Номер 2.183, страница 90 - гдз по алгебре 7 класс учебник Арефьева, Пирютко

Алгебра, 7 класс Учебник, авторы: Арефьева Ирина Глебовна, Пирютко Ольга Николаевна, издательство Народная асвета, Минск, 2022, зелёного цвета

Авторы: Арефьева И. Г., Пирютко О. Н.

Тип: Учебник

Издательство: Народная асвета

Год издания: 2022 - 2026

Цвет обложки: зелёный с графиком

ISBN: ISBN 978-985-03-3770-2

Допущено Министерством образования Республики Беларусь

Глава 2. Выражения и их преобразования. Параграф 9. Сложение и вычитание многочленов - номер 2.183, страница 90.

№2.183 (с. 90)
Условие. №2.183 (с. 90)
скриншот условия
Алгебра, 7 класс Учебник, авторы: Арефьева Ирина Глебовна, Пирютко Ольга Николаевна, издательство Народная асвета, Минск, 2022, зелёного цвета, страница 90, номер 2.183, Условие

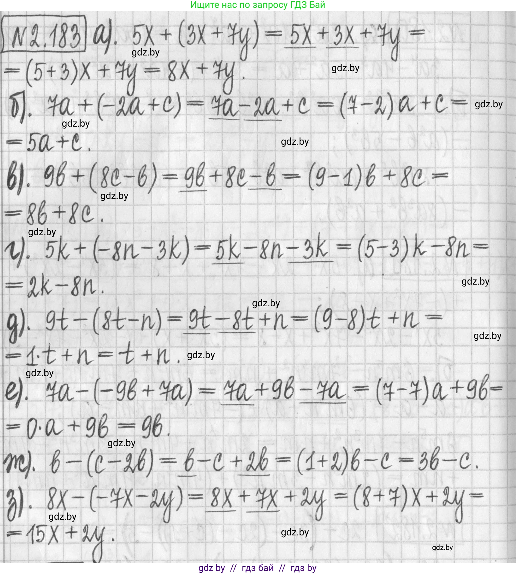
2.183. Упростите выражение:

а) $5x + (3x + 7y)$;

б) $7a + (-2a + c)$;

в) $9b + (8c - b)$;

г) $5k + (-8n - 3k)$;

д) $9t - (8t - n)$;

е) $7a - (-9b + 7a)$;

ж) $b - (c - 2b)$;

з) $8x - (-7x - 2y).$

Решение. №2.183 (с. 90)
Алгебра, 7 класс Учебник, авторы: Арефьева Ирина Глебовна, Пирютко Ольга Николаевна, издательство Народная асвета, Минск, 2022, зелёного цвета, страница 90, номер 2.183, Решение
Решение 2. №2.183 (с. 90)

Для упрощения алгебраических выражений необходимо выполнить два основных шага: раскрыть скобки и привести подобные слагаемые.

Правило раскрытия скобок:

  • Если перед скобками стоит знак "+", то знаки слагаемых в скобках не меняются.
  • Если перед скобками стоит знак "-", то знаки всех слагаемых в скобках меняются на противоположные.

а) $5x + (3x + 7y)$

Раскрываем скобки (знак "+" перед ними):

$5x + (3x + 7y) = 5x + 3x + 7y$

Приводим подобные слагаемые с переменной $x$:

$(5 + 3)x + 7y = 8x + 7y$

Ответ: $8x + 7y$

б) $7a + (-2a + c)$

Раскрываем скобки (знак "+"):

$7a + (-2a + c) = 7a - 2a + c$

Приводим подобные слагаемые с переменной $a$:

$(7 - 2)a + c = 5a + c$

Ответ: $5a + c$

в) $9b + (8c - b)$

Раскрываем скобки (знак "+"):

$9b + (8c - b) = 9b + 8c - b$

Приводим подобные слагаемые с переменной $b$:

$(9 - 1)b + 8c = 8b + 8c$

Ответ: $8b + 8c$

г) $5k + (-8n - 3k)$

Раскрываем скобки (знак "+"):

$5k + (-8n - 3k) = 5k - 8n - 3k$

Приводим подобные слагаемые с переменной $k$:

$(5 - 3)k - 8n = 2k - 8n$

Ответ: $2k - 8n$

д) $9t - (8t - n)$

Раскрываем скобки, меняя знаки внутри, так как перед скобками стоит знак "-":

$9t - (8t - n) = 9t - 8t + n$

Приводим подобные слагаемые с переменной $t$:

$(9 - 8)t + n = 1t + n = t + n$

Ответ: $t + n$

е) $7a - (-9b + 7a)$

Раскрываем скобки (знак "-"):

$7a - (-9b + 7a) = 7a + 9b - 7a$

Приводим подобные слагаемые с переменной $a$:

$(7 - 7)a + 9b = 0 \cdot a + 9b = 9b$

Ответ: $9b$

ж) $b - (c - 2b)$

Раскрываем скобки (знак "-"):

$b - (c - 2b) = b - c + 2b$

Приводим подобные слагаемые с переменной $b$:

$(1 + 2)b - c = 3b - c$

Ответ: $3b - c$

з) $8x - (-7x - 2y)$

Раскрываем скобки (знак "-"):

$8x - (-7x - 2y) = 8x + 7x + 2y$

Приводим подобные слагаемые с переменной $x$:

$(8 + 7)x + 2y = 15x + 2y$

Ответ: $15x + 2y$

Помогло решение? Оставьте отзыв в комментариях ниже.

Присоединяйтесь к Телеграм-группе @gdz_by_belarus

Присоединиться

Мы подготовили для вас ответ c подробным объяснением домашего задания по алгебре за 7 класс, для упражнения номер 2.183 расположенного на странице 90 к учебнику 2022 года издания для учащихся школ и гимназий.

Теперь на нашем сайте ГДЗ.ТОП вы всегда легко и бесплатно найдёте условие с правильным ответом на вопрос «Как решить ДЗ» и «Как сделать» задание по алгебре к упражнению №2.183 (с. 90), авторов: Арефьева (Ирина Глебовна), Пирютко (Ольга Николаевна), учебного пособия издательства Народная асвета.