Номер 1.134, страница 30 - гдз по алгебре 7 класс учебник Арефьева, Пирютко

Алгебра, 7 класс Учебник, авторы: Арефьева Ирина Глебовна, Пирютко Ольга Николаевна, издательство Народная асвета, Минск, 2022, зелёного цвета

Авторы: Арефьева И. Г., Пирютко О. Н.

Тип: Учебник

Издательство: Народная асвета

Год издания: 2022 - 2026

Цвет обложки: зелёный с графиком

ISBN: ISBN 978-985-03-3770-2

Допущено Министерством образования Республики Беларусь

Глава 1. Степень с натуральным и целым показателями. Параграф 2. Степень с целым показателем и ее свойства - номер 1.134, страница 30.

№1.134 (с. 30)
Условие. №1.134 (с. 30)
скриншот условия
Алгебра, 7 класс Учебник, авторы: Арефьева Ирина Глебовна, Пирютко Ольга Николаевна, издательство Народная асвета, Минск, 2022, зелёного цвета, страница 30, номер 1.134, Условие

1.134*. Вычислите:

$\frac{-4 \cdot (-3)^{-17} - (-3)^{-16}}{9^{-9} \cdot 45}$

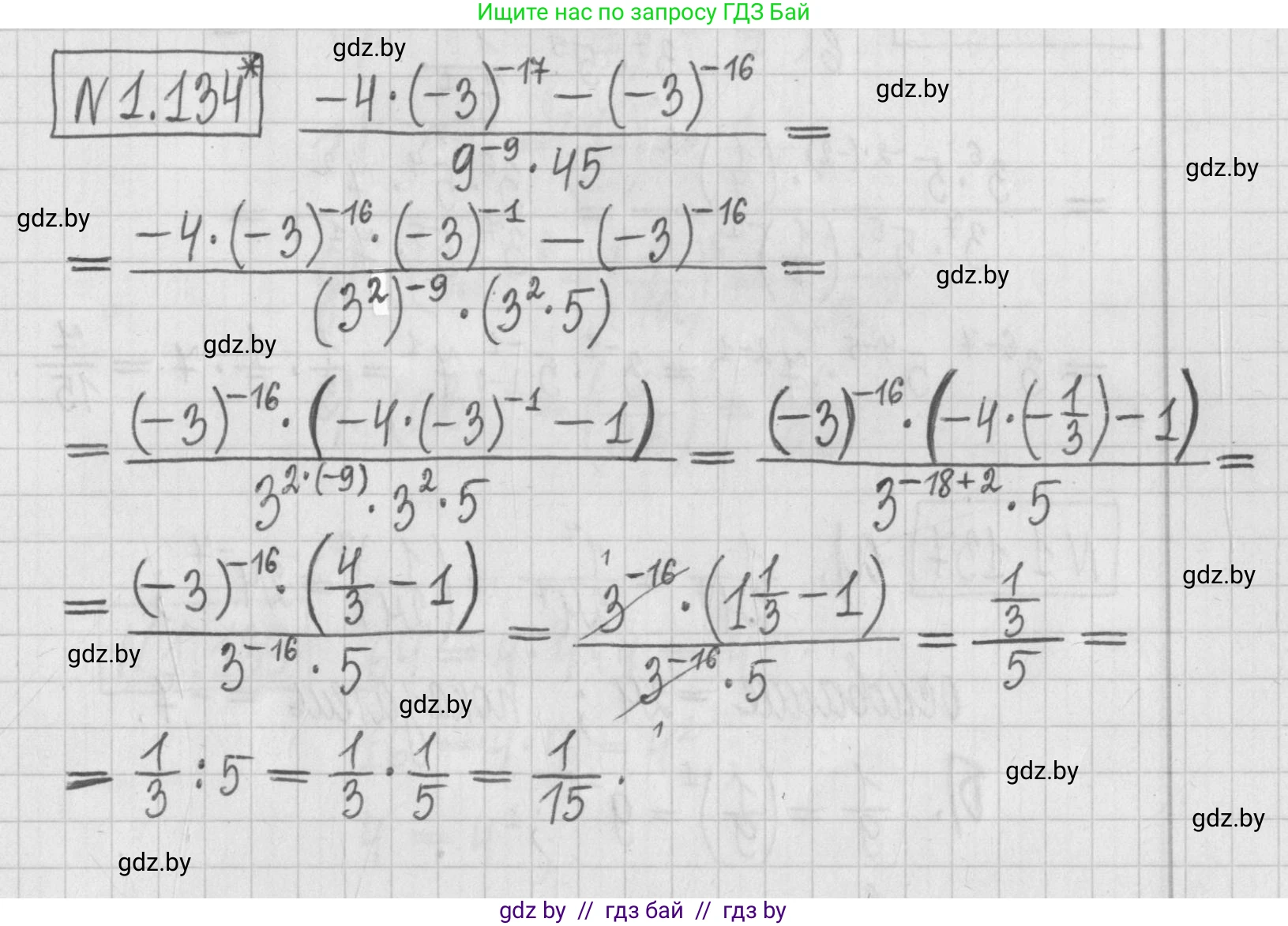
Решение. №1.134 (с. 30)
Алгебра, 7 класс Учебник, авторы: Арефьева Ирина Глебовна, Пирютко Ольга Николаевна, издательство Народная асвета, Минск, 2022, зелёного цвета, страница 30, номер 1.134, Решение
Решение 2. №1.134 (с. 30)

