Номер 2.120, страница 75 - гдз по алгебре 7 класс учебник Арефьева, Пирютко

Алгебра, 7 класс Учебник, авторы: Арефьева Ирина Глебовна, Пирютко Ольга Николаевна, издательство Народная асвета, Минск, 2022, зелёного цвета

Авторы: Арефьева И. Г., Пирютко О. Н.

Тип: Учебник

Издательство: Народная асвета

Год издания: 2022 - 2026

Цвет обложки: зелёный с графиком

ISBN: ISBN 978-985-03-3770-2

Допущено Министерством образования Республики Беларусь

Глава 2. Выражения и их преобразования. Параграф 7. Действия с одночленами - номер 2.120, страница 75.

№2.120 (с. 75)
Условие. №2.120 (с. 75)
скриншот условия
Алгебра, 7 класс Учебник, авторы: Арефьева Ирина Глебовна, Пирютко Ольга Николаевна, издательство Народная асвета, Минск, 2022, зелёного цвета, страница 75, номер 2.120, Условие

2.120. Представьте в виде одночленов стандартного вида выражения $7m^4 \cdot (-mn^2)^3$ и $(-3m^3 n^5)^4 : (\frac{1}{2}m^5 n^{14})$.

Выполните сложение полученных одночленов.

Решение. №2.120 (с. 75)
Алгебра, 7 класс Учебник, авторы: Арефьева Ирина Глебовна, Пирютко Ольга Николаевна, издательство Народная асвета, Минск, 2022, зелёного цвета, страница 75, номер 2.120, Решение Алгебра, 7 класс Учебник, авторы: Арефьева Ирина Глебовна, Пирютко Ольга Николаевна, издательство Народная асвета, Минск, 2022, зелёного цвета, страница 75, номер 2.120, Решение (продолжение 2)
Решение 2. №2.120 (с. 75)

Представьте в виде одночленов стандартного вида выражения $7m^4 \cdot (-mn^2)^3$ и $(-3m^3n^5)^4 : (\frac{1}{2}m^5 n^{14})$.

Для выполнения этого задания необходимо упростить каждое из двух выражений, приведя их к стандартному виду одночлена (числовой коэффициент, умноженный на переменные в степенях).

1. Упрощение первого выражения $7m^4 \cdot (-mn^2)^3$:

  • Сначала возводим в степень выражение в скобках, используя свойства степеней $(abc)^n = a^n b^n c^n$ и $(a^m)^n = a^{mn}$:
    $(-mn^2)^3 = (-1)^3 \cdot m^3 \cdot (n^2)^3 = -1 \cdot m^3 \cdot n^{2 \cdot 3} = -m^3n^6$
  • Теперь умножаем результат на $7m^4$, используя правило умножения степеней с одинаковым основанием $a^m \cdot a^n = a^{m+n}$:
    $7m^4 \cdot (-m^3n^6) = (7 \cdot -1) \cdot (m^4 \cdot m^3) \cdot n^6 = -7m^{4+3}n^6 = -7m^7n^6$

