Номер 2.158, страница 83 - гдз по алгебре 7 класс учебник Арефьева, Пирютко

Алгебра, 7 класс Учебник, авторы: Арефьева Ирина Глебовна, Пирютко Ольга Николаевна, издательство Народная асвета, Минск, 2022, зелёного цвета

Авторы: Арефьева И. Г., Пирютко О. Н.

Тип: Учебник

Издательство: Народная асвета

Год издания: 2022 - 2026

Цвет обложки: зелёный с графиком

ISBN: ISBN 978-985-03-3770-2

Допущено Министерством образования Республики Беларусь

Глава 2. Выражения и их преобразования. Параграф 8. Многочлен - номер 2.158, страница 83.

№2.158 (с. 83)
Условие. №2.158 (с. 83)
скриншот условия
Алгебра, 7 класс Учебник, авторы: Арефьева Ирина Глебовна, Пирютко Ольга Николаевна, издательство Народная асвета, Минск, 2022, зелёного цвета, страница 83, номер 2.158, Условие

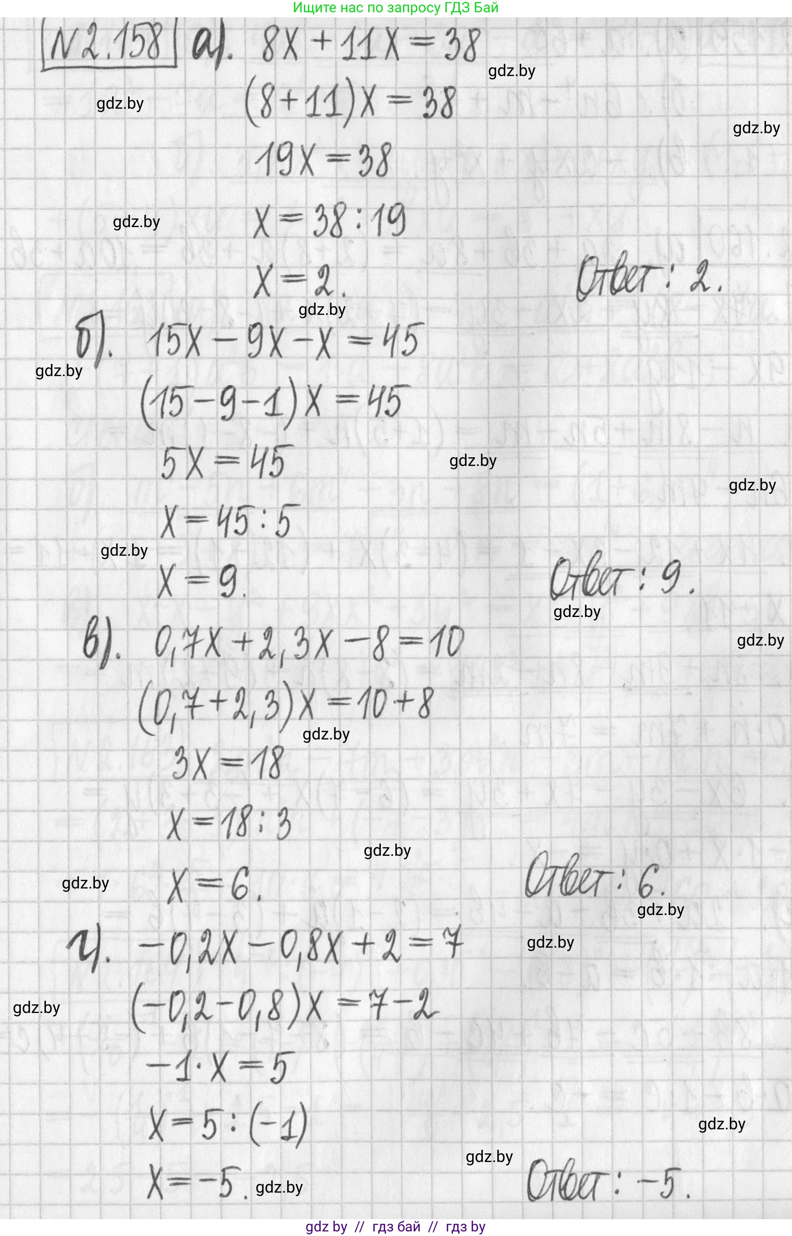
2.158. Решите уравнение, выполнив тождественные преобразования в его левой части:

а) $8x + 11x = 38;$

б) $15x - 9x - x = 45;$

в) $0,7x + 2,3x - 8 = 10;$

г) $-0,2x - 0,8x + 2 = 7.$

Решение. №2.158 (с. 83)
Алгебра, 7 класс Учебник, авторы: Арефьева Ирина Глебовна, Пирютко Ольга Николаевна, издательство Народная асвета, Минск, 2022, зелёного цвета, страница 83, номер 2.158, Решение
Решение 2. №2.158 (с. 83)
а) $8x + 11x = 38$

Для решения данного уравнения необходимо сначала упростить его левую часть. В левой части находятся подобные слагаемые $8x$ и $11x$. Выполним их сложение:

$(8 + 11)x = 38$

$19x = 38$

Теперь мы имеем простое линейное уравнение. Чтобы найти неизвестное $x$, нужно разделить обе части уравнения на коэффициент при $x$, то есть на 19:

$x = \frac{38}{19}$

$x = 2$

Ответ: 2.

б) $15x - 9x - x = 45$

Сначала выполним тождественные преобразования в левой части уравнения. Приведем подобные слагаемые $15x$, $-9x$ и $-x$. Учтем, что $-x$ эквивалентно $-1x$:

$(15 - 9 - 1)x = 45$

$5x = 45$

Теперь, чтобы найти $x$, разделим обе части уравнения на 5:

$x = \frac{45}{5}$

$x = 9$

Ответ: 9.

в) $0,7x + 2,3x - 8 = 10$

В левой части уравнения приведем подобные слагаемые, содержащие переменную $x$:

$(0,7 + 2,3)x - 8 = 10$

$3x - 8 = 10$

Далее, перенесем свободный член (-8) из левой части уравнения в правую, изменив его знак на противоположный (сложение):

$3x = 10 + 8$

$3x = 18$

Чтобы найти $x$, разделим обе части уравнения на 3:

$x = \frac{18}{3}$

$x = 6$

Ответ: 6.

г) $-0,2x - 0,8x + 2 = 7$

Упростим левую часть, приведя подобные слагаемые с переменной $x$:

$(-0,2 - 0,8)x + 2 = 7$

$-1x + 2 = 7$

$-x + 2 = 7$

Теперь перенесем число 2 из левой части в правую с противоположным знаком (вычитание):

$-x = 7 - 2$

$-x = 5$

Чтобы найти значение $x$, умножим обе части уравнения на -1:

$x = -5$

Ответ: -5.

Помогло решение? Оставьте отзыв в комментариях ниже.

Присоединяйтесь к Телеграм-группе @gdz_by_belarus

Присоединиться

Мы подготовили для вас ответ c подробным объяснением домашего задания по алгебре за 7 класс, для упражнения номер 2.158 расположенного на странице 83 к учебнику 2022 года издания для учащихся школ и гимназий.

Теперь на нашем сайте ГДЗ.ТОП вы всегда легко и бесплатно найдёте условие с правильным ответом на вопрос «Как решить ДЗ» и «Как сделать» задание по алгебре к упражнению №2.158 (с. 83), авторов: Арефьева (Ирина Глебовна), Пирютко (Ольга Николаевна), учебного пособия издательства Народная асвета.