Номер 32.13, страница 153 - гдз по алгебре 7-9 класс сборник задач Арефьева, Пирютко

Алгебра, 7-9 класс Сборник задач, авторы: Арефьева Ирина Глебовна, Пирютко Ольга Николаевна, издательство Народная асвета, Минск, 2020

Авторы: Арефьева И. Г., Пирютко О. Н.

Тип: Сборник задач

Издательство: Народная асвета

Год издания: 2020 - 2026

Цвет обложки: синий с графиками

Допущено Министерством образования Республики Беларусь

Популярные ГДЗ в 7 классе

9 класс. Параграф 32. Рациональная дробь. Сокращение рациональных дробей - номер 32.13, страница 153.

№32.13 (с. 153)
Условие. №32.13 (с. 153)
скриншот условия
Алгебра, 7-9 класс Сборник задач, авторы: Арефьева Ирина Глебовна, Пирютко Ольга Николаевна, издательство Народная асвета, Минск, 2020, страница 153, номер 32.13, Условие

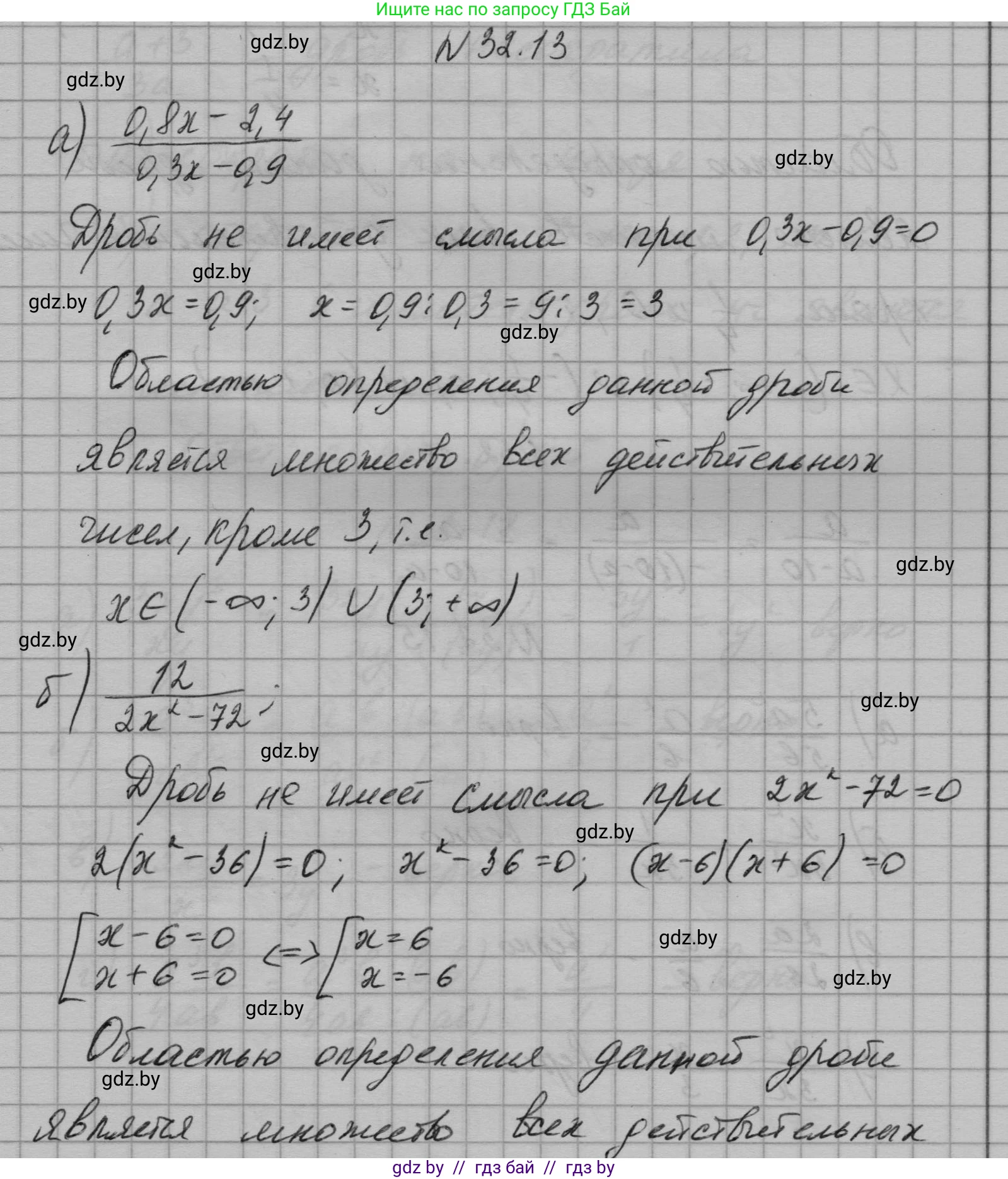
32.13. Найдите область определения дроби:

