Номер 2.392, страница 135 - гдз по алгебре 7 класс учебник Арефьева, Пирютко

Алгебра, 7 класс Учебник, авторы: Арефьева Ирина Глебовна, Пирютко Ольга Николаевна, издательство Народная асвета, Минск, 2022, зелёного цвета

Авторы: Арефьева И. Г., Пирютко О. Н.

Тип: Учебник

Издательство: Народная асвета

Год издания: 2022 - 2026

Цвет обложки: зелёный с графиком

ISBN: ISBN 978-985-03-3770-2

Допущено Министерством образования Республики Беларусь

Глава 2. Выражения и их преобразования. Параграф 14. Разложение многочлена на множители - номер 2.392, страница 135.

№2.392 (с. 135)
Условие. №2.392 (с. 135)
скриншот условия
Алгебра, 7 класс Учебник, авторы: Арефьева Ирина Глебовна, Пирютко Ольга Николаевна, издательство Народная асвета, Минск, 2022, зелёного цвета, страница 135, номер 2.392, Условие

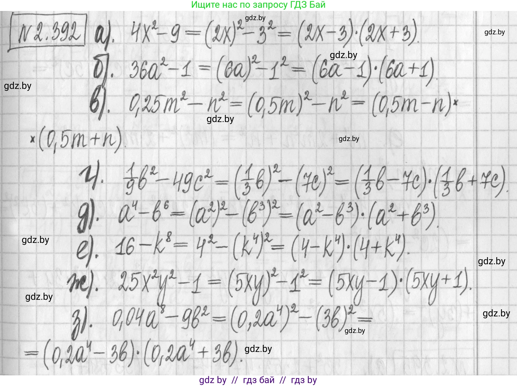
2.392. Используя формулу разности квадратов, разложите многочлен на множители:

а) $4x^2 - 9;$

б) $36a^2 - 1;$

в) $0,25m^2 - n^2;$

г) $\frac{1}{9}b^2 - 49c^2;$

д) $a^4 - b^6;$

е) $16 - k^8;$

ж) $25x^2y^2 - 1;$

з) $0,04a^8 - 9b^2.$

Решение. №2.392 (с. 135)
Алгебра, 7 класс Учебник, авторы: Арефьева Ирина Глебовна, Пирютко Ольга Николаевна, издательство Народная асвета, Минск, 2022, зелёного цвета, страница 135, номер 2.392, Решение
Решение 2. №2.392 (с. 135)

Для решения задачи используется формула разности квадратов:

$$a^2 - b^2 = (a - b)(a + b)$$

Для каждого многочлена необходимо представить его в виде разности квадратов двух выражений и применить данную формулу.


а) $4x^2 - 9$
Представим каждый член многочлена в виде квадрата:
Первый член: $4x^2 = (2x)^2$
Второй член: $9 = 3^2$
Применим формулу разности квадратов, где $a = 2x$ и $b = 3$:
$4x^2 - 9 = (2x)^2 - 3^2 = (2x - 3)(2x + 3)$
Ответ: $(2x - 3)(2x + 3)$


б) $36a^2 - 1$
Представим каждый член многочлена в виде квадрата:
$36a^2 = (6a)^2$
$1 = 1^2$
Применим формулу, где $a = 6a$ и $b = 1$:
$36a^2 - 1 = (6a)^2 - 1^2 = (6a - 1)(6a + 1)$
Ответ: $(6a - 1)(6a + 1)$


в) $0,25m^2 - n^2$
Представим каждый член многочлена в виде квадрата:
$0,25m^2 = (0,5m)^2$
$n^2 = (n)^2$
Применим формулу, где $a = 0,5m$ и $b = n$:
$0,25m^2 - n^2 = (0,5m)^2 - n^2 = (0,5m - n)(0,5m + n)$
Ответ: $(0,5m - n)(0,5m + n)$


г) $\frac{1}{9}b^2 - 49c^2$
Представим каждый член многочлена в виде квадрата:
$\frac{1}{9}b^2 = (\frac{1}{3}b)^2$
$49c^2 = (7c)^2$
Применим формулу, где $a = \frac{1}{3}b$ и $b = 7c$:
$\frac{1}{9}b^2 - 49c^2 = (\frac{1}{3}b)^2 - (7c)^2 = (\frac{1}{3}b - 7c)(\frac{1}{3}b + 7c)$
Ответ: $(\frac{1}{3}b - 7c)(\frac{1}{3}b + 7c)$


д) $a^4 - b^6$
Представим каждый член многочлена в виде квадрата, используя свойство степеней $(x^m)^n = x^{mn}$:
$a^4 = (a^2)^2$
$b^6 = (b^3)^2$
Применим формулу, где $a = a^2$ и $b = b^3$:
$a^4 - b^6 = (a^2)^2 - (b^3)^2 = (a^2 - b^3)(a^2 + b^3)$
Ответ: $(a^2 - b^3)(a^2 + b^3)$


е) $16 - k^8$
Представим многочлен в виде разности квадратов:
$16 = 4^2$
$k^8 = (k^4)^2$
Применим формулу:
$16 - k^8 = 4^2 - (k^4)^2 = (4 - k^4)(4 + k^4)$
Заметим, что первый множитель $(4 - k^4)$ также является разностью квадратов, поэтому мы можем разложить его дальше:
$4 - k^4 = 2^2 - (k^2)^2 = (2 - k^2)(2 + k^2)$
Таким образом, полное разложение на множители имеет вид:
$16 - k^8 = (2 - k^2)(2 + k^2)(4 + k^4)$
Ответ: $(2 - k^2)(2 + k^2)(4 + k^4)$


ж) $25x^2y^2 - 1$
Представим каждый член многочлена в виде квадрата:
$25x^2y^2 = (5xy)^2$
$1 = 1^2$
Применим формулу, где $a = 5xy$ и $b = 1$:
$25x^2y^2 - 1 = (5xy)^2 - 1^2 = (5xy - 1)(5xy + 1)$
Ответ: $(5xy - 1)(5xy + 1)$


з) $0,04a^8 - 9b^2$
Представим каждый член многочлена в виде квадрата:
$0,04a^8 = (0,2a^4)^2$
$9b^2 = (3b)^2$
Применим формулу, где $a = 0,2a^4$ и $b = 3b$:
$0,04a^8 - 9b^2 = (0,2a^4)^2 - (3b)^2 = (0,2a^4 - 3b)(0,2a^4 + 3b)$
Ответ: $(0,2a^4 - 3b)(0,2a^4 + 3b)$

Помогло решение? Оставьте отзыв в комментариях ниже.

Присоединяйтесь к Телеграм-группе @gdz_by_belarus

Присоединиться

Мы подготовили для вас ответ c подробным объяснением домашего задания по алгебре за 7 класс, для упражнения номер 2.392 расположенного на странице 135 к учебнику 2022 года издания для учащихся школ и гимназий.

Теперь на нашем сайте ГДЗ.ТОП вы всегда легко и бесплатно найдёте условие с правильным ответом на вопрос «Как решить ДЗ» и «Как сделать» задание по алгебре к упражнению №2.392 (с. 135), авторов: Арефьева (Ирина Глебовна), Пирютко (Ольга Николаевна), учебного пособия издательства Народная асвета.