Номер 2.178, страница 89 - гдз по алгебре 7 класс учебник Арефьева, Пирютко

Алгебра, 7 класс Учебник, авторы: Арефьева Ирина Глебовна, Пирютко Ольга Николаевна, издательство Народная асвета, Минск, 2022, зелёного цвета

Авторы: Арефьева И. Г., Пирютко О. Н.

Тип: Учебник

Издательство: Народная асвета

Год издания: 2022 - 2026

Цвет обложки: зелёный с графиком

ISBN: ISBN 978-985-03-3770-2

Допущено Министерством образования Республики Беларусь

Глава 2. Выражения и их преобразования. Параграф 9. Сложение и вычитание многочленов - номер 2.178, страница 89.

№2.178 (с. 89)
Условие. №2.178 (с. 89)
скриншот условия
Алгебра, 7 класс Учебник, авторы: Арефьева Ирина Глебовна, Пирютко Ольга Николаевна, издательство Народная асвета, Минск, 2022, зелёного цвета, страница 89, номер 2.178, Условие

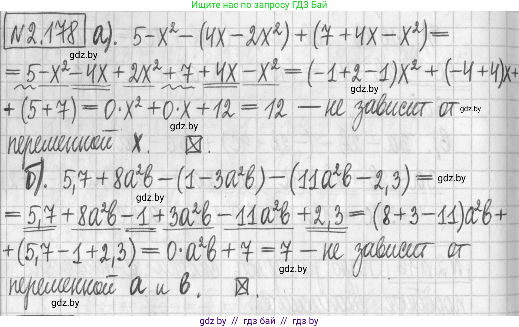
2.178. Докажите, что значение выражения не зависит от значения переменной:

a) $5 - x^2 - (4x - 2x^2) + (7 + 4x - x^2)$;

б) $5,7 + 8a^2b - (1 - 3a^2b) - (11a^2b - 2,3)$.

Решение. №2.178 (с. 89)
Алгебра, 7 класс Учебник, авторы: Арефьева Ирина Глебовна, Пирютко Ольга Николаевна, издательство Народная асвета, Минск, 2022, зелёного цвета, страница 89, номер 2.178, Решение
Решение 2. №2.178 (с. 89)

Чтобы доказать, что значение выражения не зависит от значения переменной, необходимо упростить выражение. Если в результате упрощения все переменные сократятся и останется только число, то утверждение будет доказано.

а) Упростим выражение $5 - x^2 - (4x - 2x^2) + (7 + 4x - x^2)$.

1. Раскроем скобки. Так как перед первой скобкой стоит знак минус, знаки всех слагаемых внутри нее меняются на противоположные. Перед второй скобкой стоит знак плюс, поэтому знаки слагаемых остаются прежними.

$5 - x^2 - 4x + 2x^2 + 7 + 4x - x^2$

2. Сгруппируем и приведем подобные слагаемые (члены с $x^2$, члены с $x$ и свободные члены).

$(-x^2 + 2x^2 - x^2) + (-4x + 4x) + (5 + 7)$

3. Выполним вычисления в каждой группе.

$(-1 + 2 - 1)x^2 + (-4 + 4)x + 12 = 0 \cdot x^2 + 0 \cdot x + 12 = 0 + 0 + 12 = 12$

В результате упрощения мы получили число 12. Это доказывает, что значение исходного выражения не зависит от значения переменной $x$.

Ответ: 12

б) Упростим выражение $5,7 + 8a^2b - (1 - 3a^2b) - (11a^2b - 2,3)$.

1. Раскроем скобки. Перед обеими скобками стоит знак минус, поэтому знаки всех слагаемых внутри них меняются на противоположные.

$5,7 + 8a^2b - 1 + 3a^2b - 11a^2b + 2,3$

2. Сгруппируем и приведем подобные слагаемые (члены с $a^2b$ и свободные члены).

$(8a^2b + 3a^2b - 11a^2b) + (5,7 - 1 + 2,3)$

3. Выполним вычисления в каждой группе.

$(8 + 3 - 11)a^2b + (4,7 + 2,3) = 0 \cdot a^2b + 7 = 0 + 7 = 7$

В результате упрощения мы получили число 7. Это доказывает, что значение исходного выражения не зависит от значений переменных $a$ и $b$.

Ответ: 7

Помогло решение? Оставьте отзыв в комментариях ниже.

Присоединяйтесь к Телеграм-группе @gdz_by_belarus

Присоединиться

Мы подготовили для вас ответ c подробным объяснением домашего задания по алгебре за 7 класс, для упражнения номер 2.178 расположенного на странице 89 к учебнику 2022 года издания для учащихся школ и гимназий.

Теперь на нашем сайте ГДЗ.ТОП вы всегда легко и бесплатно найдёте условие с правильным ответом на вопрос «Как решить ДЗ» и «Как сделать» задание по алгебре к упражнению №2.178 (с. 89), авторов: Арефьева (Ирина Глебовна), Пирютко (Ольга Николаевна), учебного пособия издательства Народная асвета.