Номер 2.175, страница 89 - гдз по алгебре 7 класс учебник Арефьева, Пирютко

Алгебра, 7 класс Учебник, авторы: Арефьева Ирина Глебовна, Пирютко Ольга Николаевна, издательство Народная асвета, Минск, 2022, зелёного цвета

Авторы: Арефьева И. Г., Пирютко О. Н.

Тип: Учебник

Издательство: Народная асвета

Год издания: 2022 - 2026

Цвет обложки: зелёный с графиком

ISBN: ISBN 978-985-03-3770-2

Допущено Министерством образования Республики Беларусь

Глава 2. Выражения и их преобразования. Параграф 9. Сложение и вычитание многочленов - номер 2.175, страница 89.

№2.175 (с. 89)
Условие. №2.175 (с. 89)
скриншот условия
Алгебра, 7 класс Учебник, авторы: Арефьева Ирина Глебовна, Пирютко Ольга Николаевна, издательство Народная асвета, Минск, 2022, зелёного цвета, страница 89, номер 2.175, Условие

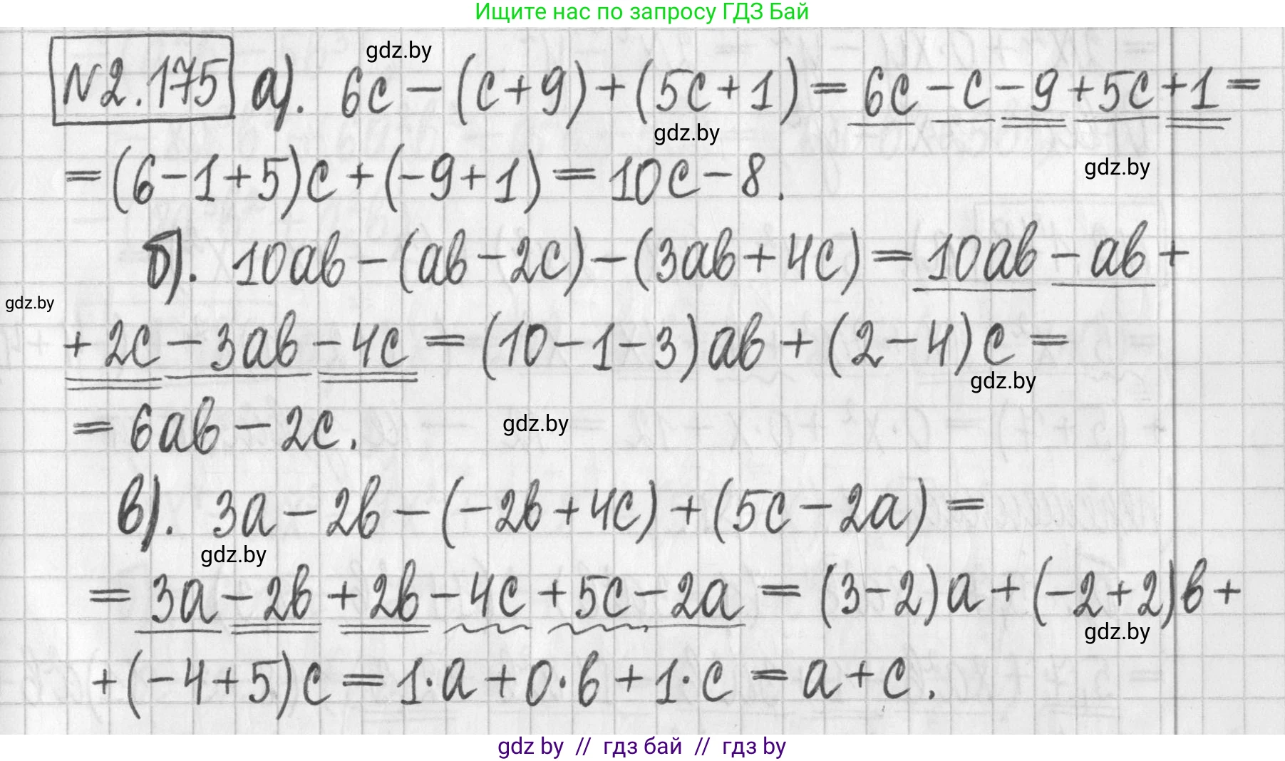
2.175. Упростите выражение:

a) $6c - (c + 9) + (5c + 1);$

б) $10ab - (ab - 2c) - (3ab + 4c);$

в) $3a - 2b - (-2b + 4c) + (5c - 2a).$

Решение. №2.175 (с. 89)
Алгебра, 7 класс Учебник, авторы: Арефьева Ирина Глебовна, Пирютко Ольга Николаевна, издательство Народная асвета, Минск, 2022, зелёного цвета, страница 89, номер 2.175, Решение
Решение 2. №2.175 (с. 89)

а) $6c - (c + 9) + (5c + 1)$

Для упрощения данного выражения необходимо раскрыть скобки и привести подобные слагаемые.

1. Раскроем скобки. Если перед скобкой стоит знак «-», то знаки всех слагаемых внутри скобок меняются на противоположные. Если стоит знак «+», знаки не меняются.

$6c - (c + 9) + (5c + 1) = 6c - c - 9 + 5c + 1$

2. Сгруппируем подобные слагаемые (слагаемые с одинаковой буквенной частью и константы):

$(6c - c + 5c) + (-9 + 1)$

3. Выполним действия с коэффициентами и константами:

$(6 - 1 + 5)c + (-8) = 10c - 8$

Ответ: $10c - 8$

б) $10ab - (ab - 2c) - (3ab + 4c)$

Для упрощения раскроем скобки и приведем подобные слагаемые.

1. Раскроем скобки. Перед обеими скобками стоит знак «-», поэтому знаки всех слагаемых внутри них меняются на противоположные.

$10ab - (ab - 2c) - (3ab + 4c) = 10ab - ab + 2c - 3ab - 4c$

2. Сгруппируем подобные слагаемые (слагаемые с $ab$ и слагаемые с $c$):

$(10ab - ab - 3ab) + (2c - 4c)$

3. Выполним действия с коэффициентами:

$(10 - 1 - 3)ab + (2 - 4)c = 6ab - 2c$

Ответ: $6ab - 2c$

в) $3a - 2b - (-2b + 4c) + (5c - 2a)$

Для упрощения раскроем скобки и приведем подобные слагаемые.

1. Раскроем скобки. Перед первой скобкой стоит знак «-», знаки меняются. Перед второй скобкой стоит знак «+», знаки остаются прежними.

$3a - 2b - (-2b + 4c) + (5c - 2a) = 3a - 2b + 2b - 4c + 5c - 2a$

2. Сгруппируем подобные слагаемые (слагаемые с $a$, слагаемые с $b$ и слагаемые с $c$):

$(3a - 2a) + (-2b + 2b) + (-4c + 5c)$

3. Выполним действия с коэффициентами:

$(3 - 2)a + (-2 + 2)b + (-4 + 5)c = 1a + 0b + 1c = a + c$

Ответ: $a + c$

Помогло решение? Оставьте отзыв в комментариях ниже.

Присоединяйтесь к Телеграм-группе @gdz_by_belarus

Присоединиться

Мы подготовили для вас ответ c подробным объяснением домашего задания по алгебре за 7 класс, для упражнения номер 2.175 расположенного на странице 89 к учебнику 2022 года издания для учащихся школ и гимназий.

Теперь на нашем сайте ГДЗ.ТОП вы всегда легко и бесплатно найдёте условие с правильным ответом на вопрос «Как решить ДЗ» и «Как сделать» задание по алгебре к упражнению №2.175 (с. 89), авторов: Арефьева (Ирина Глебовна), Пирютко (Ольга Николаевна), учебного пособия издательства Народная асвета.