Номер 25.21, страница 122 - гдз по алгебре 7-9 класс сборник задач Арефьева, Пирютко

Алгебра, 7-9 класс Сборник задач, авторы: Арефьева Ирина Глебовна, Пирютко Ольга Николаевна, издательство Народная асвета, Минск, 2020

Авторы: Арефьева И. Г., Пирютко О. Н.

Тип: Сборник задач

Издательство: Народная асвета

Год издания: 2020 - 2026

Цвет обложки: синий с графиками

Допущено Министерством образования Республики Беларусь

Популярные ГДЗ в 7 классе

8 класс. Параграф 25. Квадратные уравнения. Решение неполных квадратных уравнений. Формулы корней квадратного уравнения. Решение текстовых задач с помощью квадратных уравнений - номер 25.21, страница 122.

№25.21 (с. 122)
Условие. №25.21 (с. 122)
скриншот условия
Алгебра, 7-9 класс Сборник задач, авторы: Арефьева Ирина Глебовна, Пирютко Ольга Николаевна, издательство Народная асвета, Минск, 2020, страница 122, номер 25.21, Условие

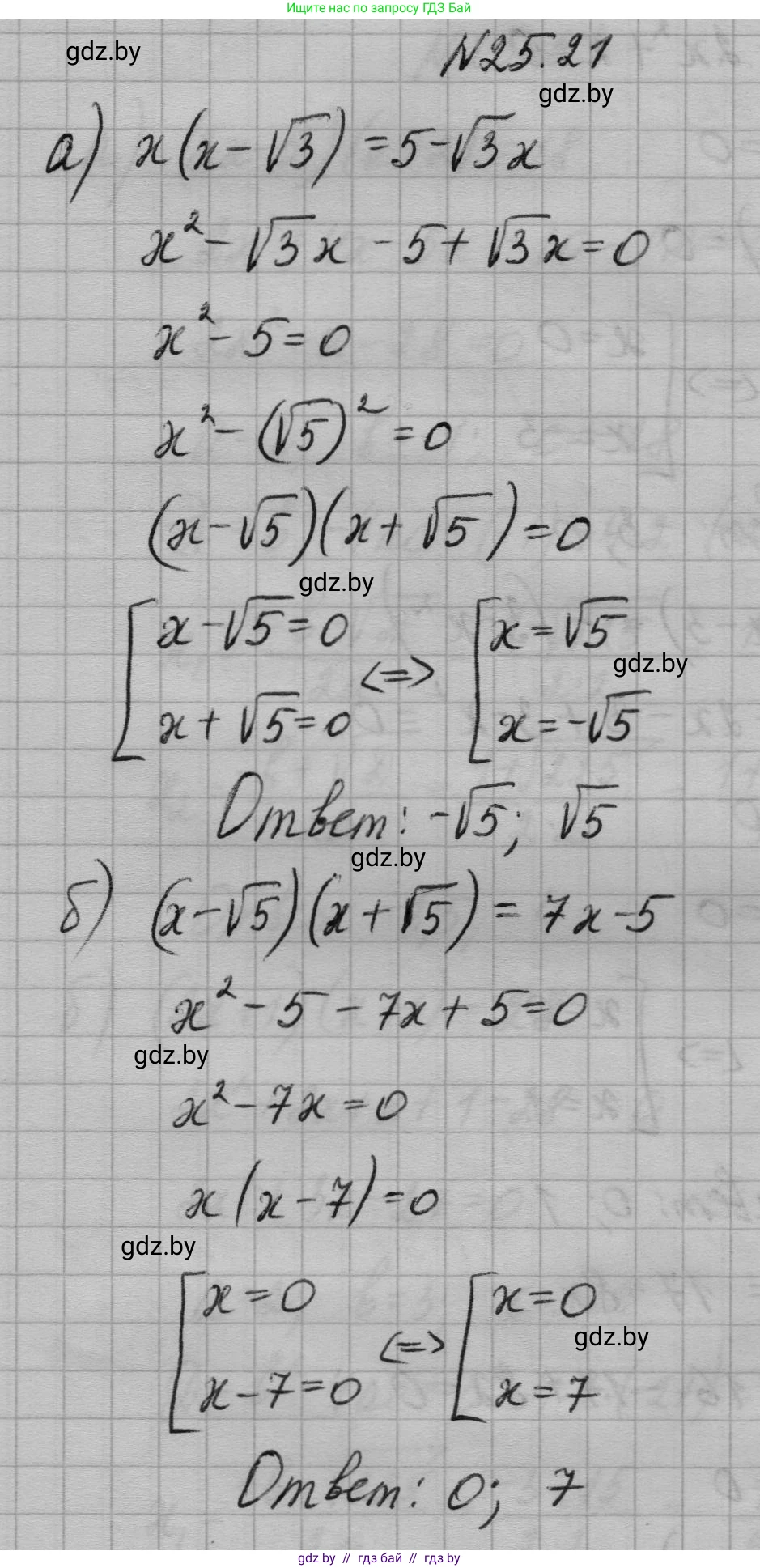
25.21. Решите уравнение:

a) $x(x-\sqrt{3}) = 5-\sqrt{3x}$;

б) $(x-\sqrt{5})(x+\sqrt{5})=7x-5.

Решение. №25.21 (с. 122)
Алгебра, 7-9 класс Сборник задач, авторы: Арефьева Ирина Глебовна, Пирютко Ольга Николаевна, издательство Народная асвета, Минск, 2020, страница 122, номер 25.21, Решение
Решение 2. №25.21 (с. 122)

а) $x(x-\sqrt{3}) = 5 - \sqrt{3}x$
Раскроем скобки в левой части уравнения, умножив $x$ на каждый член в скобках:
$x \cdot x - x \cdot \sqrt{3} = 5 - \sqrt{3}x$
$x^2 - x\sqrt{3} = 5 - \sqrt{3}x$
Теперь перенесем все члены уравнения в левую часть, чтобы получить квадратное уравнение вида $ax^2 + bx + c = 0$. При переносе членов из одной части в другую их знаки меняются на противоположные:
$x^2 - x\sqrt{3} + \sqrt{3}x - 5 = 0$
Приведем подобные слагаемые. Слагаемые $-x\sqrt{3}$ и $+\sqrt{3}x$ взаимно уничтожаются:
$x^2 - 5 = 0$
Это неполное квадратное уравнение. Перенесем свободный член в правую часть:
$x^2 = 5$
Извлечем квадратный корень из обеих частей уравнения, чтобы найти $x$. Не забываем, что корень может быть как положительным, так и отрицательным:
$x = \pm\sqrt{5}$
Таким образом, уравнение имеет два корня: $x_1 = \sqrt{5}$ и $x_2 = -\sqrt{5}$.
Ответ: $\pm\sqrt{5}$

б) $(x-\sqrt{5})(x+\sqrt{5}) = 7x - 5$
Левая часть уравнения представляет собой произведение разности и суммы двух выражений, что соответствует формуле разности квадратов: $(a-b)(a+b) = a^2 - b^2$. Применим эту формулу, где $a=x$ и $b=\sqrt{5}$:
$x^2 - (\sqrt{5})^2 = 7x - 5$
Упростим левую часть: $(\sqrt{5})^2 = 5$.
$x^2 - 5 = 7x - 5$
Перенесем все члены уравнения в левую часть:
$x^2 - 5 - 7x + 5 = 0$
Приведем подобные слагаемые. Слагаемые $-5$ и $+5$ взаимно уничтожаются:
$x^2 - 7x = 0$
Это неполное квадратное уравнение. Решим его, вынеся общий множитель $x$ за скобки:
$x(x - 7) = 0$
Произведение равно нулю тогда и только тогда, когда хотя бы один из множителей равен нулю. Поэтому приравниваем каждый множитель к нулю:
$x = 0$ или $x - 7 = 0$
Решая второе уравнение, получаем:
$x = 7$
Таким образом, уравнение имеет два корня: $x_1 = 0$ и $x_2 = 7$.
Ответ: $0; 7$

Помогло решение? Оставьте отзыв в комментариях ниже.

Присоединяйтесь к Телеграм-группе @gdz_by_belarus

Присоединиться

Мы подготовили для вас ответ c подробным объяснением домашего задания по алгебре за 7-9 класс, для упражнения номер 25.21 расположенного на странице 122 к сборнику задач 2020 года издания для учащихся школ и гимназий.

Теперь на нашем сайте ГДЗ.ТОП вы всегда легко и бесплатно найдёте условие с правильным ответом на вопрос «Как решить ДЗ» и «Как сделать» задание по алгебре к упражнению №25.21 (с. 122), авторов: Арефьева (Ирина Глебовна), Пирютко (Ольга Николаевна), учебного пособия издательства Народная асвета.