Номер 1.149, страница 32 - гдз по алгебре 7 класс учебник Арефьева, Пирютко

Алгебра, 7 класс Учебник, авторы: Арефьева Ирина Глебовна, Пирютко Ольга Николаевна, издательство Народная асвета, Минск, 2022, зелёного цвета

Авторы: Арефьева И. Г., Пирютко О. Н.

Тип: Учебник

Издательство: Народная асвета

Год издания: 2022 - 2026

Цвет обложки: зелёный с графиком

ISBN: ISBN 978-985-03-3770-2

Допущено Министерством образования Республики Беларусь

Глава 1. Степень с натуральным и целым показателями. Параграф 2. Степень с целым показателем и ее свойства - номер 1.149, страница 32.

№1.149 (с. 32)
Условие. №1.149 (с. 32)
скриншот условия
Алгебра, 7 класс Учебник, авторы: Арефьева Ирина Глебовна, Пирютко Ольга Николаевна, издательство Народная асвета, Минск, 2022, зелёного цвета, страница 32, номер 1.149, Условие

1.149. Вычислите:

а) $\frac{72^{-2}}{18^{-2}}$;

б) $\frac{1,3^{-4}}{3,9^{-4}}$;

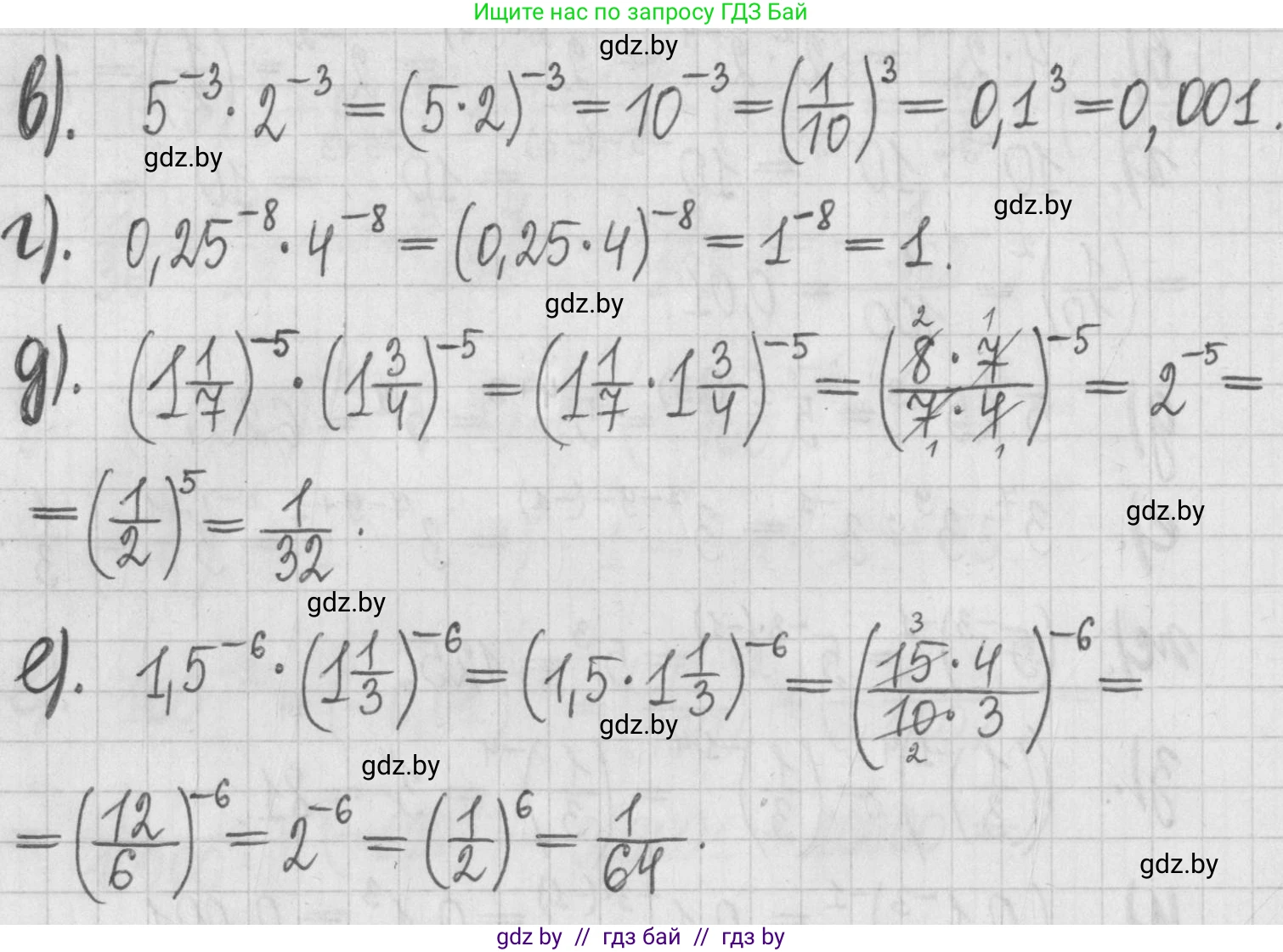
в) $5^{-3} \cdot 2^{-3}$;

г) $0,25^{-8} \cdot 4^{-8}$;

д) $\left(1\frac{1}{7}\right)^{-5} \cdot \left(1\frac{3}{4}\right)^{-5}$;

е) $1,5^{-6} \cdot \left(1\frac{1}{3}\right)^{-6}$.

