Номер 30.14, страница 143 - гдз по алгебре 7-9 класс сборник задач Арефьева, Пирютко

Алгебра, 7-9 класс Сборник задач, авторы: Арефьева Ирина Глебовна, Пирютко Ольга Николаевна, издательство Народная асвета, Минск, 2020

Авторы: Арефьева И. Г., Пирютко О. Н.

Тип: Сборник задач

Издательство: Народная асвета

Год издания: 2020 - 2026

Цвет обложки: синий с графиками

Допущено Министерством образования Республики Беларусь

Популярные ГДЗ в 7 классе

8 класс. Параграф 30. Квадратные неравенства. Системы и совокупности квадратных неравенств - номер 30.14, страница 143.

№30.14 (с. 143)
Условие. №30.14 (с. 143)
скриншот условия
Алгебра, 7-9 класс Сборник задач, авторы: Арефьева Ирина Глебовна, Пирютко Ольга Николаевна, издательство Народная асвета, Минск, 2020, страница 143, номер 30.14, Условие

30.14. Решите неравенство:

а) $4x^2 + x > 5;$

б) $12x^2 + 1 \le 13x;$

в) $7x - 3 \ge 5x^2 - x;$

г) $5 - 9x \ge 2x^2;$

д) $6x^2 - x \le x^2 + 4;$

е) $2x^2 \le 10;$

ж) $x^2 < 8x - 7;$

з) $3 - 8x < 2x - 8x^2;$

и) $x^2 \ge 36;$

к) $x^2 - 7 < 0;$

л) $9x^2 - 1 > x - 11x^2;$

м) $3x^2 > x^2.$

Решение. №30.14 (с. 143)
Алгебра, 7-9 класс Сборник задач, авторы: Арефьева Ирина Глебовна, Пирютко Ольга Николаевна, издательство Народная асвета, Минск, 2020, страница 143, номер 30.14, Решение Алгебра, 7-9 класс Сборник задач, авторы: Арефьева Ирина Глебовна, Пирютко Ольга Николаевна, издательство Народная асвета, Минск, 2020, страница 143, номер 30.14, Решение (продолжение 2)
Решение 2. №30.14 (с. 143)

