Номер 32.9, страница 153 - гдз по алгебре 7-9 класс сборник задач Арефьева, Пирютко

Алгебра, 7-9 класс Сборник задач, авторы: Арефьева Ирина Глебовна, Пирютко Ольга Николаевна, издательство Народная асвета, Минск, 2020

Авторы: Арефьева И. Г., Пирютко О. Н.

Тип: Сборник задач

Издательство: Народная асвета

Год издания: 2020 - 2026

Цвет обложки: синий с графиками

Допущено Министерством образования Республики Беларусь

9 класс. Параграф 32. Рациональная дробь. Сокращение рациональных дробей - номер 32.9, страница 153.

№32.9 (с. 153)
Условие. №32.9 (с. 153)
скриншот условия
Алгебра, 7-9 класс Сборник задач, авторы: Арефьева Ирина Глебовна, Пирютко Ольга Николаевна, издательство Народная асвета, Минск, 2020, страница 153, номер 32.9, Условие

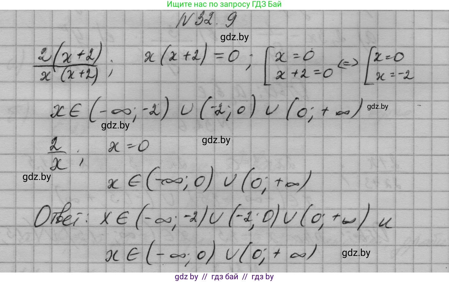
32.9. Сравните области определения выражений $ \frac{2(x+2)}{x(x+2)} $ и $ \frac{2}{x}. $

Решение. №32.9 (с. 153)
Алгебра, 7-9 класс Сборник задач, авторы: Арефьева Ирина Глебовна, Пирютко Ольга Николаевна, издательство Народная асвета, Минск, 2020, страница 153, номер 32.9, Решение
Решение 2. №32.9 (с. 153)

Для того чтобы сравнить области определения двух выражений, найдем область определения для каждого из них по отдельности, а затем сопоставим результаты.

Для выражения $\frac{2(x+2)}{x(x+2)}$

Область определения выражения — это множество всех значений переменной, при которых выражение имеет смысл. Для рациональной дроби таким условием является неравенство знаменателя нулю.

Знаменатель данного выражения равен $x(x+2)$.

Найдем значения $x$, при которых знаменатель обращается в ноль, чтобы исключить их из области определения:

$x(x+2) = 0$

Произведение равно нулю, когда хотя бы один из множителей равен нулю. Таким образом, получаем два уравнения:

$x = 0$

$x + 2 = 0 \Rightarrow x = -2$

Следовательно, область определения первого выражения (обозначим ее $D_1$) — это все действительные числа, за исключением $x=0$ и $x=-2$.

Запишем область определения в виде объединения интервалов: $D_1 = (-\infty; -2) \cup (-2; 0) \cup (0; +\infty)$.

Для выражения $\frac{2}{x}$

Знаменатель этого выражения равен $x$. Найдем значение $x$, при котором он обращается в ноль:

$x = 0$

Следовательно, область определения второго выражения (обозначим ее $D_2$) — это все действительные числа, за исключением $x=0$.

Запишем область определения в виде объединения интервалов: $D_2 = (-\infty; 0) \cup (0; +\infty)$.

Сравнение областей определения

Теперь сравним полученные области определения $D_1$ и $D_2$.

$D_1$ исключает точки $x=0$ и $x=-2$.

$D_2$ исключает только точку $x=0$.

Мы видим, что любое значение $x$, принадлежащее $D_1$, также принадлежит и $D_2$. Однако существует значение $x=-2$, которое принадлежит $D_2$ (поскольку $-2 \neq 0$), но не принадлежит $D_1$. Это означает, что область определения первого выражения является собственным (строгим) подмножеством области определения второго выражения: $D_1 \subset D_2$.

Таким образом, области определения данных выражений не совпадают. Область определения второго выражения шире, чем область определения первого, так как она дополнительно включает точку $x=-2$.

Ответ: Области определения выражений не совпадают. Область определения выражения $\frac{2(x+2)}{x(x+2)}$ есть множество всех действительных чисел, кроме $x=0$ и $x=-2$, то есть $x \in (-\infty; -2) \cup (-2; 0) \cup (0; +\infty)$. Область определения выражения $\frac{2}{x}$ есть множество всех действительных чисел, кроме $x=0$, то есть $x \in (-\infty; 0) \cup (0; +\infty)$. Область определения первого выражения является собственным подмножеством области определения второго выражения.

Помогло решение? Оставьте отзыв в комментариях ниже.

Присоединяйтесь к Телеграм-группе @gdz_by_belarus

Присоединиться

Мы подготовили для вас ответ c подробным объяснением домашего задания по алгебре за 7-9 класс, для упражнения номер 32.9 расположенного на странице 153 к сборнику задач 2020 года издания для учащихся школ и гимназий.

Теперь на нашем сайте ГДЗ.ТОП вы всегда легко и бесплатно найдёте условие с правильным ответом на вопрос «Как решить ДЗ» и «Как сделать» задание по алгебре к упражнению №32.9 (с. 153), авторов: Арефьева (Ирина Глебовна), Пирютко (Ольга Николаевна), учебного пособия издательства Народная асвета.