а) $ \frac{0,8x - 2,4}{0,3x - 0,9} $;

б) $ \frac{12}{2x^2 - 72} $;

в) $ \frac{0,2x - 5}{4 + \frac{1}{x}} $.

Решение. №32.13 (с. 153)
Алгебра, 7-9 класс Сборник задач, авторы: Арефьева Ирина Глебовна, Пирютко Ольга Николаевна, издательство Народная асвета, Минск, 2020, страница 153, номер 32.13, Решение Алгебра, 7-9 класс Сборник задач, авторы: Арефьева Ирина Глебовна, Пирютко Ольга Николаевна, издательство Народная асвета, Минск, 2020, страница 153, номер 32.13, Решение (продолжение 2)
Решение 2. №32.13 (с. 153)

a) Область определения дроби — это множество всех значений переменной, при которых ее знаменатель не равен нулю. Для дроби $\frac{0,8x - 2,4}{0,3x - 0,9}$ найдем значения $x$, при которых знаменатель $0,3x - 0,9$ равен нулю, чтобы исключить их.
Приравняем знаменатель к нулю:
$0,3x - 0,9 = 0$
$0,3x = 0,9$
$x = \frac{0,9}{0,3}$
$x = 3$
Таким образом, переменная $x$ может принимать любые значения, кроме 3.
Ответ: все числа, кроме 3.

б) Для дроби $\frac{12}{2x^2 - 72}$ найдем значения $x$, при которых ее знаменатель $2x^2 - 72$ обращается в ноль.
Приравняем знаменатель к нулю:
$2x^2 - 72 = 0$
$2x^2 = 72$
$x^2 = \frac{72}{2}$
$x^2 = 36$
$x = \sqrt{36}$ или $x = -\sqrt{36}$
$x_1 = 6$, $x_2 = -6$
Следовательно, область определения дроби включает все действительные числа, кроме -6 и 6.
Ответ: все числа, кроме -6 и 6.

в) В выражении $\frac{0,2x - 5}{4 + \frac{1}{x}}$ есть два знаменателя, и ни один из них не должен быть равен нулю.
1. Знаменатель внутренней дроби $\frac{1}{x}$ не может быть равен нулю. Отсюда получаем первое условие:
$x \neq 0$
2. Знаменатель основной дроби $4 + \frac{1}{x}$ также не может быть равен нулю. Отсюда получаем второе условие:
$4 + \frac{1}{x} \neq 0$
$\frac{1}{x} \neq -4$
$x \neq -\frac{1}{4}$
Объединяя оба условия, получаем, что область определения состоит из всех действительных чисел, кроме 0 и -1/4.
Ответ: все числа, кроме 0 и -1/4.

Помогло решение? Оставьте отзыв в комментариях ниже.

Присоединяйтесь к Телеграм-группе @gdz_by_belarus

Присоединиться

Мы подготовили для вас ответ c подробным объяснением домашего задания по алгебре за 7-9 класс, для упражнения номер 32.13 расположенного на странице 153 к сборнику задач 2020 года издания для учащихся школ и гимназий.

Теперь на нашем сайте ГДЗ.ТОП вы всегда легко и бесплатно найдёте условие с правильным ответом на вопрос «Как решить ДЗ» и «Как сделать» задание по алгебре к упражнению №32.13 (с. 153), авторов: Арефьева (Ирина Глебовна), Пирютко (Ольга Николаевна), учебного пособия издательства Народная асвета.