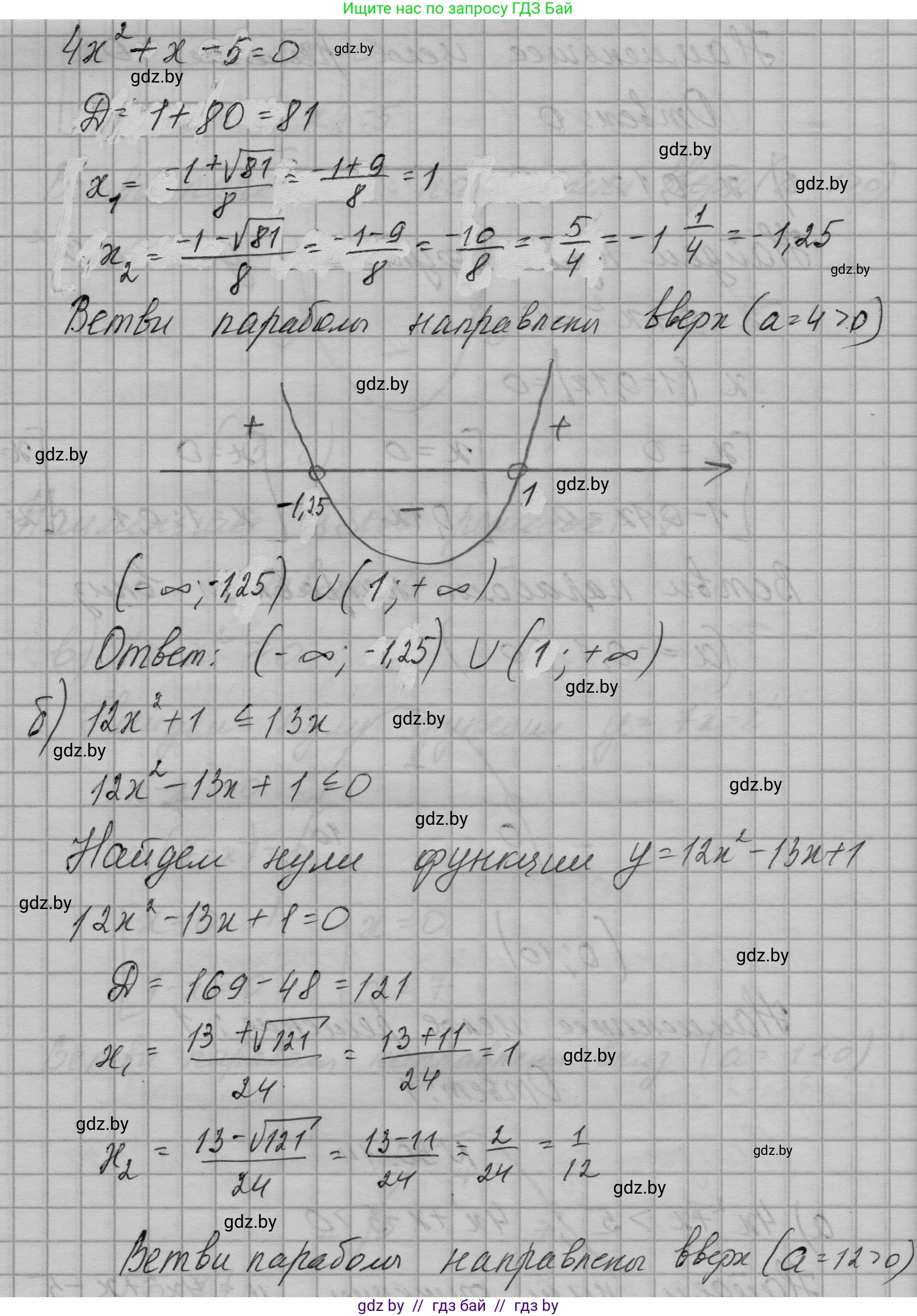
а)

Перенесем все члены неравенства в левую часть:

$4x^2 + x - 5 > 0$

Найдем корни соответствующего квадратного уравнения $4x^2 + x - 5 = 0$.

Дискриминант $D = b^2 - 4ac = 1^2 - 4 \cdot 4 \cdot (-5) = 1 + 80 = 81$.

Корни уравнения: $x_1 = \frac{-1 - \sqrt{81}}{2 \cdot 4} = \frac{-1 - 9}{8} = \frac{-10}{8} = -\frac{5}{4}$; $x_2 = \frac{-1 + \sqrt{81}}{2 \cdot 4} = \frac{-1 + 9}{8} = \frac{8}{8} = 1$.

Так как коэффициент при $x^2$ положителен ($4 > 0$), ветви параболы $y = 4x^2 + x - 5$ направлены вверх. Неравенство $4x^2 + x - 5 > 0$ выполняется при значениях $x$, находящихся за пределами корней.

Следовательно, $x < -\frac{5}{4}$ или $x > 1$.

Ответ: $x \in (-\infty; -1.25) \cup (1; +\infty)$.

б)

Перенесем все члены неравенства в левую часть:

$12x^2 - 13x + 1 \le 0$

Найдем корни уравнения $12x^2 - 13x + 1 = 0$.

Дискриминант $D = (-13)^2 - 4 \cdot 12 \cdot 1 = 169 - 48 = 121$.

Корни уравнения: $x_1 = \frac{13 - \sqrt{121}}{2 \cdot 12} = \frac{13 - 11}{24} = \frac{2}{24} = \frac{1}{12}$; $x_2 = \frac{13 + \sqrt{121}}{2 \cdot 12} = \frac{13 + 11}{24} = \frac{24}{24} = 1$.

Ветви параболы $y = 12x^2 - 13x + 1$ направлены вверх ($12 > 0$). Неравенство $\le 0$ выполняется между корнями, включая сами корни.

Следовательно, $\frac{1}{12} \le x \le 1$.

Ответ: $x \in [\frac{1}{12}; 1]$.

