Номер 2.386, страница 134 - гдз по алгебре 7 класс учебник Арефьева, Пирютко

Алгебра, 7 класс Учебник, авторы: Арефьева Ирина Глебовна, Пирютко Ольга Николаевна, издательство Народная асвета, Минск, 2022, зелёного цвета

Авторы: Арефьева И. Г., Пирютко О. Н.

Тип: Учебник

Издательство: Народная асвета

Год издания: 2022 - 2026

Цвет обложки: зелёный с графиком

ISBN: ISBN 978-985-03-3770-2

Допущено Министерством образования Республики Беларусь

Глава 2. Выражения и их преобразования. Параграф 14. Разложение многочлена на множители - номер 2.386, страница 134.

№2.386 (с. 134)
Условие. №2.386 (с. 134)
скриншот условия
Алгебра, 7 класс Учебник, авторы: Арефьева Ирина Глебовна, Пирютко Ольга Николаевна, издательство Народная асвета, Минск, 2022, зелёного цвета, страница 134, номер 2.386, Условие

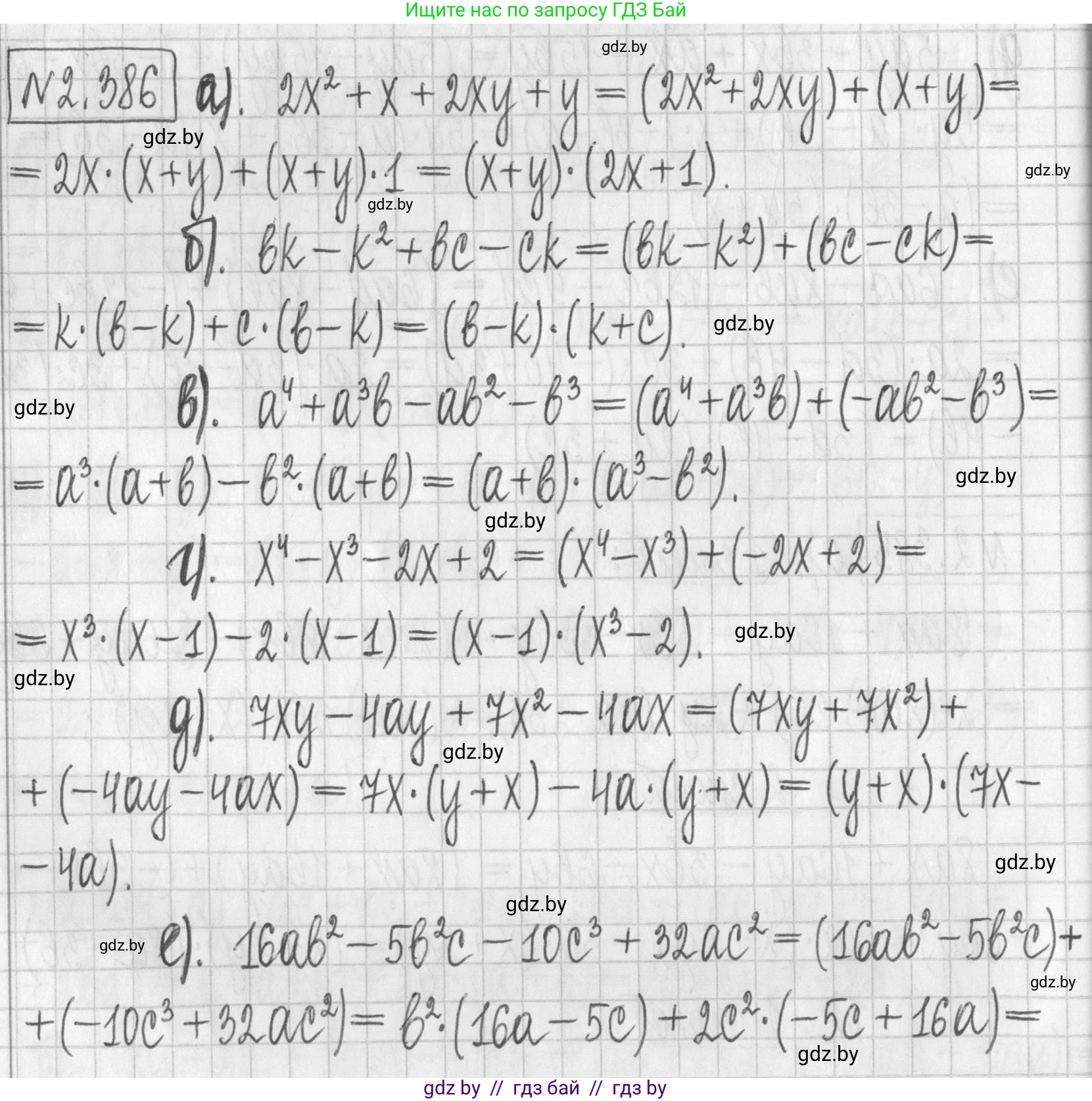
2.386. Разложите многочлен на множители:

а) $2x^2 + x + 2xy + y;$

б) $bk - k^2 + bc - ck;$

в) $a^4 + a^3b - ab^2 - b^3;$

г) $x^4 - x^3 - 2x + 2;$

д) $7xy - 4ay + 7x^2 - 4ax;$

е) $16ab^2 - 5b^2c - 10c^3 + 32ac^2.$

Решение. №2.386 (с. 134)
Алгебра, 7 класс Учебник, авторы: Арефьева Ирина Глебовна, Пирютко Ольга Николаевна, издательство Народная асвета, Минск, 2022, зелёного цвета, страница 134, номер 2.386, Решение Алгебра, 7 класс Учебник, авторы: Арефьева Ирина Глебовна, Пирютко Ольга Николаевна, издательство Народная асвета, Минск, 2022, зелёного цвета, страница 134, номер 2.386, Решение (продолжение 2)
Решение 2. №2.386 (с. 134)

Разложение многочлена на множители

а) $2x^2 + x + 2xy + y$

Для разложения этого многочлена на множители применим метод группировки. Сгруппируем слагаемые следующим образом:

$(2x^2 + x) + (2xy + y)$

Вынесем общий множитель из каждой группы:

$x(2x + 1) + y(2x + 1)$

Теперь вынесем общий множитель $(2x + 1)$ за скобки:

$(x + y)(2x + 1)$

Ответ: $(x + y)(2x + 1)$

б) $bk - k^2 + bc - ck$

Сгруппируем слагаемые:

$(bk - k^2) + (bc - ck)$

Вынесем общие множители из каждой группы:

$k(b - k) + c(b - k)$

Вынесем общий множитель $(b - k)$ за скобки:

$(k + c)(b - k)$

Ответ: $(k + c)(b - k)$

в) $a^4 + a^3b - ab^2 - b^3$

Сгруппируем слагаемые:

$(a^4 + a^3b) - (ab^2 + b^3)$

Вынесем общие множители из каждой группы:

$a^3(a + b) - b^2(a + b)$

Вынесем общий множитель $(a + b)$ за скобки:

$(a^3 - b^2)(a + b)$

Ответ: $(a + b)(a^3 - b^2)$

г) $x^4 - x^3 - 2x + 2$

Сгруппируем слагаемые:

$(x^4 - x^3) - (2x - 2)$

Вынесем общие множители из каждой группы:

$x^3(x - 1) - 2(x - 1)$

Вынесем общий множитель $(x - 1)$ за скобки:

$(x^3 - 2)(x - 1)$

Ответ: $(x - 1)(x^3 - 2)$

д) $7xy - 4ay + 7x^2 - 4ax$

Перегруппируем слагаемые для удобства:

$(7xy + 7x^2) - (4ay + 4ax)$

Вынесем общие множители из каждой группы:

$7x(y + x) - 4a(y + x)$

Вынесем общий множитель $(x + y)$ за скобки:

$(7x - 4a)(x + y)$

Ответ: $(x + y)(7x - 4a)$

е) $16ab^2 - 5b^2c - 10c^3 + 32ac^2$

Перегруппируем слагаемые для удобства:

$(16ab^2 - 5b^2c) + (32ac^2 - 10c^3)$

Вынесем общие множители из каждой группы:

$b^2(16a - 5c) + 2c^2(16a - 5c)$

Вынесем общий множитель $(16a - 5c)$ за скобки:

$(b^2 + 2c^2)(16a - 5c)$

Ответ: $(b^2 + 2c^2)(16a - 5c)$

Помогло решение? Оставьте отзыв в комментариях ниже.

Присоединяйтесь к Телеграм-группе @gdz_by_belarus

Присоединиться

Мы подготовили для вас ответ c подробным объяснением домашего задания по алгебре за 7 класс, для упражнения номер 2.386 расположенного на странице 134 к учебнику 2022 года издания для учащихся школ и гимназий.

Теперь на нашем сайте ГДЗ.ТОП вы всегда легко и бесплатно найдёте условие с правильным ответом на вопрос «Как решить ДЗ» и «Как сделать» задание по алгебре к упражнению №2.386 (с. 134), авторов: Арефьева (Ирина Глебовна), Пирютко (Ольга Николаевна), учебного пособия издательства Народная асвета.