^2 = 17 - 8x$

Раскроем левую часть по формуле квадрата разности $(a-b)^2 = a^2 - 2ab + b^2$:

$x^2 - 2 \cdot x \cdot 4 + 4^2 = 17 - 8x$

$x^2 - 8x + 16 = 17 - 8x$

Перенесём все члены в левую часть уравнения:

$x^2 - 8x + 16 - 17 + 8x = 0$

Приведём подобные слагаемые:

$x^2 + (-8x + 8x) + (16 - 17) = 0$

$x^2 - 1 = 0$

Это уравнение можно решить, разложив левую часть на множители по формуле разности квадратов $a^2 - b^2 = (a-b)(a+b)$:

$(x-1)(x+1) = 0$

Произведение равно нулю, когда хотя бы один из множителей равен нулю. Отсюда получаем два возможных значения для $x$:
1) $x - 1 = 0$, откуда $x = 1$
2) $x + 1 = 0$, откуда $x = -1$

Ответ: при $x=1$ и $x=-1$.

Помогло решение? Оставьте отзыв в комментариях ниже.

Присоединяйтесь к Телеграм-группе @gdz_by_belarus

Присоединиться

Мы подготовили для вас ответ c подробным объяснением домашего задания по алгебре за 7-9 класс, для упражнения номер 25.22 расположенного на странице 122 к сборнику задач 2020 года издания для учащихся школ и гимназий.

Теперь на нашем сайте ГДЗ.ТОП вы всегда легко и бесплатно найдёте условие с правильным ответом на вопрос «Как решить ДЗ» и «Как сделать» задание по алгебре к упражнению №25.22 (с. 122), авторов: Арефьева (Ирина Глебовна), Пирютко (Ольга Николаевна), учебного пособия издательства Народная асвета.