Номер 1.144, страница 31 - гдз по алгебре 7 класс учебник Арефьева, Пирютко

Алгебра, 7 класс Учебник, авторы: Арефьева Ирина Глебовна, Пирютко Ольга Николаевна, издательство Народная асвета, Минск, 2022, зелёного цвета

Авторы: Арефьева И. Г., Пирютко О. Н.

Тип: Учебник

Издательство: Народная асвета

Год издания: 2022 - 2026

Цвет обложки: зелёный с графиком

ISBN: ISBN 978-985-03-3770-2

Допущено Министерством образования Республики Беларусь

Глава 1. Степень с натуральным и целым показателями. Параграф 2. Степень с целым показателем и ее свойства - номер 1.144, страница 31.

№1.144 (с. 31)
Условие. №1.144 (с. 31)
скриншот условия
Алгебра, 7 класс Учебник, авторы: Арефьева Ирина Глебовна, Пирютко Ольга Николаевна, издательство Народная асвета, Минск, 2022, зелёного цвета, страница 31, номер 1.144, Условие

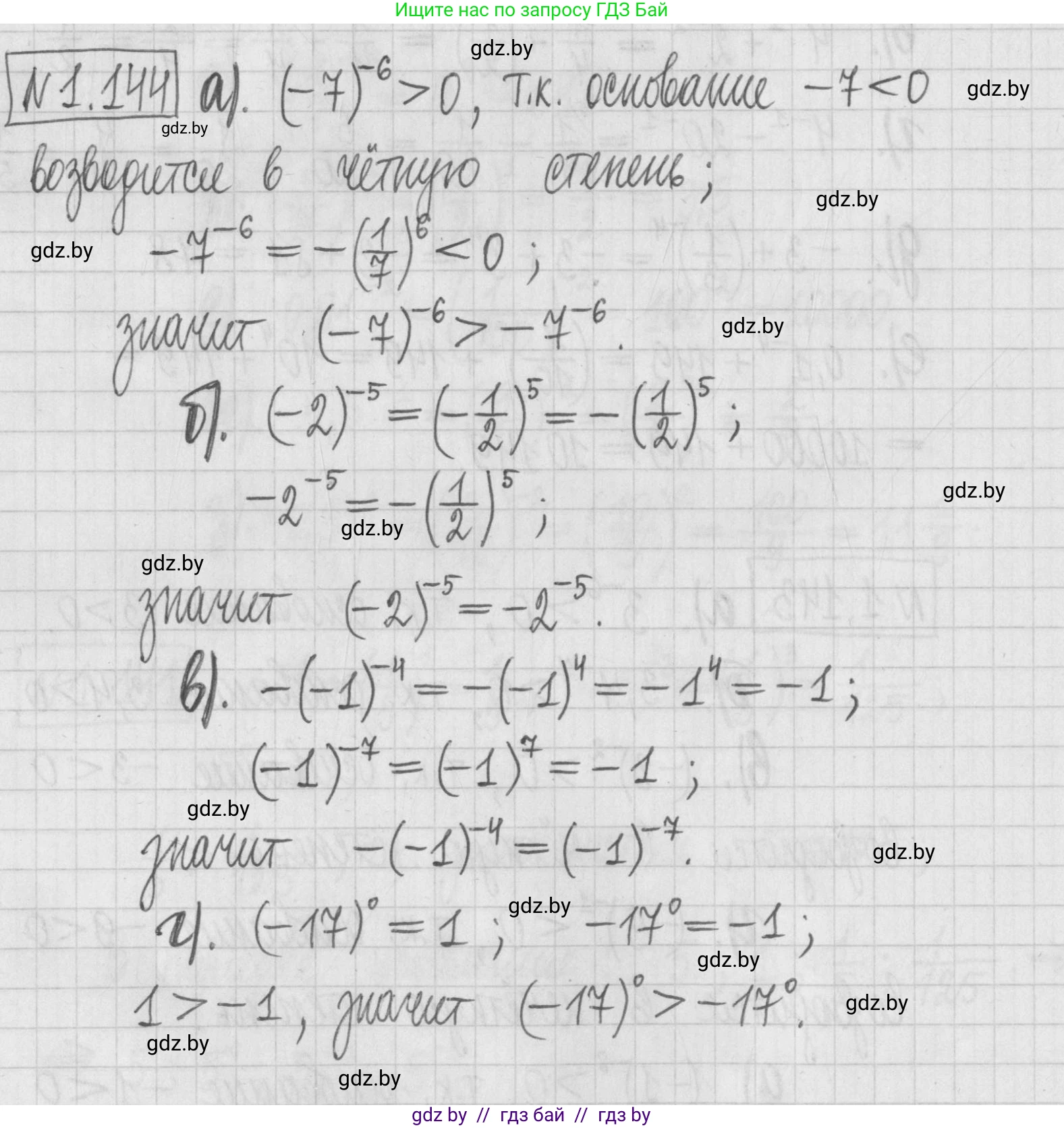
1.144. Сравните значения выражений:

а) $ (-7)^{-6} $ и $ -7^{-6}; $

б) $ (-2)^{-5} $ и $ -2^{-5}; $

в) $ -(-1)^{-4} $ и $ (-1)^{-7}; $

г) $ (-17)^{0} $ и $ -17^{0}. $

Решение. №1.144 (с. 31)
Алгебра, 7 класс Учебник, авторы: Арефьева Ирина Глебовна, Пирютко Ольга Николаевна, издательство Народная асвета, Минск, 2022, зелёного цвета, страница 31, номер 1.144, Решение
Решение 2. №1.144 (с. 31)

а) $(-7)^{-6}$ и $-7^{-6}$

Для того чтобы сравнить значения выражений, вычислим каждое из них, используя свойства степеней.

Первое выражение: $(-7)^{-6}$. Основание степени здесь $(-7)$, показатель степени $-6$.

Используем правило $a^{-n} = \frac{1}{a^n}$:

$(-7)^{-6} = \frac{1}{(-7)^6}$

Поскольку возведение отрицательного числа в четную степень дает положительный результат, получаем:

$(-7)^6 = 7^6$

Следовательно, $(-7)^{-6} = \frac{1}{7^6}$. Это положительное число.

Второе выражение: $-7^{-6}$. Здесь операция возведения в степень применяется к числу $7$, а знак минус стоит перед всем выражением.

$-7^{-6} = -(7^{-6}) = -(\frac{1}{7^6}) = -\frac{1}{7^6}$. Это отрицательное число.

Сравниваем полученные результаты: любое положительное число больше любого отрицательного.

$\frac{1}{7^6} > -\frac{1}{7^6}$

Ответ: $(-7)^{-6} > -7^{-6}$.

б) $(-2)^{-5}$ и $-2^{-5}$

Вычислим значение первого выражения: $(-2)^{-5}$. Основание степени $(-2)$, показатель $-5$.

$(-2)^{-5} = \frac{1}{(-2)^5}$

Возведение отрицательного числа в нечетную степень дает отрицательный результат:

$(-2)^5 = -2^5 = -32$

Таким образом, $(-2)^{-5} = \frac{1}{-32} = -\frac{1}{32}$.

Теперь вычислим второе выражение: $-2^{-5}$.

Знак минус стоит перед степенью, поэтому сначала вычисляем $2^{-5}$:

$-2^{-5} = -(2^{-5}) = -(\frac{1}{2^5}) = -\frac{1}{32}$.

Сравнивая результаты, видим, что они равны.

$-\frac{1}{32} = -\frac{1}{32}$

Ответ: $(-2)^{-5} = -2^{-5}$.

в) $-(-1)^{-4}$ и $(-1)^{-7}$

Рассмотрим первое выражение: $-(-1)^{-4}$.

Сначала найдем значение $(-1)^{-4}$:

$(-1)^{-4} = \frac{1}{(-1)^4}$

Число $-1$ в четной степени (4) равно $1$.

$(-1)^{-4} = \frac{1}{1} = 1$

Теперь подставим это значение в исходное выражение:

$-(-1)^{-4} = -(1) = -1$.

Рассмотрим второе выражение: $(-1)^{-7}$.

$(-1)^{-7} = \frac{1}{(-1)^7}$

Число $-1$ в нечетной степени (7) равно $-1$.

$(-1)^{-7} = \frac{1}{-1} = -1$.

Оба выражения равны $-1$.

Ответ: $-(-1)^{-4} = (-1)^{-7}$.

г) $(-17)^{0}$ и $-17^{0}$

Вычислим значение первого выражения: $(-17)^{0}$.

Согласно свойству степени, любое ненулевое число, возведенное в нулевую степень, равно 1.

$(-17)^{0} = 1$.

Вычислим значение второго выражения: $-17^{0}$.

Здесь в степень 0 возводится только число 17, а знак минус к нему не относится.

$17^0 = 1$

Следовательно, $-17^{0} = -(17^0) = -1$.

Сравниваем полученные значения 1 и -1.

$1 > -1$

Ответ: $(-17)^{0} > -17^{0}$.

Помогло решение? Оставьте отзыв в комментариях ниже.

Присоединяйтесь к Телеграм-группе @gdz_by_belarus

Присоединиться

Мы подготовили для вас ответ c подробным объяснением домашего задания по алгебре за 7 класс, для упражнения номер 1.144 расположенного на странице 31 к учебнику 2022 года издания для учащихся школ и гимназий.

Теперь на нашем сайте ГДЗ.ТОП вы всегда легко и бесплатно найдёте условие с правильным ответом на вопрос «Как решить ДЗ» и «Как сделать» задание по алгебре к упражнению №1.144 (с. 31), авторов: Арефьева (Ирина Глебовна), Пирютко (Ольга Николаевна), учебного пособия издательства Народная асвета.