Номер 2.396, страница 136 - гдз по алгебре 7 класс учебник Арефьева, Пирютко

Алгебра, 7 класс Учебник, авторы: Арефьева Ирина Глебовна, Пирютко Ольга Николаевна, издательство Народная асвета, Минск, 2022, зелёного цвета

Авторы: Арефьева И. Г., Пирютко О. Н.

Тип: Учебник

Издательство: Народная асвета

Год издания: 2022 - 2026

Цвет обложки: зелёный с графиком

ISBN: ISBN 978-985-03-3770-2

Допущено Министерством образования Республики Беларусь

Глава 2. Выражения и их преобразования. Параграф 14. Разложение многочлена на множители - номер 2.396, страница 136.

№2.396 (с. 136)
Условие. №2.396 (с. 136)
скриншот условия
Алгебра, 7 класс Учебник, авторы: Арефьева Ирина Глебовна, Пирютко Ольга Николаевна, издательство Народная асвета, Минск, 2022, зелёного цвета, страница 136, номер 2.396, Условие

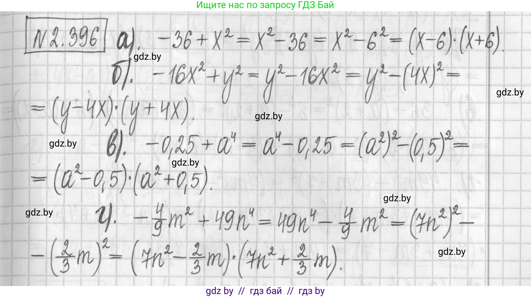
2.396. Представьте в виде произведения:

а) $-36 + x^2$;

б) $-16x^2 + y^2$;

в) $-0,25 + a^4$;

г) $-\frac{4}{9}m^2 + 49n^4$.

Решение. №2.396 (с. 136)
Алгебра, 7 класс Учебник, авторы: Арефьева Ирина Глебовна, Пирютко Ольга Николаевна, издательство Народная асвета, Минск, 2022, зелёного цвета, страница 136, номер 2.396, Решение
Решение 2. №2.396 (с. 136)
Для решения данных примеров мы будем использовать формулу сокращенного умножения "разность квадратов": $a^2 - b^2 = (a - b)(a + b)$.

а) Дано выражение: $-36 + x^2$.

Переставим слагаемые местами, чтобы получить стандартный вид разности квадратов:

$-36 + x^2 = x^2 - 36$

Представим $36$ в виде квадрата числа: $36 = 6^2$.

Теперь выражение имеет вид $x^2 - 6^2$. Применим формулу разности квадратов, где $a=x$ и $b=6$:

$x^2 - 6^2 = (x - 6)(x + 6)$

Ответ: $(x - 6)(x + 6)$

б) Дано выражение: $-16x^2 + y^2$.

Переставим слагаемые местами:

$-16x^2 + y^2 = y^2 - 16x^2$

Представим $16x^2$ в виде квадрата выражения: $16x^2 = (4x)^2$.

Теперь выражение имеет вид $y^2 - (4x)^2$. Применим формулу разности квадратов, где $a=y$ и $b=4x$:

$y^2 - (4x)^2 = (y - 4x)(y + 4x)$

Ответ: $(y - 4x)(y + 4x)$

в) Дано выражение: $-0,25 + a^4$.

Переставим слагаемые местами:

$-0,25 + a^4 = a^4 - 0,25$

Представим каждое слагаемое в виде квадрата: $a^4 = (a^2)^2$ и $0,25 = (0,5)^2$.

Теперь выражение имеет вид $(a^2)^2 - (0,5)^2$. Применим формулу разности квадратов, где $a=a^2$ и $b=0,5$:

$(a^2)^2 - (0,5)^2 = (a^2 - 0,5)(a^2 + 0,5)$

Ответ: $(a^2 - 0,5)(a^2 + 0,5)$

г) Дано выражение: $-\frac{4}{9}m^2 + 49n^4$.

Переставим слагаемые местами:

$-\frac{4}{9}m^2 + 49n^4 = 49n^4 - \frac{4}{9}m^2$

Представим каждое слагаемое в виде квадрата: $49n^4 = (7n^2)^2$ и $\frac{4}{9}m^2 = (\frac{2}{3}m)^2$.

Теперь выражение имеет вид $(7n^2)^2 - (\frac{2}{3}m)^2$. Применим формулу разности квадратов, где $a=7n^2$ и $b=\frac{2}{3}m$:

$(7n^2)^2 - (\frac{2}{3}m)^2 = (7n^2 - \frac{2}{3}m)(7n^2 + \frac{2}{3}m)$

Ответ: $(7n^2 - \frac{2}{3}m)(7n^2 + \frac{2}{3}m)$

Помогло решение? Оставьте отзыв в комментариях ниже.

Присоединяйтесь к Телеграм-группе @gdz_by_belarus

Присоединиться

Мы подготовили для вас ответ c подробным объяснением домашего задания по алгебре за 7 класс, для упражнения номер 2.396 расположенного на странице 136 к учебнику 2022 года издания для учащихся школ и гимназий.

Теперь на нашем сайте ГДЗ.ТОП вы всегда легко и бесплатно найдёте условие с правильным ответом на вопрос «Как решить ДЗ» и «Как сделать» задание по алгебре к упражнению №2.396 (с. 136), авторов: Арефьева (Ирина Глебовна), Пирютко (Ольга Николаевна), учебного пособия издательства Народная асвета.