Номер 30.11, страница 142 - гдз по алгебре 7-9 класс сборник задач Арефьева, Пирютко

Алгебра, 7-9 класс Сборник задач, авторы: Арефьева Ирина Глебовна, Пирютко Ольга Николаевна, издательство Народная асвета, Минск, 2020

Авторы: Арефьева И. Г., Пирютко О. Н.

Тип: Сборник задач

Издательство: Народная асвета

Год издания: 2020 - 2026

Цвет обложки: синий с графиками

Допущено Министерством образования Республики Беларусь

8 класс. Параграф 30. Квадратные неравенства. Системы и совокупности квадратных неравенств - номер 30.11, страница 142.

№30.11 (с. 142)
Условие. №30.11 (с. 142)
скриншот условия
Алгебра, 7-9 класс Сборник задач, авторы: Арефьева Ирина Глебовна, Пирютко Ольга Николаевна, издательство Народная асвета, Минск, 2020, страница 142, номер 30.11, Условие

30.11. Решите квадратное неравенство:

а) $x^2 - 7x \ge 0;$

б) $x^2 + x < 0;$

в) $3x - x^2 \le 0;$

г) $x - x^2 > 0;$

д) $3x^2 - 5x < 0;$

е) $0,7x + 7x^2 > 0;$

ж) $7x - 9x^2 \ge 0;$

з) $x - 2x^2 < 0;$

и) $3x - 5x^2 > 0.$

Решение. №30.11 (с. 142)
Алгебра, 7-9 класс Сборник задач, авторы: Арефьева Ирина Глебовна, Пирютко Ольга Николаевна, издательство Народная асвета, Минск, 2020, страница 142, номер 30.11, Решение Алгебра, 7-9 класс Сборник задач, авторы: Арефьева Ирина Глебовна, Пирютко Ольга Николаевна, издательство Народная асвета, Минск, 2020, страница 142, номер 30.11, Решение (продолжение 2)
Решение 2. №30.11 (с. 142)

а) $x^2 - 7x \ge 0$

Для решения неравенства найдем корни соответствующего квадратного уравнения $x^2 - 7x = 0$. Вынесем общий множитель $x$ за скобки: $x(x - 7) = 0$. Корнями уравнения являются $x_1 = 0$ и $x_2 = 7$. Рассмотрим функцию $y = x^2 - 7x$. Ее график — парабола, ветви которой направлены вверх, так как коэффициент при $x^2$ положителен ($a=1 > 0$). Парабола пересекает ось Ox в точках $0$ и $7$. Неравенство $y \ge 0$ выполняется, когда график функции находится на оси Ox или выше нее. Это происходит на промежутках слева от меньшего корня и справа от большего, включая сами корни.

Ответ: $x \in (-\infty, 0] \cup [7, +\infty)$.

б) $x^2 + x < 0$

Найдем корни уравнения $x^2 + x = 0$. Вынесем $x$ за скобки: $x(x + 1) = 0$. Корни уравнения: $x_1 = -1$ и $x_2 = 0$. График функции $y = x^2 + x$ — парабола с ветвями вверх ($a=1 > 0$), пересекающая ось Ox в точках $-1$ и $0$. Неравенство $y < 0$ выполняется, когда график функции находится ниже оси Ox, то есть на интервале между корнями.

Ответ: $x \in (-1, 0)$.

в) $3x - x^2 \le 0$

Найдем корни уравнения $3x - x^2 = 0$. Вынесем $x$ за скобки: $x(3 - x) = 0$. Корни уравнения: $x_1 = 0$ и $x_2 = 3$. График функции $y = 3x - x^2$ — парабола с ветвями вниз ($a=-1 < 0$), пересекающая ось Ox в точках $0$ и $3$. Неравенство $y \le 0$ выполняется, когда график функции находится на оси Ox или ниже нее. Это происходит на промежутках слева от меньшего корня и справа от большего, включая сами корни.

Ответ: $x \in (-\infty, 0] \cup [3, +\infty)$.

г) $x - x^2 > 0$

Найдем корни уравнения $x - x^2 = 0$. Вынесем $x$ за скобки: $x(1 - x) = 0$. Корни уравнения: $x_1 = 0$ и $x_2 = 1$. График функции $y = x - x^2$ — парабола с ветвями вниз ($a=-1 < 0$), пересекающая ось Ox в точках $0$ и $1$. Неравенство $y > 0$ выполняется, когда график функции находится выше оси Ox, то есть на интервале между корнями.

Ответ: $x \in (0, 1)$.

д) $3x^2 - 5x < 0$

Найдем корни уравнения $3x^2 - 5x = 0$. Вынесем $x$ за скобки: $x(3x - 5) = 0$. Корни уравнения: $x_1 = 0$ и $x_2 = \frac{5}{3}$. График функции $y = 3x^2 - 5x$ — парабола с ветвями вверх ($a=3 > 0$), пересекающая ось Ox в точках $0$ и $\frac{5}{3}$. Неравенство $y < 0$ выполняется, когда график функции находится ниже оси Ox, то есть на интервале между корнями.