в)

Перенесем все члены в одну сторону:

$7x - 3 - 5x^2 + x \ge 0$

$-5x^2 + 8x - 3 \ge 0$

Умножим неравенство на $-1$ и сменим знак на противоположный:

$5x^2 - 8x + 3 \le 0$

Найдем корни уравнения $5x^2 - 8x + 3 = 0$.

Дискриминант $D = (-8)^2 - 4 \cdot 5 \cdot 3 = 64 - 60 = 4$.

Корни уравнения: $x_1 = \frac{8 - \sqrt{4}}{2 \cdot 5} = \frac{8 - 2}{10} = \frac{6}{10} = \frac{3}{5}$; $x_2 = \frac{8 + \sqrt{4}}{2 \cdot 5} = \frac{8 + 2}{10} = \frac{10}{10} = 1$.

Ветви параболы $y = 5x^2 - 8x + 3$ направлены вверх ($5 > 0$). Неравенство $\le 0$ выполняется между корнями, включая их.

Следовательно, $\frac{3}{5} \le x \le 1$.

Ответ: $x \in [0.6; 1]$.

г)

Перенесем все члены в одну сторону:

$-2x^2 - 9x + 5 \ge 0$

Умножим неравенство на $-1$ и сменим знак:

$2x^2 + 9x - 5 \le 0$

Найдем корни уравнения $2x^2 + 9x - 5 = 0$.

Дискриминант $D = 9^2 - 4 \cdot 2 \cdot (-5) = 81 + 40 = 121$.

Корни уравнения: $x_1 = \frac{-9 - \sqrt{121}}{2 \cdot 2} = \frac{-9 - 11}{4} = \frac{-20}{4} = -5$; $x_2 = \frac{-9 + \sqrt{121}}{2 \cdot 2} = \frac{-9 + 11}{4} = \frac{2}{4} = \frac{1}{2}$.

Ветви параболы $y = 2x^2 + 9x - 5$ направлены вверх ($2 > 0$). Неравенство $\le 0$ выполняется между корнями, включая их.

Следовательно, $-5 \le x \le \frac{1}{2}$.

Ответ: $x \in [-5; 0.5]$.

д)

Перенесем все члены в левую часть:

$6x^2 - x - x^2 - 4 \le 0$

$5x^2 - x - 4 \le 0$

Найдем корни уравнения $5x^2 - x - 4 = 0$.

Дискриминант $D = (-1)^2 - 4 \cdot 5 \cdot (-4) = 1 + 80 = 81$.

Корни уравнения: $x_1 = \frac{1 - \sqrt{81}}{2 \cdot 5} = \frac{1 - 9}{10} = \frac{-8}{10} = -\frac{4}{5}$; $x_2 = \frac{1 + \sqrt{81}}{2 \cdot 5} = \frac{1 + 9}{10} = \frac{10}{10} = 1$.

Ветви параболы $y = 5x^2 - x - 4$ направлены вверх ($5 > 0$). Неравенство $\le 0$ выполняется между корнями, включая их.

Следовательно, $-\frac{4}{5} \le x \le 1$.

Ответ: $x \in [-0.8; 1]$.

е)

$2x^2 \le 10$

Разделим обе части на 2:

$x^2 \le 5$

$x^2 - 5 \le 0$

$(x - \sqrt{5})(x + \sqrt{5}) \le 0$

Корни уравнения $x^2 - 5 = 0$ равны $x = \pm\sqrt{5}$. Ветви параболы $y = x^2 - 5$ направлены вверх. Неравенство $\le 0$ выполняется между корнями, включая их.

Следовательно, $-\sqrt{5} \le x \le \sqrt{5}$.

Ответ: $x \in [-\sqrt{5}; \sqrt{5}]$.

ж)

Перенесем все члены в левую часть:

$x^2 - 8x + 7 < 0$

Найдем корни уравнения $x^2 - 8x + 7 = 0$. По теореме Виета, корни равны $x_1=1$, $x_2=7$.

Ветви параболы $y = x^2 - 8x + 7$ направлены вверх ($1 > 0$). Неравенство $< 0$ выполняется между корнями.

Следовательно, $1 < x < 7$.

