Номер 2.399, страница 136 - гдз по алгебре 7 класс учебник Арефьева, Пирютко

Алгебра, 7 класс Учебник, авторы: Арефьева Ирина Глебовна, Пирютко Ольга Николаевна, издательство Народная асвета, Минск, 2022, зелёного цвета

Авторы: Арефьева И. Г., Пирютко О. Н.

Тип: Учебник

Издательство: Народная асвета

Год издания: 2022 - 2026

Цвет обложки: зелёный с графиком

ISBN: ISBN 978-985-03-3770-2

Допущено Министерством образования Республики Беларусь

Глава 2. Выражения и их преобразования. Параграф 14. Разложение многочлена на множители - номер 2.399, страница 136.

№2.399 (с. 136)
Условие. №2.399 (с. 136)
скриншот условия
Алгебра, 7 класс Учебник, авторы: Арефьева Ирина Глебовна, Пирютко Ольга Николаевна, издательство Народная асвета, Минск, 2022, зелёного цвета, страница 136, номер 2.399, Условие

2.399. Представьте в виде произведения:

a) $(x+6)^2-(x-3)^2$;

б) $(3y-4)^2-(y+1)^2$;

в) $(5x+2)^2-(4x-2)^2$;

г) $(a-3b)^2-(4a+b)^2$.

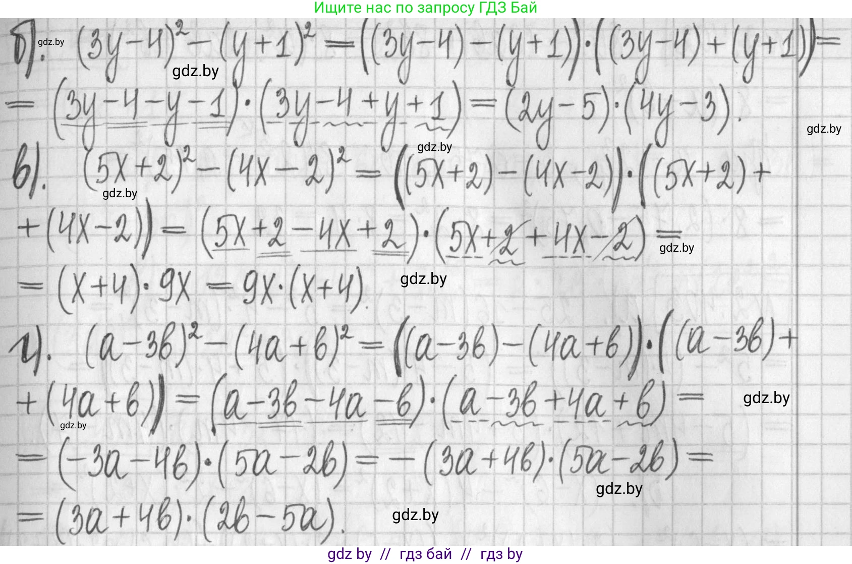
Решение. №2.399 (с. 136)
Алгебра, 7 класс Учебник, авторы: Арефьева Ирина Глебовна, Пирютко Ольга Николаевна, издательство Народная асвета, Минск, 2022, зелёного цвета, страница 136, номер 2.399, Решение Алгебра, 7 класс Учебник, авторы: Арефьева Ирина Глебовна, Пирютко Ольга Николаевна, издательство Народная асвета, Минск, 2022, зелёного цвета, страница 136, номер 2.399, Решение (продолжение 2)
Решение 2. №2.399 (с. 136)

Для представления выражений в виде произведения используется формула сокращённого умножения "разность квадратов": $A^2 - B^2 = (A - B)(A + B)$.

а) Для выражения $(x + 6)^2 - (x - 3)^2$ применим формулу разности квадратов, где $A = (x + 6)$ и $B = (x - 3)$:
$((x + 6) - (x - 3)) \cdot ((x + 6) + (x - 3))$
Упростим выражение в каждой из скобок:
Первая скобка: $(x + 6 - x + 3) = 9$
Вторая скобка: $(x + 6 + x - 3) = (2x + 3)$
Перемножив полученные выражения, получаем итоговый результат.

Ответ: $9(2x + 3)$.

б) Для выражения $(3y - 4)^2 - (y + 1)^2$ применим формулу, где $A = (3y - 4)$ и $B = (y + 1)$:
$((3y - 4) - (y + 1)) \cdot ((3y - 4) + (y + 1))$
Упростим выражение в каждой из скобок:
Первая скобка: $(3y - 4 - y - 1) = (2y - 5)$
Вторая скобка: $(3y - 4 + y + 1) = (4y - 3)$
Перемножив полученные выражения, получаем итоговый результат.

Ответ: $(2y - 5)(4y - 3)$.

в) Для выражения $(5x + 2)^2 - (4x - 2)^2$ применим формулу, где $A = (5x + 2)$ и $B = (4x - 2)$:
$((5x + 2) - (4x - 2)) \cdot ((5x + 2) + (4x - 2))$
Упростим выражение в каждой из скобок:
Первая скобка: $(5x + 2 - 4x + 2) = (x + 4)$
Вторая скобка: $(5x + 2 + 4x - 2) = 9x$
Перемножив полученные выражения, получаем итоговый результат.

Ответ: $9x(x + 4)$.

г) Для выражения $(a - 3b)^2 - (4a + b)^2$ применим формулу, где $A = (a - 3b)$ и $B = (4a + b)$:
$((a - 3b) - (4a + b)) \cdot ((a - 3b) + (4a + b))$
Упростим выражение в каждой из скобок:
Первая скобка: $(a - 3b - 4a - b) = (-3a - 4b) = -(3a + 4b)$
Вторая скобка: $(a - 3b + 4a + b) = (5a - 2b)$
Перемножив полученные выражения, получаем итоговый результат.

Ответ: $-(3a + 4b)(5a - 2b)$.

Помогло решение? Оставьте отзыв в комментариях ниже.

Присоединяйтесь к Телеграм-группе @gdz_by_belarus

Присоединиться

Мы подготовили для вас ответ c подробным объяснением домашего задания по алгебре за 7 класс, для упражнения номер 2.399 расположенного на странице 136 к учебнику 2022 года издания для учащихся школ и гимназий.

Теперь на нашем сайте ГДЗ.ТОП вы всегда легко и бесплатно найдёте условие с правильным ответом на вопрос «Как решить ДЗ» и «Как сделать» задание по алгебре к упражнению №2.399 (с. 136), авторов: Арефьева (Ирина Глебовна), Пирютко (Ольга Николаевна), учебного пособия издательства Народная асвета.