Номер 1.137, страница 30 - гдз по алгебре 7 класс учебник Арефьева, Пирютко

Алгебра, 7 класс Учебник, авторы: Арефьева Ирина Глебовна, Пирютко Ольга Николаевна, издательство Народная асвета, Минск, 2022, зелёного цвета

Авторы: Арефьева И. Г., Пирютко О. Н.

Тип: Учебник

Издательство: Народная асвета

Год издания: 2022 - 2026

Цвет обложки: зелёный с графиком

ISBN: ISBN 978-985-03-3770-2

Допущено Министерством образования Республики Беларусь

Глава 1. Степень с натуральным и целым показателями. Параграф 2. Степень с целым показателем и ее свойства - номер 1.137, страница 30.

№1.137 (с. 30)
Условие. №1.137 (с. 30)
скриншот условия
Алгебра, 7 класс Учебник, авторы: Арефьева Ирина Глебовна, Пирютко Ольга Николаевна, издательство Народная асвета, Минск, 2022, зелёного цвета, страница 30, номер 1.137, Условие

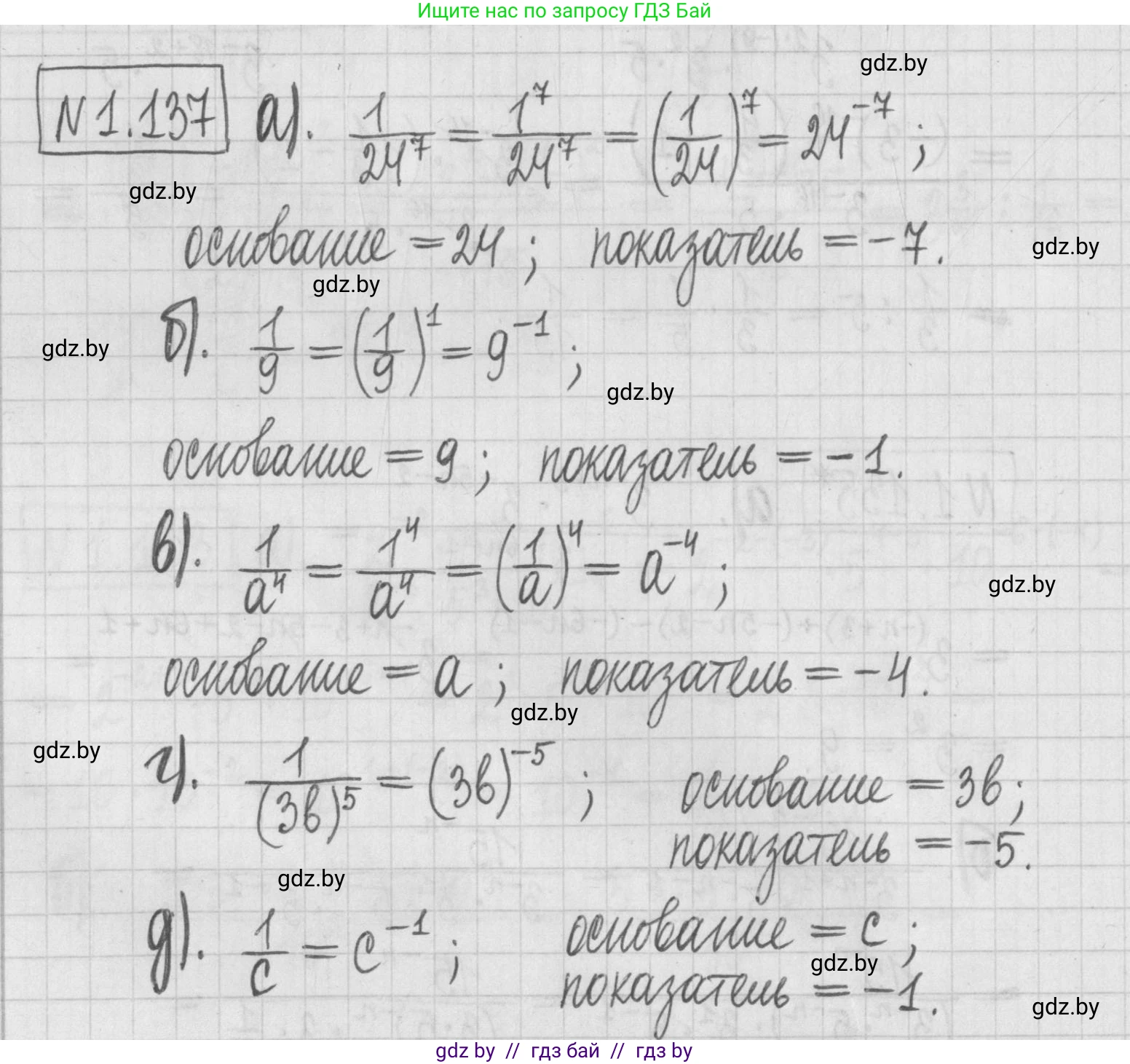
1.137. Представьте дробь в виде степени с целым отрицательным показателем:

а) $\frac{1}{24^7}$;

б) $\frac{1}{9}$;

в) $\frac{1}{a^4}$;

г) $\frac{1}{(3b)^5}$;

д) $\frac{1}{c}$.

Решение. №1.137 (с. 30)
Алгебра, 7 класс Учебник, авторы: Арефьева Ирина Глебовна, Пирютко Ольга Николаевна, издательство Народная асвета, Минск, 2022, зелёного цвета, страница 30, номер 1.137, Решение
Решение 2. №1.137 (с. 30)

Чтобы представить дробь в виде степени с целым отрицательным показателем, используется следующее свойство степени:

$$ \frac{1}{a^n} = a^{-n} $$

где $a$ - любое число, не равное нулю, а $n$ - целое число.

Применим это правило для каждого случая.

а) Дана дробь $ \frac{1}{24^7} $.
Здесь основанием является $24$, а показателем степени $7$.
Применяя формулу, получаем: $$ \frac{1}{24^7} = 24^{-7} $$ Ответ: $24^{-7}$

б) Дана дробь $ \frac{1}{9} $.
Сначала представим знаменатель $9$ в виде степени. Так как $9 = 3^2$, то дробь можно переписать как $ \frac{1}{3^2} $.
Теперь применим свойство степени с отрицательным показателем: $$ \frac{1}{3^2} = 3^{-2} $$ Ответ: $3^{-2}$

в) Дана дробь $ \frac{1}{a^4} $.
В этом случае основание - это $a$, а показатель степени - $4$.
По формуле получаем: $$ \frac{1}{a^4} = a^{-4} $$ Ответ: $a^{-4}$

г) Дана дробь $ \frac{1}{(3b)^5} $.
Основанием степени здесь является выражение $(3b)$, а показатель равен $5$.
Применяем правило: $$ \frac{1}{(3b)^5} = (3b)^{-5} $$ Ответ: $(3b)^{-5}$

д) Дана дробь $ \frac{1}{c} $.
Любое число или переменную без показателя степени можно рассматривать как находящееся в первой степени, то есть $c = c^1$.
Таким образом, дробь равна $ \frac{1}{c^1} $.
Применяем правило для степеней: $$ \frac{1}{c^1} = c^{-1} $$ Ответ: $c^{-1}$

Помогло решение? Оставьте отзыв в комментариях ниже.

Присоединяйтесь к Телеграм-группе @gdz_by_belarus

Присоединиться

Мы подготовили для вас ответ c подробным объяснением домашего задания по алгебре за 7 класс, для упражнения номер 1.137 расположенного на странице 30 к учебнику 2022 года издания для учащихся школ и гимназий.

Теперь на нашем сайте ГДЗ.ТОП вы всегда легко и бесплатно найдёте условие с правильным ответом на вопрос «Как решить ДЗ» и «Как сделать» задание по алгебре к упражнению №1.137 (с. 30), авторов: Арефьева (Ирина Глебовна), Пирютко (Ольга Николаевна), учебного пособия издательства Народная асвета.