Номер 1.51, страница 16 - гдз по алгебре 7 класс учебник Арефьева, Пирютко

Алгебра, 7 класс Учебник, авторы: Арефьева Ирина Глебовна, Пирютко Ольга Николаевна, издательство Народная асвета, Минск, 2022, зелёного цвета

Авторы: Арефьева И. Г., Пирютко О. Н.

Тип: Учебник

Издательство: Народная асвета

Год издания: 2022 - 2026

Цвет обложки: зелёный с графиком

ISBN: ISBN 978-985-03-3770-2

Допущено Министерством образования Республики Беларусь

Глава 1. Степень с натуральным и целым показателями. Параграф 1. Степень с натуральным показателем и ее свойства - номер 1.51, страница 16.

№1.51 (с. 16)
Условие. №1.51 (с. 16)
скриншот условия
Алгебра, 7 класс Учебник, авторы: Арефьева Ирина Глебовна, Пирютко Ольга Николаевна, издательство Народная асвета, Минск, 2022, зелёного цвета, страница 16, номер 1.51, Условие

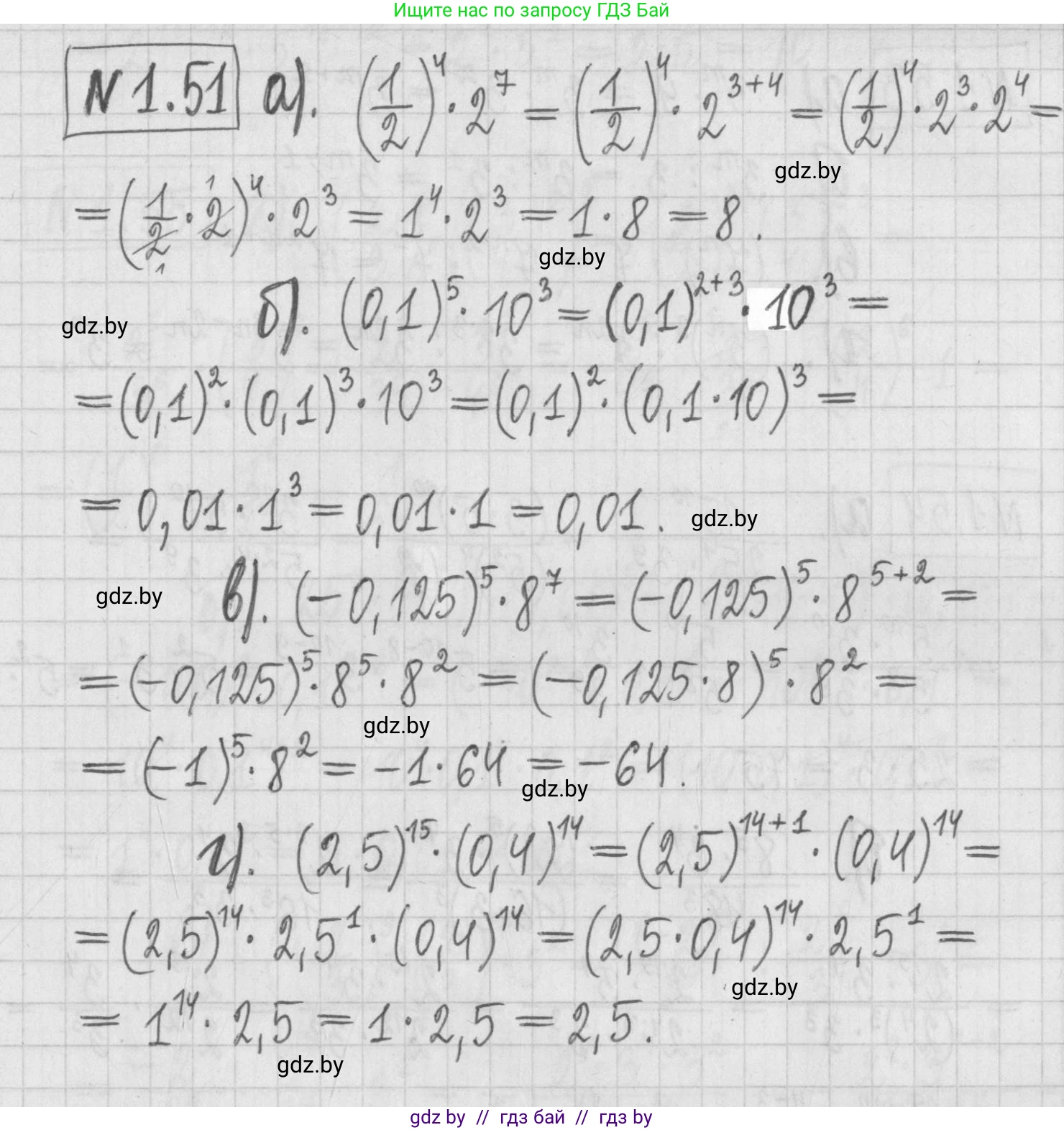
1.51. Найдите значение выражения:

а) $(\frac{1}{2})^4 \cdot 2^7;$

б) $(0,1)^5 \cdot 10^3;$

в) $(-0,125)^5 \cdot 8^7;$

г) $(2,5)^{15} \cdot (0,4)^{14}.$

Решение. №1.51 (с. 16)
Алгебра, 7 класс Учебник, авторы: Арефьева Ирина Глебовна, Пирютко Ольга Николаевна, издательство Народная асвета, Минск, 2022, зелёного цвета, страница 16, номер 1.51, Решение
Решение 2. №1.51 (с. 16)

а) Найдем значение выражения $(\frac{1}{2})^4 \cdot 2^7$.
Для решения этого выражения воспользуемся свойствами степеней.
Сначала раскроем скобки, используя свойство $(\frac{a}{b})^n = \frac{a^n}{b^n}$:
$(\frac{1}{2})^4 = \frac{1^4}{2^4} = \frac{1}{2^4}$.
Теперь выражение выглядит так:
$\frac{1}{2^4} \cdot 2^7 = \frac{2^7}{2^4}$.
При делении степеней с одинаковым основанием их показатели вычитаются ($\frac{a^m}{a^n} = a^{m-n}$):
$\frac{2^7}{2^4} = 2^{7-4} = 2^3$.
Вычисляем результат:
$2^3 = 8$.
Ответ: 8.

б) Найдем значение выражения $(0,1)^5 \cdot 10^3$.
Представим десятичную дробь 0,1 в виде степени числа 10.
$0,1 = \frac{1}{10} = 10^{-1}$.
Подставим это в исходное выражение:
$(10^{-1})^5 \cdot 10^3$.
При возведении степени в степень показатели перемножаются ($(a^m)^n = a^{m \cdot n}$):
$(10^{-1})^5 = 10^{-1 \cdot 5} = 10^{-5}$.
Теперь выражение имеет вид:
$10^{-5} \cdot 10^3$.
При умножении степеней с одинаковым основанием их показатели складываются ($a^m \cdot a^n = a^{m+n}$):
$10^{-5+3} = 10^{-2}$.
Вычисляем результат:
$10^{-2} = \frac{1}{10^2} = \frac{1}{100} = 0,01$.
Ответ: 0,01.

в) Найдем значение выражения $(-0,125)^5 \cdot 8^7$.
Представим десятичную дробь -0,125 в виде обыкновенной дроби.
$-0,125 = -\frac{125}{1000} = -\frac{1}{8}$.
Подставим это значение в выражение:
$(-\frac{1}{8})^5 \cdot 8^7$.
Так как степень нечетная (5), минус можно вынести за скобки:
$-(\frac{1}{8})^5 \cdot 8^7$.
Используя свойство $a^{-n} = \frac{1}{a^n}$, получаем $\frac{1}{8} = 8^{-1}$:
$-(8^{-1})^5 \cdot 8^7$.
Используя свойство $(a^m)^n = a^{m \cdot n}$:
$-8^{-5} \cdot 8^7$.
Используя свойство $a^m \cdot a^n = a^{m+n}$:
$-8^{-5+7} = -8^2$.
Вычисляем результат:
$-8^2 = -64$.
Ответ: -64.

г) Найдем значение выражения $(2,5)^{15} \cdot (0,4)^{14}$.
Для решения этого примера представим один из множителей с большей степенью в виде произведения.
$(2,5)^{15} = (2,5)^{14} \cdot (2,5)^1 = (2,5)^{14} \cdot 2,5$.
Подставим это в исходное выражение:
$(2,5)^{14} \cdot 2,5 \cdot (0,4)^{14}$.
Сгруппируем множители с одинаковыми показателями степени, используя свойство $a^n \cdot b^n = (a \cdot b)^n$:
$(2,5 \cdot 0,4)^{14} \cdot 2,5$.
Вычислим произведение в скобках:
$2,5 \cdot 0,4 = 1$.
Теперь выражение выглядит так:
$1^{14} \cdot 2,5$.
Любая степень единицы равна единице ($1^{14} = 1$):
$1 \cdot 2,5 = 2,5$.
Результат равен $2,5 = \frac{5}{2}$, что является неправильной дробью. Выделим целую часть:
$\frac{5}{2} = 2\frac{1}{2}$.
Ответ: $2\frac{1}{2}$.

Помогло решение? Оставьте отзыв в комментариях ниже.

Присоединяйтесь к Телеграм-группе @gdz_by_belarus

Присоединиться

Мы подготовили для вас ответ c подробным объяснением домашего задания по алгебре за 7 класс, для упражнения номер 1.51 расположенного на странице 16 к учебнику 2022 года издания для учащихся школ и гимназий.

Теперь на нашем сайте ГДЗ.ТОП вы всегда легко и бесплатно найдёте условие с правильным ответом на вопрос «Как решить ДЗ» и «Как сделать» задание по алгебре к упражнению №1.51 (с. 16), авторов: Арефьева (Ирина Глебовна), Пирютко (Ольга Николаевна), учебного пособия издательства Народная асвета.