Решение. №1.149 (с. 32)
Алгебра, 7 класс Учебник, авторы: Арефьева Ирина Глебовна, Пирютко Ольга Николаевна, издательство Народная асвета, Минск, 2022, зелёного цвета, страница 32, номер 1.149, Решение Алгебра, 7 класс Учебник, авторы: Арефьева Ирина Глебовна, Пирютко Ольга Николаевна, издательство Народная асвета, Минск, 2022, зелёного цвета, страница 32, номер 1.149, Решение (продолжение 2)
Решение 2. №1.149 (с. 32)

а) $\frac{72^{-2}}{18^{-2}}$
Применим свойство частного степеней с одинаковым показателем $\frac{a^n}{b^n} = (\frac{a}{b})^n$:
$\frac{72^{-2}}{18^{-2}} = (\frac{72}{18})^{-2}$
Упростим дробь в скобках: $72 \div 18 = 4$.
$(\frac{72}{18})^{-2} = 4^{-2}$
Теперь используем определение степени с отрицательным показателем $a^{-n} = \frac{1}{a^n}$:
$4^{-2} = \frac{1}{4^2} = \frac{1}{16}$
Ответ: $\frac{1}{16}$.

б) $\frac{1,3^{-4}}{3,9^{-4}}$
Применим свойство частного степеней с одинаковым показателем $\frac{a^n}{b^n} = (\frac{a}{b})^n$:
$\frac{1,3^{-4}}{3,9^{-4}} = (\frac{1,3}{3,9})^{-4}$
Упростим дробь в скобках: $\frac{1,3}{3,9} = \frac{13}{39} = \frac{1}{3}$.
$(\frac{1}{3})^{-4}$
Используем свойство $(\frac{a}{b})^{-n} = (\frac{b}{a})^n$:
$(\frac{1}{3})^{-4} = (\frac{3}{1})^4 = 3^4 = 81$
Ответ: 81.

в) $5^{-3} \cdot 2^{-3}$
Применим свойство произведения степеней с одинаковым показателем $a^n \cdot b^n = (a \cdot b)^n$:
$5^{-3} \cdot 2^{-3} = (5 \cdot 2)^{-3} = 10^{-3}$
Используем определение степени с отрицательным показателем $a^{-n} = \frac{1}{a^n}$:
$10^{-3} = \frac{1}{10^3} = \frac{1}{1000}$
Ответ: $\frac{1}{1000}$.

г) $0,25^{-8} \cdot 4^{-8}$
Применим свойство произведения степеней с одинаковым показателем $a^n \cdot b^n = (a \cdot b)^n$:
$0,25^{-8} \cdot 4^{-8} = (0,25 \cdot 4)^{-8}$
Вычислим произведение в скобках: $0,25 \cdot 4 = 1$.
$(1)^{-8} = 1$
Ответ: 1.

д) $(1\frac{1}{7})^{-5} \cdot (1\frac{3}{4})^{-5}$
Сначала преобразуем смешанные числа в неправильные дроби:
$1\frac{1}{7} = \frac{1 \cdot 7 + 1}{7} = \frac{8}{7}$
$1\frac{3}{4} = \frac{1 \cdot 4 + 3}{4} = \frac{7}{4}$
Подставим дроби в исходное выражение:
$(\frac{8}{7})^{-5} \cdot (\frac{7}{4})^{-5}$
Применим свойство произведения степеней с одинаковым показателем $(a \cdot b)^n = a^n \cdot b^n$:
$(\frac{8}{7} \cdot \frac{7}{4})^{-5} = (\frac{8 \cdot 7}{7 \cdot 4})^{-5} = (\frac{8}{4})^{-5} = 2^{-5}$
Используем определение степени с отрицательным показателем $a^{-n} = \frac{1}{a^n}$:
$2^{-5} = \frac{1}{2^5} = \frac{1}{32}$
Ответ: $\frac{1}{32}$.

е) $1,5^{-6} \cdot (1\frac{1}{3})^{-6}$
Сначала представим оба числа в виде обыкновенных дробей:
$1,5 = \frac{15}{10} = \frac{3}{2}$
$1\frac{1}{3} = \frac{1 \cdot 3 + 1}{3} = \frac{4}{3}$
Подставим дроби в исходное выражение:
$(\frac{3}{2})^{-6} \cdot (\frac{4}{3})^{-6}$
Применим свойство произведения степеней с одинаковым показателем $(a \cdot b)^n = a^n \cdot b^n$:
$(\frac{3}{2} \cdot \frac{4}{3})^{-6} = (\frac{3 \cdot 4}{2 \cdot 3})^{-6} = (\frac{4}{2})^{-6} = 2^{-6}$
Используем определение степени с отрицательным показателем $a^{-n} = \frac{1}{a^n}$:
$2^{-6} = \frac{1}{2^6} = \frac{1}{64}$
Ответ: $\frac{1}{64}$.

Помогло решение? Оставьте отзыв в комментариях ниже.

Присоединяйтесь к Телеграм-группе @gdz_by_belarus

Присоединиться

Мы подготовили для вас ответ c подробным объяснением домашего задания по алгебре за 7 класс, для упражнения номер 1.149 расположенного на странице 32 к учебнику 2022 года издания для учащихся школ и гимназий.

Теперь на нашем сайте ГДЗ.ТОП вы всегда легко и бесплатно найдёте условие с правильным ответом на вопрос «Как решить ДЗ» и «Как сделать» задание по алгебре к упражнению №1.149 (с. 32), авторов: Арефьева (Ирина Глебовна), Пирютко (Ольга Николаевна), учебного пособия издательства Народная асвета.