Номер 2.416, страница 138 - гдз по алгебре 7 класс учебник Арефьева, Пирютко

Алгебра, 7 класс Учебник, авторы: Арефьева Ирина Глебовна, Пирютко Ольга Николаевна, издательство Народная асвета, Минск, 2022, зелёного цвета

Авторы: Арефьева И. Г., Пирютко О. Н.

Тип: Учебник

Издательство: Народная асвета

Год издания: 2022 - 2026

Цвет обложки: зелёный с графиком

ISBN: ISBN 978-985-03-3770-2

Допущено Министерством образования Республики Беларусь

Глава 2. Выражения и их преобразования. Параграф 14. Разложение многочлена на множители - номер 2.416, страница 138.

№2.416 (с. 138)
Условие. №2.416 (с. 138)
скриншот условия
Алгебра, 7 класс Учебник, авторы: Арефьева Ирина Глебовна, Пирютко Ольга Николаевна, издательство Народная асвета, Минск, 2022, зелёного цвета, страница 138, номер 2.416, Условие

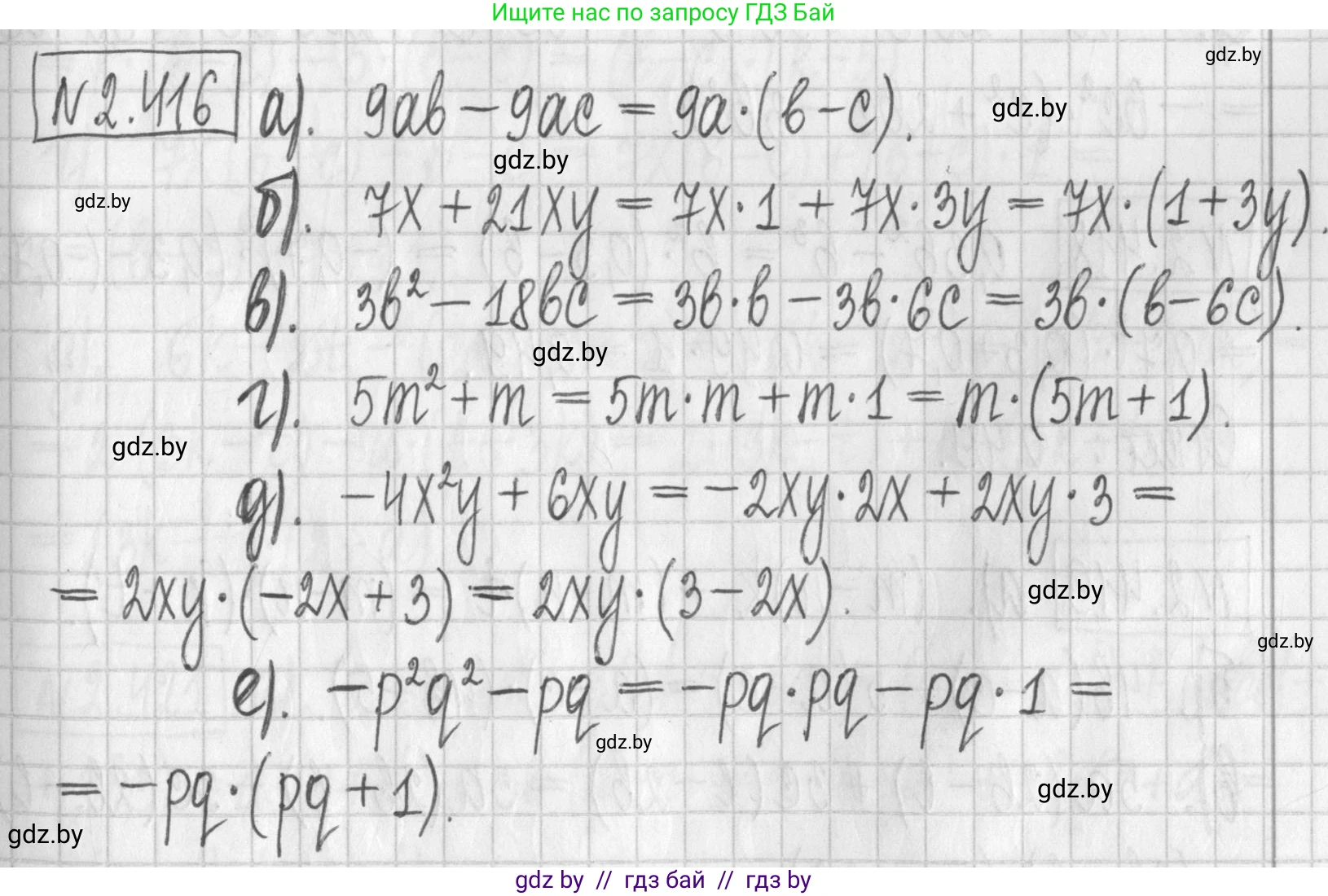
2.416. Представьте в виде произведения:

а) $9ab - 9ac$;

б) $7x + 21xy$;

в) $3b^2 - 18bc$;

г) $5m^2 + m$;

д) $-4x^2y + 6xy$;

е) $-p^2q^2 - pq$.

Решение. №2.416 (с. 138)
Алгебра, 7 класс Учебник, авторы: Арефьева Ирина Глебовна, Пирютко Ольга Николаевна, издательство Народная асвета, Минск, 2022, зелёного цвета, страница 138, номер 2.416, Решение
Решение 2. №2.416 (с. 138)

Чтобы представить многочлен в виде произведения, необходимо вынести за скобки общий множитель всех его членов. Общий множитель — это произведение наибольшего общего делителя (НОД) коэффициентов и общих переменных в наименьшей степени.

а) $9ab - 9ac$

В выражении $9ab - 9ac$ оба члена имеют общий числовой множитель 9 и общий переменный множитель $a$. Таким образом, общий множитель, который можно вынести за скобки, это $9a$.

Выполним вынесение общего множителя за скобки:

$9ab - 9ac = 9a \cdot b - 9a \cdot c = 9a(b - c)$

Ответ: $9a(b - c)$

б) $7x + 21xy$

Для коэффициентов 7 и 21 наибольший общий делитель (НОД) равен 7. Общий переменный множитель — это $x$. Значит, за скобки выносим $7x$.

Представим каждый член как произведение общего множителя и оставшейся части:

$7x + 21xy = 7x \cdot 1 + 7x \cdot 3y = 7x(1 + 3y)$

Ответ: $7x(1 + 3y)$

в) $3b^2 - 18bc$

НОД для коэффициентов 3 и 18 равен 3. Для переменных $b^2$ и $b$ общий множитель — это $b$ в первой степени. Таким образом, выносим за скобки $3b$.

Выполним разложение на множители:

$3b^2 - 18bc = 3b \cdot b - 3b \cdot 6c = 3b(b - 6c)$

Ответ: $3b(b - 6c)$

г) $5m^2 + m$

В этом выражении общий числовой множитель равен 1. Общий переменный множитель для $m^2$ и $m$ — это $m$. Выносим $m$ за скобки.

Необходимо помнить, что $m = m \cdot 1$.

$5m^2 + m = m \cdot 5m + m \cdot 1 = m(5m + 1)$

Ответ: $m(5m + 1)$

д) $-4x^2y + 6xy$

НОД для модулей коэффициентов 4 и 6 равен 2. Общие переменные — $x$ и $y$. Общий множитель — $2xy$. Чтобы первый член в скобках был положительным, удобно вынести за скобки $-2xy$.

Выполним вынесение $-2xy$ за скобки:

$-4x^2y + 6xy = (-2xy) \cdot (2x) + (-2xy) \cdot (-3) = -2xy(2x - 3)$

Ответ: $-2xy(2x - 3)$

е) $-p^2q^2 - pq$

Оба члена выражения отрицательны. Общие переменные для $p^2q^2$ и $pq$ — это $p$ и $q$. Таким образом, общий множитель — $-pq$.

Вынесем $-pq$ за скобки:

$-p^2q^2 - pq = (-pq) \cdot (pq) + (-pq) \cdot (1) = -pq(pq + 1)$

Ответ: $-pq(pq + 1)$

Помогло решение? Оставьте отзыв в комментариях ниже.

Присоединяйтесь к Телеграм-группе @gdz_by_belarus

Присоединиться

Мы подготовили для вас ответ c подробным объяснением домашего задания по алгебре за 7 класс, для упражнения номер 2.416 расположенного на странице 138 к учебнику 2022 года издания для учащихся школ и гимназий.

Теперь на нашем сайте ГДЗ.ТОП вы всегда легко и бесплатно найдёте условие с правильным ответом на вопрос «Как решить ДЗ» и «Как сделать» задание по алгебре к упражнению №2.416 (с. 138), авторов: Арефьева (Ирина Глебовна), Пирютко (Ольга Николаевна), учебного пособия издательства Народная асвета.