Номер 1.54, страница 17 - гдз по алгебре 7 класс учебник Арефьева, Пирютко

Алгебра, 7 класс Учебник, авторы: Арефьева Ирина Глебовна, Пирютко Ольга Николаевна, издательство Народная асвета, Минск, 2022, зелёного цвета

Авторы: Арефьева И. Г., Пирютко О. Н.

Тип: Учебник

Издательство: Народная асвета

Год издания: 2022 - 2026

Цвет обложки: зелёный с графиком

ISBN: ISBN 978-985-03-3770-2

Допущено Министерством образования Республики Беларусь

Глава 1. Степень с натуральным и целым показателями. Параграф 1. Степень с натуральным показателем и ее свойства - номер 1.54, страница 17.

№1.54 (с. 17)
Условие. №1.54 (с. 17)
скриншот условия
Алгебра, 7 класс Учебник, авторы: Арефьева Ирина Глебовна, Пирютко Ольга Николаевна, издательство Народная асвета, Минск, 2022, зелёного цвета, страница 17, номер 1.54, Условие

1.54. Найдите значение выражения:

а) $\frac{15^{10}}{25^4 \cdot 3^9}$;

б) $\frac{8^5 \cdot 3^4}{48^3}$;

в) $\frac{100^2 \cdot 1000^3}{4^6 \cdot 125^4}$.

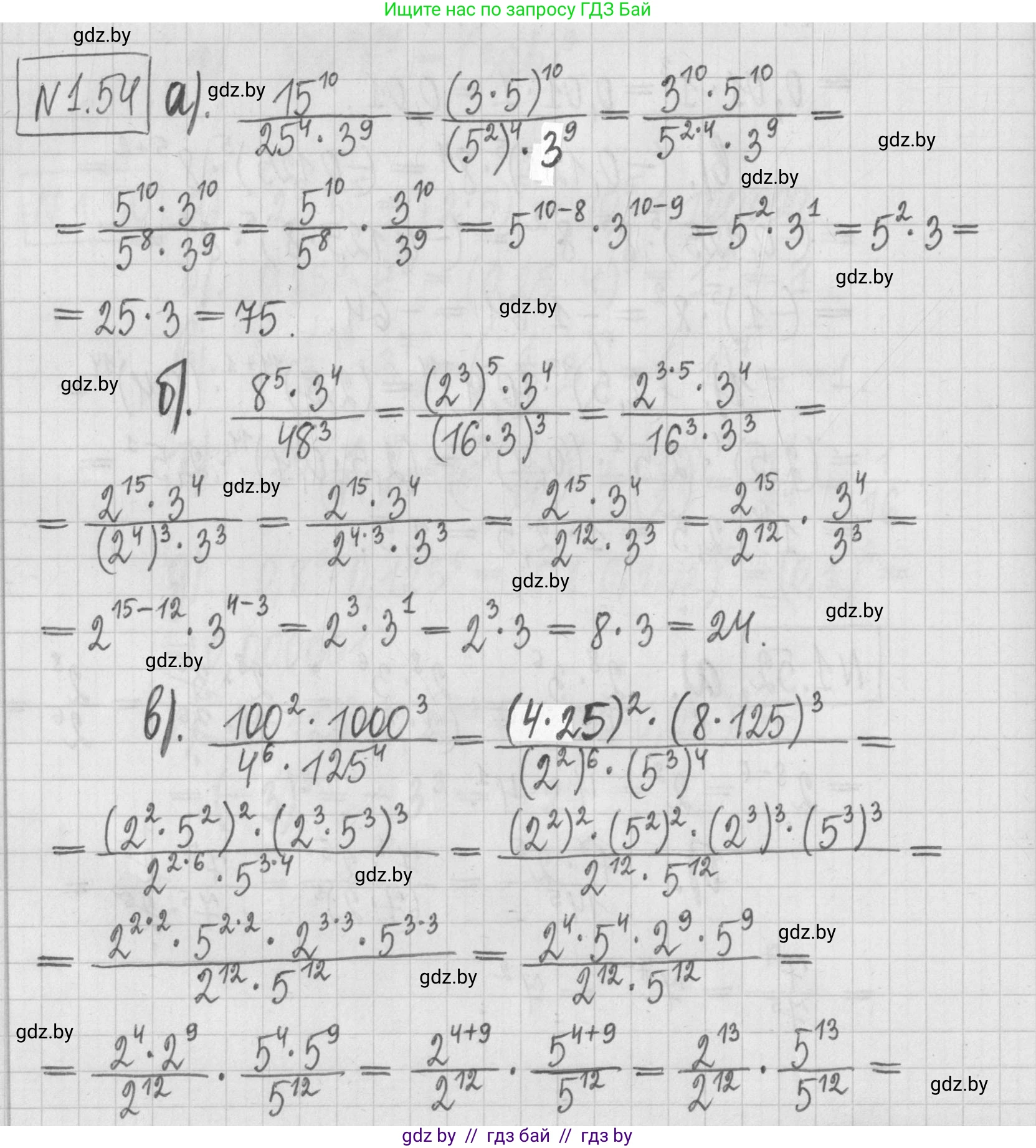
Решение. №1.54 (с. 17)
Алгебра, 7 класс Учебник, авторы: Арефьева Ирина Глебовна, Пирютко Ольга Николаевна, издательство Народная асвета, Минск, 2022, зелёного цвета, страница 17, номер 1.54, Решение Алгебра, 7 класс Учебник, авторы: Арефьева Ирина Глебовна, Пирютко Ольга Николаевна, издательство Народная асвета, Минск, 2022, зелёного цвета, страница 17, номер 1.54, Решение (продолжение 2)
Решение 2. №1.54 (с. 17)

1.54. Найдите значение выражения:

а) Для решения данного выражения, разложим числа на простые множители и воспользуемся свойствами степеней.