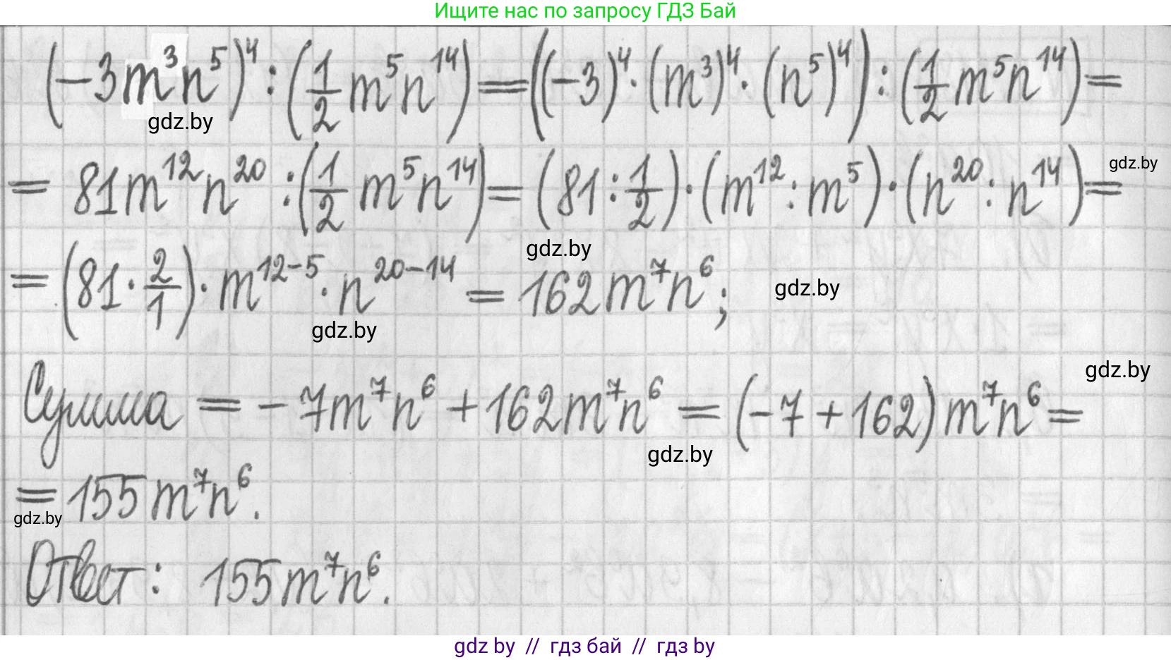
2. Упрощение второго выражения $(-3m^3n^5)^4 : (\frac{1}{2}m^5 n^{14})$:

  • Сначала возводим в степень делимое:
    $(-3m^3n^5)^4 = (-3)^4 \cdot (m^3)^4 \cdot (n^5)^4 = 81 \cdot m^{3 \cdot 4} \cdot n^{5 \cdot 4} = 81m^{12}n^{20}$
  • Теперь выполняем деление. Деление на дробь $\frac{1}{2}$ эквивалентно умножению на 2. При делении степеней с одинаковым основанием их показатели вычитаются $a^m : a^n = a^{m-n}$:
    $81m^{12}n^{20} : (\frac{1}{2}m^5 n^{14}) = (81 : \frac{1}{2}) \cdot (m^{12} : m^5) \cdot (n^{20} : n^{14}) = (81 \cdot 2) \cdot m^{12-5} \cdot n^{20-14} = 162m^7n^6$

Ответ: $-7m^7n^6$ и $162m^7n^6$.

Выполните сложение полученных одночленов.

Теперь необходимо сложить два одночлена, которые мы получили на предыдущем шаге: $-7m^7n^6$ и $162m^7n^6$.

Поскольку оба одночлена имеют одинаковую буквенную часть ($m^7n^6$), они являются подобными. Для их сложения нужно сложить их коэффициенты, а буквенную часть оставить без изменений.

$-7m^7n^6 + 162m^7n^6 = (-7 + 162)m^7n^6 = 155m^7n^6$

Ответ: $155m^7n^6$.

Помогло решение? Оставьте отзыв в комментариях ниже.

Присоединяйтесь к Телеграм-группе @gdz_by_belarus

Присоединиться

Мы подготовили для вас ответ c подробным объяснением домашего задания по алгебре за 7 класс, для упражнения номер 2.120 расположенного на странице 75 к учебнику 2022 года издания для учащихся школ и гимназий.

Теперь на нашем сайте ГДЗ.ТОП вы всегда легко и бесплатно найдёте условие с правильным ответом на вопрос «Как решить ДЗ» и «Как сделать» задание по алгебре к упражнению №2.120 (с. 75), авторов: Арефьева (Ирина Глебовна), Пирютко (Ольга Николаевна), учебного пособия издательства Народная асвета.