Ответ: $x \in (0, \frac{5}{3})$.

е) $0,7x + 7x^2 > 0$

Запишем неравенство в стандартном виде: $7x^2 + 0,7x > 0$. Найдем корни уравнения $7x^2 + 0,7x = 0$. Вынесем $7x$ за скобки: $7x(x + 0,1) = 0$. Корни уравнения: $x_1 = -0,1$ и $x_2 = 0$. График функции $y = 7x^2 + 0,7x$ — парабола с ветвями вверх ($a=7 > 0$), пересекающая ось Ox в точках $-0,1$ и $0$. Неравенство $y > 0$ выполняется, когда график функции находится выше оси Ox. Это происходит на промежутках слева от меньшего корня и справа от большего.

Ответ: $x \in (-\infty, -0,1) \cup (0, +\infty)$.

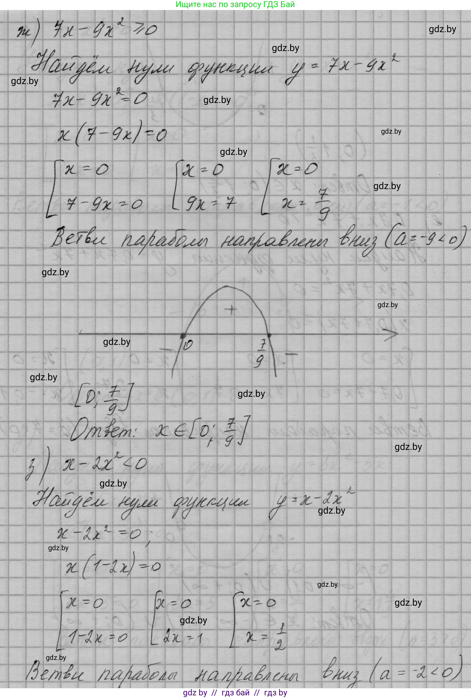
ж) $7x - 9x^2 \ge 0$

Найдем корни уравнения $7x - 9x^2 = 0$. Вынесем $x$ за скобки: $x(7 - 9x) = 0$. Корни уравнения: $x_1 = 0$ и $x_2 = \frac{7}{9}$. График функции $y = 7x - 9x^2$ — парабола с ветвями вниз ($a=-9 < 0$), пересекающая ось Ox в точках $0$ и $\frac{7}{9}$. Неравенство $y \ge 0$ выполняется, когда график функции находится на оси Ox или выше нее, то есть на отрезке между корнями.

Ответ: $x \in [0, \frac{7}{9}]$.

з) $x - 2x^2 < 0$

Найдем корни уравнения $x - 2x^2 = 0$. Вынесем $x$ за скобки: $x(1 - 2x) = 0$. Корни уравнения: $x_1 = 0$ и $x_2 = \frac{1}{2}$. График функции $y = x - 2x^2$ — парабола с ветвями вниз ($a=-2 < 0$), пересекающая ось Ox в точках $0$ и $\frac{1}{2}$. Неравенство $y < 0$ выполняется, когда график функции находится ниже оси Ox. Это происходит на промежутках слева от меньшего корня и справа от большего.

Ответ: $x \in (-\infty, 0) \cup (\frac{1}{2}, +\infty)$.

и) $3x - 5x^2 > 0$

Найдем корни уравнения $3x - 5x^2 = 0$. Вынесем $x$ за скобки: $x(3 - 5x) = 0$. Корни уравнения: $x_1 = 0$ и $x_2 = \frac{3}{5}$. График функции $y = 3x - 5x^2$ — парабола с ветвями вниз ($a=-5 < 0$), пересекающая ось Ox в точках $0$ и $\frac{3}{5}$. Неравенство $y > 0$ выполняется, когда график функции находится выше оси Ox, то есть на интервале между корнями.

Ответ: $x \in (0, \frac{3}{5})$.

Помогло решение? Оставьте отзыв в комментариях ниже.

Присоединяйтесь к Телеграм-группе @gdz_by_belarus

Присоединиться

Мы подготовили для вас ответ c подробным объяснением домашего задания по алгебре за 7-9 класс, для упражнения номер 30.11 расположенного на странице 142 к сборнику задач 2020 года издания для учащихся школ и гимназий.

Теперь на нашем сайте ГДЗ.ТОП вы всегда легко и бесплатно найдёте условие с правильным ответом на вопрос «Как решить ДЗ» и «Как сделать» задание по алгебре к упражнению №30.11 (с. 142), авторов: Арефьева (Ирина Глебовна), Пирютко (Ольга Николаевна), учебного пособия издательства Народная асвета.