Исходное выражение: $ \frac{15^{10}}{25^4 \cdot 3^9} $

Разложим основания степеней на простые множители:

  • $ 15 = 3 \cdot 5 $
  • $ 25 = 5^2 $

Подставим эти разложения в исходное выражение:

$ \frac{(3 \cdot 5)^{10}}{(5^2)^4 \cdot 3^9} $

Применим свойство степени произведения $ (a \cdot b)^n = a^n \cdot b^n $ и свойство степени степени $ (a^m)^n = a^{m \cdot n} $:

$ \frac{3^{10} \cdot 5^{10}}{5^{2 \cdot 4} \cdot 3^9} = \frac{3^{10} \cdot 5^{10}}{5^8 \cdot 3^9} $

Сгруппируем степени с одинаковыми основаниями и применим свойство деления степеней $ \frac{a^m}{a^n} = a^{m-n} $:

$ \frac{3^{10}}{3^9} \cdot \frac{5^{10}}{5^8} = 3^{10-9} \cdot 5^{10-8} = 3^1 \cdot 5^2 $

Вычислим результат:

$ 3 \cdot 25 = 75 $

Ответ: 75

б) Разложим числа в выражении на простые множители, чтобы упростить его.

Исходное выражение: $ \frac{8^5 \cdot 3^4}{48^3} $

Разложим основания степеней на простые множители:

  • $ 8 = 2^3 $
  • $ 48 = 16 \cdot 3 = 2^4 \cdot 3 $

Подставим разложения в выражение:

$ \frac{(2^3)^5 \cdot 3^4}{(2^4 \cdot 3)^3} $

Применим свойства степеней:

$ \frac{2^{3 \cdot 5} \cdot 3^4}{(2^4)^3 \cdot 3^3} = \frac{2^{15} \cdot 3^4}{2^{12} \cdot 3^3} $

Сгруппируем и сократим степени с одинаковыми основаниями:

$ \frac{2^{15}}{2^{12}} \cdot \frac{3^4}{3^3} = 2^{15-12} \cdot 3^{4-3} = 2^3 \cdot 3^1 $

Вычислим конечный результат:

$ 8 \cdot 3 = 24 $

Ответ: 24

в) Для нахождения значения выражения представим все основания степеней в виде произведения простых множителей.

Исходное выражение: $ \frac{100^2 \cdot 1000^3}{4^6 \cdot 125^4} $

Разложим основания на простые множители (2 и 5):

  • $ 100 = 10^2 = (2 \cdot 5)^2 = 2^2 \cdot 5^2 $
  • $ 1000 = 10^3 = (2 \cdot 5)^3 = 2^3 \cdot 5^3 $
  • $ 4 = 2^2 $
  • $ 125 = 5^3 $

Подставим эти разложения в исходную дробь:

$ \frac{(2^2 \cdot 5^2)^2 \cdot (2^3 \cdot 5^3)^3}{(2^2)^6 \cdot (5^3)^4} $

Раскроем скобки, используя свойства степеней:

Числитель: $ (2^{2 \cdot 2} \cdot 5^{2 \cdot 2}) \cdot (2^{3 \cdot 3} \cdot 5^{3 \cdot 3}) = (2^4 \cdot 5^4) \cdot (2^9 \cdot 5^9) = 2^{4+9} \cdot 5^{4+9} = 2^{13} \cdot 5^{13} $

Знаменатель: $ 2^{2 \cdot 6} \cdot 5^{3 \cdot 4} = 2^{12} \cdot 5^{12} $

Получаем выражение:

$ \frac{2^{13} \cdot 5^{13}}{2^{12} \cdot 5^{12}} $

Сокращаем дроби:

$ 2^{13-12} \cdot 5^{13-12} = 2^1 \cdot 5^1 $

Вычисляем результат:

$ 2 \cdot 5 = 10 $

Ответ: 10

Помогло решение? Оставьте отзыв в комментариях ниже.

Присоединяйтесь к Телеграм-группе @gdz_by_belarus

Присоединиться

Мы подготовили для вас ответ c подробным объяснением домашего задания по алгебре за 7 класс, для упражнения номер 1.54 расположенного на странице 17 к учебнику 2022 года издания для учащихся школ и гимназий.

Теперь на нашем сайте ГДЗ.ТОП вы всегда легко и бесплатно найдёте условие с правильным ответом на вопрос «Как решить ДЗ» и «Как сделать» задание по алгебре к упражнению №1.54 (с. 17), авторов: Арефьева (Ирина Глебовна), Пирютко (Ольга Николаевна), учебного пособия издательства Народная асвета.