Ответ: $x \in (1; 7)$.

з)

Перенесем все члены в левую часть:

$3 - 8x - 2x + 8x^2 < 0$

$8x^2 - 10x + 3 < 0$

Найдем корни уравнения $8x^2 - 10x + 3 = 0$.

Дискриминант $D = (-10)^2 - 4 \cdot 8 \cdot 3 = 100 - 96 = 4$.

Корни уравнения: $x_1 = \frac{10 - \sqrt{4}}{2 \cdot 8} = \frac{10 - 2}{16} = \frac{8}{16} = \frac{1}{2}$; $x_2 = \frac{10 + \sqrt{4}}{2 \cdot 8} = \frac{10 + 2}{16} = \frac{12}{16} = \frac{3}{4}$.

Ветви параболы $y = 8x^2 - 10x + 3$ направлены вверх ($8 > 0$). Неравенство $< 0$ выполняется между корнями.

Следовательно, $\frac{1}{2} < x < \frac{3}{4}$.

Ответ: $x \in (0.5; 0.75)$.

и)

$x^2 \ge 36$

$x^2 - 36 \ge 0$

$(x - 6)(x + 6) \ge 0$

Корни уравнения $x^2 - 36 = 0$ равны $x = \pm6$. Ветви параболы $y = x^2 - 36$ направлены вверх. Неравенство $\ge 0$ выполняется за пределами корней, включая сами корни.

Следовательно, $x \le -6$ или $x \ge 6$.

Ответ: $x \in (-\infty; -6] \cup [6; +\infty)$.

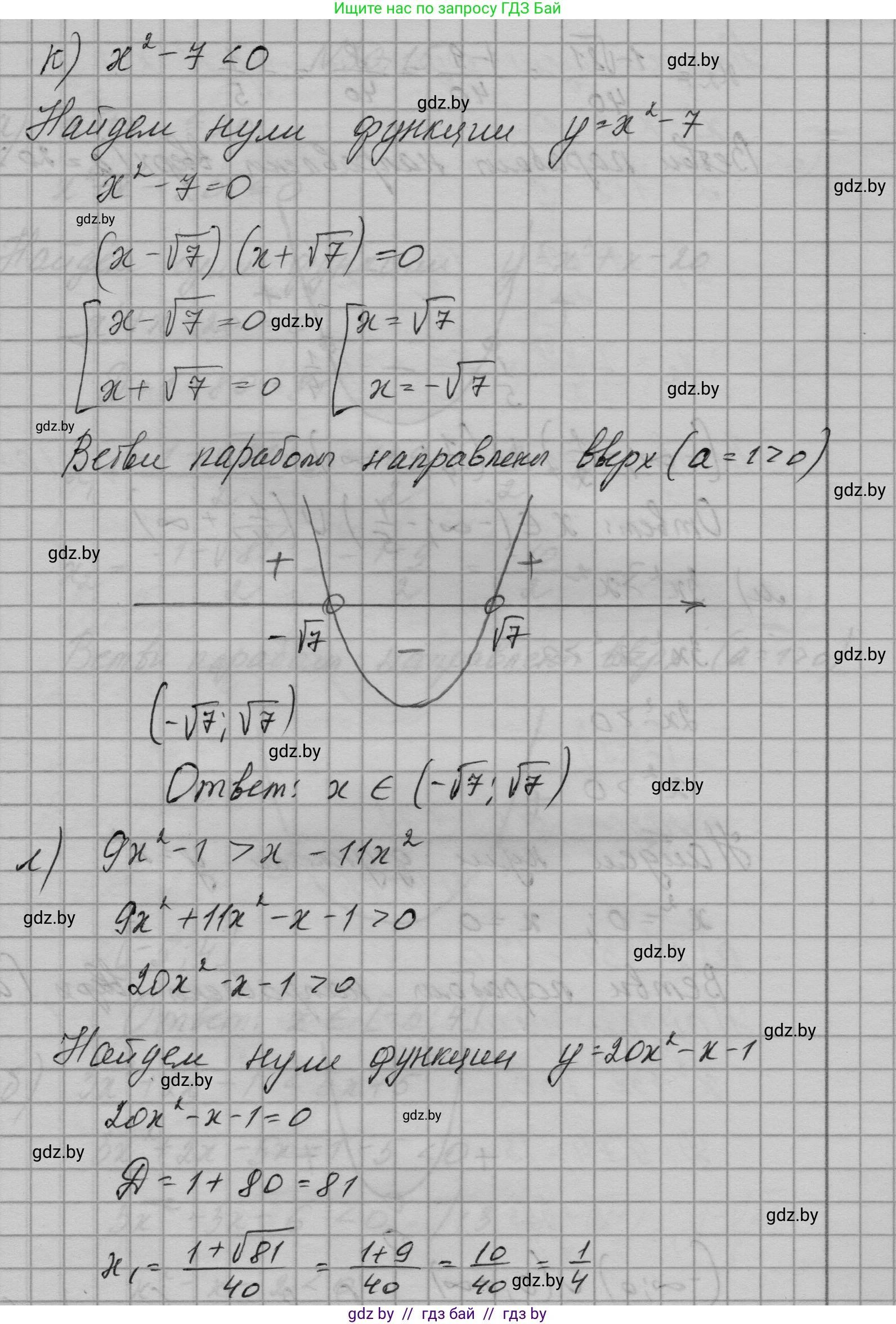
к)

