Номер 2.172, страница 88 - гдз по алгебре 7 класс учебник Арефьева, Пирютко

Алгебра, 7 класс Учебник, авторы: Арефьева Ирина Глебовна, Пирютко Ольга Николаевна, издательство Народная асвета, Минск, 2022, зелёного цвета

Авторы: Арефьева И. Г., Пирютко О. Н.

Тип: Учебник

Издательство: Народная асвета

Год издания: 2022 - 2026

Цвет обложки: зелёный с графиком

ISBN: ISBN 978-985-03-3770-2

Допущено Министерством образования Республики Беларусь

Глава 2. Выражения и их преобразования. Параграф 9. Сложение и вычитание многочленов - номер 2.172, страница 88.

№2.172 (с. 88)
Условие. №2.172 (с. 88)
скриншот условия
Алгебра, 7 класс Учебник, авторы: Арефьева Ирина Глебовна, Пирютко Ольга Николаевна, издательство Народная асвета, Минск, 2022, зелёного цвета, страница 88, номер 2.172, Условие Алгебра, 7 класс Учебник, авторы: Арефьева Ирина Глебовна, Пирютко Ольга Николаевна, издательство Народная асвета, Минск, 2022, зелёного цвета, страница 88, номер 2.172, Условие (продолжение 2)

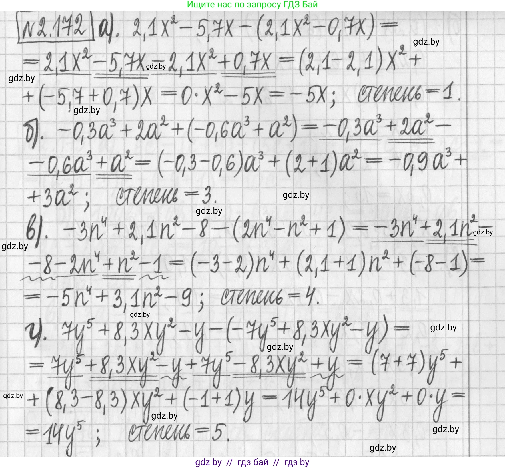
2.172. Преобразуйте выражение в многочлен стандартного вида:

а) $2.1x^2 - 5.7x - (2.1x^2 - 0.7x)$;

б) $-0.3a^3 + 2a^2 + (-0.6a^3 + a^2)$;

в) $-3n^4 + 2.1n^2 - 8 - (2n^4 - n^2 + 1)$;

г) $7y^5 + 8.3xy^2 - y - (-7y^5 + 8.3xy^2 - y)$.

Определите степень полученного результата.

Решение. №2.172 (с. 88)
Алгебра, 7 класс Учебник, авторы: Арефьева Ирина Глебовна, Пирютко Ольга Николаевна, издательство Народная асвета, Минск, 2022, зелёного цвета, страница 88, номер 2.172, Решение
Решение 2. №2.172 (с. 88)

а) $2,1x^2 - 5,7x - (2,1x^2 - 0,7x)$
Чтобы преобразовать выражение в многочлен стандартного вида, сначала раскроем скобки. Так как перед скобками стоит знак минус, мы меняем знаки всех членов внутри скобок на противоположные:
$2,1x^2 - 5,7x - 2,1x^2 + 0,7x$
Далее, приведем подобные слагаемые (члены с одинаковой переменной в одинаковой степени):
$(2,1x^2 - 2,1x^2) + (-5,7x + 0,7x) = 0 - 5x = -5x$
Степень многочлена — это наибольшая из степеней его членов. Для многочлена $-5x$ (то есть $-5x^1$) степень равна 1.
Ответ: многочлен в стандартном виде: $-5x$. Степень полученного результата: 1.

б) $-0,3a^3 + 2a^2 + (-0,6a^3 + a^2)$
Раскроем скобки. Знак плюс перед скобками не меняет знаки членов внутри них:
$-0,3a^3 + 2a^2 - 0,6a^3 + a^2$
Сгруппируем и сложим подобные слагаемые:
$(-0,3a^3 - 0,6a^3) + (2a^2 + a^2) = -0,9a^3 + 3a^2$
Полученный многочлен записан в стандартном виде. Его степень определяется по старшему члену $-0,9a^3$ и равна 3.
Ответ: многочлен в стандартном виде: $-0,9a^3 + 3a^2$. Степень полученного результата: 3.

в) $-3n^4 + 2,1n^2 - 8 - (2n^4 - n^2 + 1)$
Раскроем скобки, меняя знаки всех членов внутри них на противоположные:
$-3n^4 + 2,1n^2 - 8 - 2n^4 + n^2 - 1$
Приведем подобные слагаемые:
$(-3n^4 - 2n^4) + (2,1n^2 + n^2) + (-8 - 1) = -5n^4 + 3,1n^2 - 9$
Наибольшая степень переменной $n$ в полученном многочлене равна 4, следовательно, это и есть степень многочлена.
Ответ: многочлен в стандартном виде: $-5n^4 + 3,1n^2 - 9$. Степень полученного результата: 4.

г) $7y^5 + 8,3xy^2 - y - (-7y^5 + 8,3xy^2 - y)$
Раскроем скобки, изменив знаки на противоположные:
$7y^5 + 8,3xy^2 - y + 7y^5 - 8,3xy^2 + y$
Сгруппируем и приведем подобные слагаемые:
$(7y^5 + 7y^5) + (8,3xy^2 - 8,3xy^2) + (-y + y) = 14y^5 + 0 + 0 = 14y^5$
Степень полученного многочлена (в данном случае одночлена) $14y^5$ равна 5.
Ответ: многочлен в стандартном виде: $14y^5$. Степень полученного результата: 5.

Помогло решение? Оставьте отзыв в комментариях ниже.

Присоединяйтесь к Телеграм-группе @gdz_by_belarus

Присоединиться

Мы подготовили для вас ответ c подробным объяснением домашего задания по алгебре за 7 класс, для упражнения номер 2.172 расположенного на странице 88 к учебнику 2022 года издания для учащихся школ и гимназий.

Теперь на нашем сайте ГДЗ.ТОП вы всегда легко и бесплатно найдёте условие с правильным ответом на вопрос «Как решить ДЗ» и «Как сделать» задание по алгебре к упражнению №2.172 (с. 88), авторов: Арефьева (Ирина Глебовна), Пирютко (Ольга Николаевна), учебного пособия издательства Народная асвета.