Номер 1.138, страница 30 - гдз по алгебре 7 класс учебник Арефьева, Пирютко

Алгебра, 7 класс Учебник, авторы: Арефьева Ирина Глебовна, Пирютко Ольга Николаевна, издательство Народная асвета, Минск, 2022, зелёного цвета

Авторы: Арефьева И. Г., Пирютко О. Н.

Тип: Учебник

Издательство: Народная асвета

Год издания: 2022 - 2026

Цвет обложки: зелёный с графиком

ISBN: ISBN 978-985-03-3770-2

Допущено Министерством образования Республики Беларусь

Глава 1. Степень с натуральным и целым показателями. Параграф 2. Степень с целым показателем и ее свойства - номер 1.138, страница 30.

№1.138 (с. 30)
Условие. №1.138 (с. 30)
скриншот условия
Алгебра, 7 класс Учебник, авторы: Арефьева Ирина Глебовна, Пирютко Ольга Николаевна, издательство Народная асвета, Минск, 2022, зелёного цвета, страница 30, номер 1.138, Условие

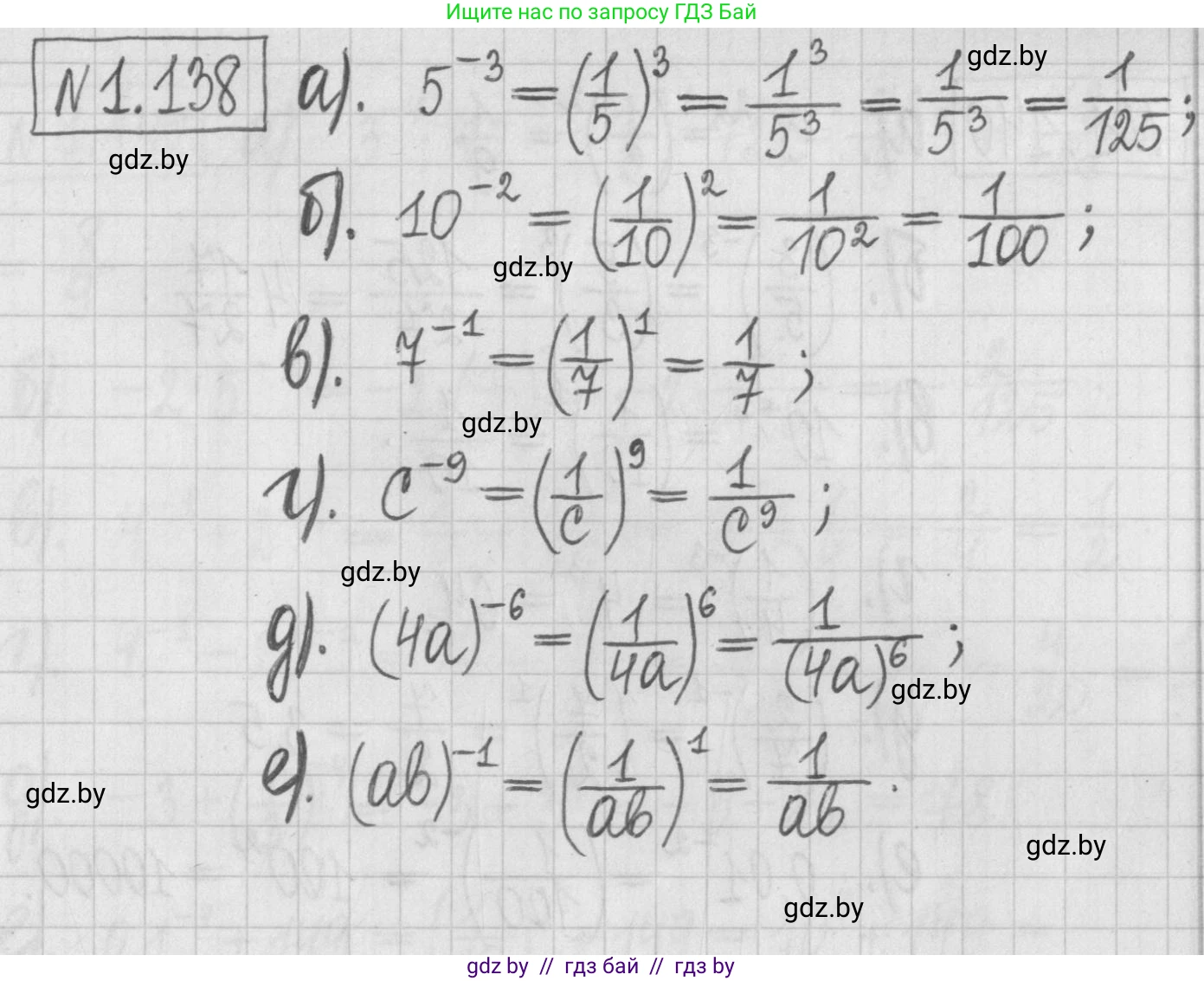
1.138. Представьте степень с целым отрицательным показателем в виде дроби:

а) $5^{-3}$;

б) $10^{-2}$;

в) $7^{-1}$;

г) $c^{-9}$;

д) $(4a)^{-6}$;

е) $(ab)^{-1}$.

Решение. №1.138 (с. 30)
Алгебра, 7 класс Учебник, авторы: Арефьева Ирина Глебовна, Пирютко Ольга Николаевна, издательство Народная асвета, Минск, 2022, зелёного цвета, страница 30, номер 1.138, Решение
Решение 2. №1.138 (с. 30)

Данная задача требует представить степень с целым отрицательным показателем в виде дроби. Для этого используется основное свойство степени с отрицательным показателем:

$$ a^{-n} = \frac{1}{a^n} $$

где $a \neq 0$ и $n$ — целое положительное число. Это правило означает, что любое основание в отрицательной степени равно дроби, в числителе которой стоит единица, а в знаменателе — то же основание в соответствующей положительной степени.

а) $5^{-3}$

Согласно правилу, где основание $a=5$ и показатель $n=3$, получаем:

$$ 5^{-3} = \frac{1}{5^3} $$

Далее вычисляем значение знаменателя:

$$ 5^3 = 5 \cdot 5 \cdot 5 = 125 $$

Таким образом, итоговая дробь:

Ответ: $\frac{1}{125}$

б) $10^{-2}$

Применяем то же правило для основания $a=10$ и показателя $n=2$:

$$ 10^{-2} = \frac{1}{10^2} $$

Вычисляем знаменатель:

$$ 10^2 = 10 \cdot 10 = 100 $$

Получаем дробь:

Ответ: $\frac{1}{100}$

в) $7^{-1}$

В этом случае основание $a=7$ и показатель $n=1$:

$$ 7^{-1} = \frac{1}{7^1} $$

Любое число в первой степени равно самому себе ($7^1 = 7$), поэтому:

Ответ: $\frac{1}{7}$

г) $c^{-9}$

Здесь основанием является переменная $c$. Применяем правило, где $a=c$ и $n=9$:

$$ c^{-9} = \frac{1}{c^9} $$

Это выражение является конечным представлением в виде дроби.

Ответ: $\frac{1}{c^9}$

д) $(4a)^{-6}$

Основанием степени является выражение в скобках $(4a)$, а показатель равен $-6$.

$$ (4a)^{-6} = \frac{1}{(4a)^6} $$

Для упрощения знаменателя воспользуемся свойством степени произведения $(xy)^n = x^n y^n$:

$$ (4a)^6 = 4^6 \cdot a^6 $$

Вычислим числовую часть $4^6$:

$$ 4^6 = 4096 $$

Таким образом, итоговое выражение:

Ответ: $\frac{1}{4096a^6}$

е) $(ab)^{-1}$

Основание — это произведение $(ab)$, показатель равен $-1$.

$$ (ab)^{-1} = \frac{1}{(ab)^1} $$

Так как любое выражение в первой степени равно самому себе, то:

Ответ: $\frac{1}{ab}$

Помогло решение? Оставьте отзыв в комментариях ниже.

Присоединяйтесь к Телеграм-группе @gdz_by_belarus

Присоединиться

Мы подготовили для вас ответ c подробным объяснением домашего задания по алгебре за 7 класс, для упражнения номер 1.138 расположенного на странице 30 к учебнику 2022 года издания для учащихся школ и гимназий.

Теперь на нашем сайте ГДЗ.ТОП вы всегда легко и бесплатно найдёте условие с правильным ответом на вопрос «Как решить ДЗ» и «Как сделать» задание по алгебре к упражнению №1.138 (с. 30), авторов: Арефьева (Ирина Глебовна), Пирютко (Ольга Николаевна), учебного пособия издательства Народная асвета.