Номер 1.130, страница 29 - гдз по алгебре 7 класс учебник Арефьева, Пирютко

Алгебра, 7 класс Учебник, авторы: Арефьева Ирина Глебовна, Пирютко Ольга Николаевна, издательство Народная асвета, Минск, 2022, зелёного цвета

Авторы: Арефьева И. Г., Пирютко О. Н.

Тип: Учебник

Издательство: Народная асвета

Год издания: 2022 - 2026

Цвет обложки: зелёный с графиком

ISBN: ISBN 978-985-03-3770-2

Допущено Министерством образования Республики Беларусь

Глава 1. Степень с натуральным и целым показателями. Параграф 2. Степень с целым показателем и ее свойства - номер 1.130, страница 29.

№1.130 (с. 29)
Условие. №1.130 (с. 29)
скриншот условия
Алгебра, 7 класс Учебник, авторы: Арефьева Ирина Глебовна, Пирютко Ольга Николаевна, издательство Народная асвета, Минск, 2022, зелёного цвета, страница 29, номер 1.130, Условие

1.130. Найдите значение выражения:

а) $\frac{3^{-2} \cdot 5^{-3}}{15^{-3}};$

б) $\frac{6^{-5}}{27^{-2} \cdot 4^{-4}};$

в) $\frac{81 \cdot 6^{-4} \cdot 21^{-5}}{14^{-5}}.$

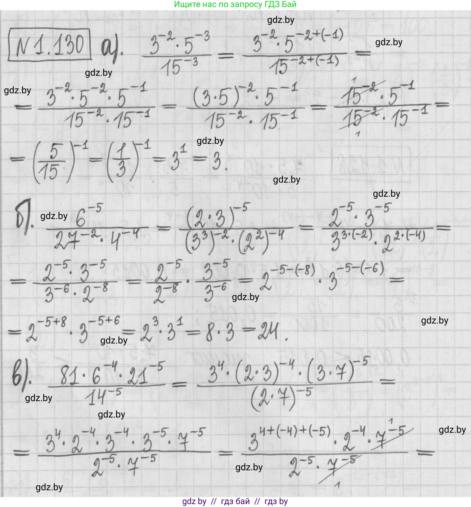
Решение. №1.130 (с. 29)
Алгебра, 7 класс Учебник, авторы: Арефьева Ирина Глебовна, Пирютко Ольга Николаевна, издательство Народная асвета, Минск, 2022, зелёного цвета, страница 29, номер 1.130, Решение Алгебра, 7 класс Учебник, авторы: Арефьева Ирина Глебовна, Пирютко Ольга Николаевна, издательство Народная асвета, Минск, 2022, зелёного цвета, страница 29, номер 1.130, Решение (продолжение 2)
Решение 2. №1.130 (с. 29)

а) Для нахождения значения выражения воспользуемся свойствами степеней. Сначала представим число 15 в знаменателе как произведение простых множителей $3 \cdot 5$.

Исходное выражение:

$$ \frac{3^{-2} \cdot 5^{-3}}{15^{-3}} $$

Применяя свойство степени произведения $(ab)^n = a^n b^n$, получаем:

$$ \frac{3^{-2} \cdot 5^{-3}}{(3 \cdot 5)^{-3}} = \frac{3^{-2} \cdot 5^{-3}}{3^{-3} \cdot 5^{-3}} $$

Сокращаем одинаковые множители $5^{-3}$ в числителе и знаменателе:

$$ \frac{3^{-2}}{3^{-3}} $$

Далее используем свойство деления степеней с одинаковым основанием $\frac{a^m}{a^n} = a^{m-n}$:

$$ 3^{-2 - (-3)} = 3^{-2 + 3} = 3^1 = 3 $$

Ответ: 3

б) Чтобы упростить выражение, разложим основания степеней на простые множители: $6 = 2 \cdot 3$, $27 = 3^3$, $4 = 2^2$.

Исходное выражение:

$$ \frac{6^{-5}}{27^{-2} \cdot 4^{-4}} $$

Подставим разложения в выражение и применим свойства степеней $(ab)^n = a^n b^n$ и $(a^m)^n = a^{mn}$:

$$ \frac{(2 \cdot 3)^{-5}}{(3^3)^{-2} \cdot (2^2)^{-4}} = \frac{2^{-5} \cdot 3^{-5}}{3^{-6} \cdot 2^{-8}} $$

Сгруппируем степени с одинаковыми основаниями и воспользуемся свойством деления степеней $\frac{a^m}{a^n} = a^{m-n}$:

$$ \frac{2^{-5}}{2^{-8}} \cdot \frac{3^{-5}}{3^{-6}} = 2^{-5 - (-8)} \cdot 3^{-5 - (-6)} = 2^{-5+8} \cdot 3^{-5+6} = 2^3 \cdot 3^1 $$

Вычислим итоговый результат:

$$ 8 \cdot 3 = 24 $$

Ответ: 24

в) Разложим все числовые основания в выражении на простые множители: $81 = 3^4$, $6 = 2 \cdot 3$, $21 = 3 \cdot 7$, $14 = 2 \cdot 7$.

Исходное выражение:

$$ \frac{81 \cdot 6^{-4} \cdot 21^{-5}}{14^{-5}} $$

Подставим разложения в выражение:

$$ \frac{3^4 \cdot (2 \cdot 3)^{-4} \cdot (3 \cdot 7)^{-5}}{(2 \cdot 7)^{-5}} $$

Раскроем скобки, используя свойство степени произведения:

$$ \frac{3^4 \cdot 2^{-4} \cdot 3^{-4} \cdot 3^{-5} \cdot 7^{-5}}{2^{-5} \cdot 7^{-5}} $$

Объединим степени с основанием 3 в числителе, используя свойство $a^m \cdot a^n = a^{m+n}$:

$$ \frac{3^{4 + (-4) + (-5)} \cdot 2^{-4} \cdot 7^{-5}}{2^{-5} \cdot 7^{-5}} = \frac{3^{-5} \cdot 2^{-4} \cdot 7^{-5}}{2^{-5} \cdot 7^{-5}} $$

Теперь применим правило деления степеней для каждого основания:

$$ 3^{-5} \cdot \left(\frac{2^{-4}}{2^{-5}}\right) \cdot \left(\frac{7^{-5}}{7^{-5}}\right) = 3^{-5} \cdot 2^{-4 - (-5)} \cdot 7^{-5 - (-5)} = 3^{-5} \cdot 2^1 \cdot 7^0 $$

Поскольку любое число в нулевой степени равно 1 ($7^0 = 1$), а $3^{-5} = \frac{1}{3^5}$, получаем:

$$ \frac{1}{3^5} \cdot 2 \cdot 1 = \frac{2}{243} $$

Полученная дробь $\frac{2}{243}$ является правильной (числитель меньше знаменателя), следовательно, ее целая часть равна 0.

Ответ: 0

Помогло решение? Оставьте отзыв в комментариях ниже.

Присоединяйтесь к Телеграм-группе @gdz_by_belarus

Присоединиться

Мы подготовили для вас ответ c подробным объяснением домашего задания по алгебре за 7 класс, для упражнения номер 1.130 расположенного на странице 29 к учебнику 2022 года издания для учащихся школ и гимназий.

Теперь на нашем сайте ГДЗ.ТОП вы всегда легко и бесплатно найдёте условие с правильным ответом на вопрос «Как решить ДЗ» и «Как сделать» задание по алгебре к упражнению №1.130 (с. 29), авторов: Арефьева (Ирина Глебовна), Пирютко (Ольга Николаевна), учебного пособия издательства Народная асвета.