$x^2 - 7 < 0$

$(x - \sqrt{7})(x + \sqrt{7}) < 0$

Корни уравнения $x^2 - 7 = 0$ равны $x = \pm\sqrt{7}$. Ветви параболы $y = x^2 - 7$ направлены вверх. Неравенство $< 0$ выполняется между корнями.

Следовательно, $-\sqrt{7} < x < \sqrt{7}$.

Ответ: $x \in (-\sqrt{7}; \sqrt{7})$.

л)

Перенесем все члены в левую часть:

$9x^2 - 1 - x + 11x^2 > 0$

$20x^2 - x - 1 > 0$

Найдем корни уравнения $20x^2 - x - 1 = 0$.

Дискриминант $D = (-1)^2 - 4 \cdot 20 \cdot (-1) = 1 + 80 = 81$.

Корни уравнения: $x_1 = \frac{1 - \sqrt{81}}{2 \cdot 20} = \frac{1 - 9}{40} = \frac{-8}{40} = -\frac{1}{5}$; $x_2 = \frac{1 + \sqrt{81}}{2 \cdot 20} = \frac{1 + 9}{40} = \frac{10}{40} = \frac{1}{4}$.

Ветви параболы $y = 20x^2 - x - 1$ направлены вверх ($20 > 0$). Неравенство $> 0$ выполняется за пределами корней.

Следовательно, $x < -\frac{1}{5}$ или $x > \frac{1}{4}$.

Ответ: $x \in (-\infty; -0.2) \cup (0.25; +\infty)$.

м)

Перенесем все члены в левую часть:

$3x^2 - x^2 > 0$

$2x^2 > 0$

Разделим обе части на 2:

$x^2 > 0$

Квадрат любого действительного числа, кроме нуля, является положительным числом. При $x = 0$ выражение $x^2$ равно 0, что не удовлетворяет строгому неравенству.

Следовательно, решение неравенства — это все действительные числа, кроме 0.

Ответ: $x \in (-\infty; 0) \cup (0; +\infty)$.

Помогло решение? Оставьте отзыв в комментариях ниже.

Присоединяйтесь к Телеграм-группе @gdz_by_belarus

Присоединиться

Мы подготовили для вас ответ c подробным объяснением домашего задания по алгебре за 7-9 класс, для упражнения номер 30.14 расположенного на странице 143 к сборнику задач 2020 года издания для учащихся школ и гимназий.

Теперь на нашем сайте ГДЗ.ТОП вы всегда легко и бесплатно найдёте условие с правильным ответом на вопрос «Как решить ДЗ» и «Как сделать» задание по алгебре к упражнению №30.14 (с. 143), авторов: Арефьева (Ирина Глебовна), Пирютко (Ольга Николаевна), учебного пособия издательства Народная асвета.