Номер 2.162, страница 84 - гдз по алгебре 7 класс учебник Арефьева, Пирютко

Алгебра, 7 класс Учебник, авторы: Арефьева Ирина Глебовна, Пирютко Ольга Николаевна, издательство Народная асвета, Минск, 2022, зелёного цвета

Авторы: Арефьева И. Г., Пирютко О. Н.

Тип: Учебник

Издательство: Народная асвета

Год издания: 2022 - 2026

Цвет обложки: зелёный с графиком

ISBN: ISBN 978-985-03-3770-2

Допущено Министерством образования Республики Беларусь

Глава 2. Выражения и их преобразования. Параграф 8. Многочлен - номер 2.162, страница 84.

№2.162 (с. 84)
Условие. №2.162 (с. 84)
скриншот условия
Алгебра, 7 класс Учебник, авторы: Арефьева Ирина Глебовна, Пирютко Ольга Николаевна, издательство Народная асвета, Минск, 2022, зелёного цвета, страница 84, номер 2.162, Условие

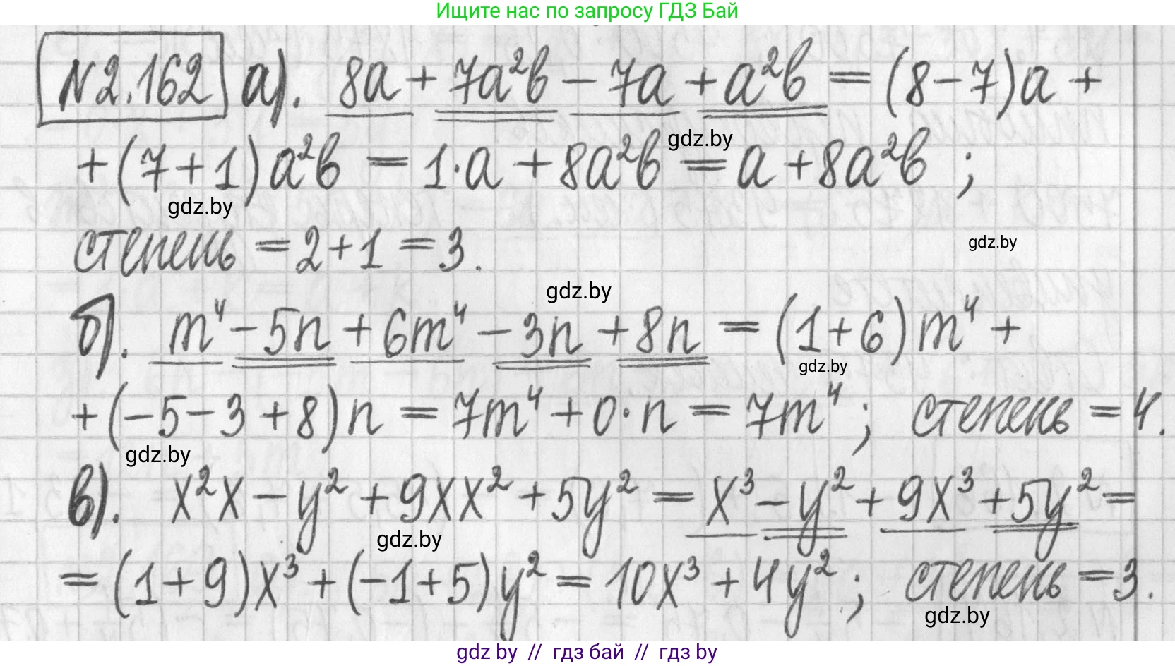
2.162. Приведите многочлен к стандартному виду

и определите его степень:

a) $8a + 7a^2b - 7a + a^2b;$

б) $m^4 - 5n + 6m^4 - 3n + 8n;$

в) $x^2x - y^2 + 9xx^2 + 5y^2.$

Решение. №2.162 (с. 84)
Алгебра, 7 класс Учебник, авторы: Арефьева Ирина Глебовна, Пирютко Ольга Николаевна, издательство Народная асвета, Минск, 2022, зелёного цвета, страница 84, номер 2.162, Решение
Решение 2. №2.162 (с. 84)

а) $8a + 7a^2b - 7a + a^2b$

Для приведения многочлена к стандартному виду необходимо найти и сложить подобные члены. Подобными являются члены с одинаковой буквенной частью.
Сгруппируем подобные члены: $(7a^2b + a^2b) + (8a - 7a)$.
Выполним действия в группах:
$7a^2b + a^2b = (7+1)a^2b = 8a^2b$
$8a - 7a = (8-7)a = a$
Получаем многочлен в стандартном виде: $8a^2b + a$.
Степень многочлена — это наибольшая из степеней его членов. Степень члена $8a^2b$ равна сумме степеней переменных $2+1=3$. Степень члена $a$ равна $1$. Наибольшая степень равна 3.

Ответ: стандартный вид $8a^2b + a$, степень многочлена 3.

б) $m^4 - 5n + 6m^4 - 3n + 8n$

Сгруппируем и сложим подобные члены:
$(m^4 + 6m^4) + (-5n - 3n + 8n)$.
Выполним действия в группах:
$m^4 + 6m^4 = (1+6)m^4 = 7m^4$
$-5n - 3n + 8n = (-5-3+8)n = 0n = 0$
Получаем многочлен в стандартном виде: $7m^4$.
Многочлен состоит из одного члена, его степень равна показателю степени переменной, то есть 4.

Ответ: стандартный вид $7m^4$, степень многочлена 4.

в) $x^2x - y^2 + 9xx^2 + 5y^2$

Сначала приведем к стандартному виду каждый член многочлена:
$x^2x = x^{2+1} = x^3$
$9xx^2 = 9x^{1+2} = 9x^3$
Теперь многочлен выглядит так: $x^3 - y^2 + 9x^3 + 5y^2$.
Сгруппируем и сложим подобные члены:
$(x^3 + 9x^3) + (-y^2 + 5y^2) = (1+9)x^3 + (-1+5)y^2 = 10x^3 + 4y^2$.
Получаем многочлен в стандартном виде: $10x^3 + 4y^2$.
Степень члена $10x^3$ равна 3. Степень члена $4y^2$ равна 2. Наибольшая из степеней равна 3, это и есть степень многочлена.

Ответ: стандартный вид $10x^3 + 4y^2$, степень многочлена 3.

Помогло решение? Оставьте отзыв в комментариях ниже.

Присоединяйтесь к Телеграм-группе @gdz_by_belarus

Присоединиться

Мы подготовили для вас ответ c подробным объяснением домашего задания по алгебре за 7 класс, для упражнения номер 2.162 расположенного на странице 84 к учебнику 2022 года издания для учащихся школ и гимназий.

Теперь на нашем сайте ГДЗ.ТОП вы всегда легко и бесплатно найдёте условие с правильным ответом на вопрос «Как решить ДЗ» и «Как сделать» задание по алгебре к упражнению №2.162 (с. 84), авторов: Арефьева (Ирина Глебовна), Пирютко (Ольга Николаевна), учебного пособия издательства Народная асвета.