Для того чтобы вычислить значение данного выражения, мы последовательно упростим числитель и знаменатель дроби.

Исходное выражение:

$$ \frac{-4 \cdot (-3)^{-17} - (-3)^{-16}}{9^{-9} \cdot 45} $$

Упрощение числителя:

Рассмотрим числитель: $ -4 \cdot (-3)^{-17} - (-3)^{-16} $. Вынесем за скобки общий множитель с наименьшей степенью, то есть $ (-3)^{-17} $. Для этого представим $ (-3)^{-16} $ как $ (-3)^{-17} \cdot (-3)^1 $:

$$ -4 \cdot (-3)^{-17} - (-3)^{-17} \cdot (-3) = (-3)^{-17} \cdot (-4 - (-3)) $$

Выполним вычисления в скобках:

$$ = (-3)^{-17} \cdot (-4 + 3) = (-3)^{-17} \cdot (-1) = -(-3)^{-17} $$

Поскольку отрицательное число, возведенное в нечетную степень (в данном случае -17), является отрицательным, то $ (-3)^{-17} = -(3^{-17}) $.

Таким образом, числитель равен: $ -(-(3^{-17})) = 3^{-17} $.

Упрощение знаменателя:

Рассмотрим знаменатель: $ 9^{-9} \cdot 45 $. Представим числа 9 и 45 через степени простого числа 3:

$ 9 = 3^2 $

$ 45 = 9 \cdot 5 = 3^2 \cdot 5 $

Подставим эти значения в знаменатель и воспользуемся свойствами степеней $ (a^m)^n = a^{mn} $ и $ a^m \cdot a^n = a^{m+n} $:

$$ 9^{-9} \cdot 45 = (3^2)^{-9} \cdot (3^2 \cdot 5) = 3^{-18} \cdot 3^2 \cdot 5 = 3^{-18+2} \cdot 5 = 3^{-16} \cdot 5 $$

Таким образом, знаменатель равен $ 5 \cdot 3^{-16} $.

Вычисление итогового значения дроби:

Теперь подставим упрощенные числитель и знаменатель обратно в дробь:

$$ \frac{3^{-17}}{5 \cdot 3^{-16}} $$

Используем свойство деления степеней с одинаковым основанием $ \frac{a^m}{a^n} = a^{m-n} $:

$$ \frac{1}{5} \cdot \frac{3^{-17}}{3^{-16}} = \frac{1}{5} \cdot 3^{-17 - (-16)} = \frac{1}{5} \cdot 3^{-17+16} = \frac{1}{5} \cdot 3^{-1} $$

Зная, что отрицательная степень $ a^{-n} = \frac{1}{a^n} $, получаем $ 3^{-1} = \frac{1}{3} $.

Окончательный результат:

$$ \frac{1}{5} \cdot \frac{1}{3} = \frac{1}{15} $$

Ответ: $ \frac{1}{15} $.

Помогло решение? Оставьте отзыв в комментариях ниже.

Присоединяйтесь к Телеграм-группе @gdz_by_belarus

Присоединиться

Мы подготовили для вас ответ c подробным объяснением домашего задания по алгебре за 7 класс, для упражнения номер 1.134 расположенного на странице 30 к учебнику 2022 года издания для учащихся школ и гимназий.

Теперь на нашем сайте ГДЗ.ТОП вы всегда легко и бесплатно найдёте условие с правильным ответом на вопрос «Как решить ДЗ» и «Как сделать» задание по алгебре к упражнению №1.134 (с. 30), авторов: Арефьева (Ирина Глебовна), Пирютко (Ольга Николаевна), учебного пособия издательства Народная асвета.