Номер 2.417, страница 138 - гдз по алгебре 7 класс учебник Арефьева, Пирютко

Алгебра, 7 класс Учебник, авторы: Арефьева Ирина Глебовна, Пирютко Ольга Николаевна, издательство Народная асвета, Минск, 2022, зелёного цвета

Авторы: Арефьева И. Г., Пирютко О. Н.

Тип: Учебник

Издательство: Народная асвета

Год издания: 2022 - 2026

Цвет обложки: зелёный с графиком

ISBN: ISBN 978-985-03-3770-2

Допущено Министерством образования Республики Беларусь

Глава 2. Выражения и их преобразования. Параграф 14. Разложение многочлена на множители - номер 2.417, страница 138.

№2.417 (с. 138)
Условие. №2.417 (с. 138)
скриншот условия
Алгебра, 7 класс Учебник, авторы: Арефьева Ирина Глебовна, Пирютко Ольга Николаевна, издательство Народная асвета, Минск, 2022, зелёного цвета, страница 138, номер 2.417, Условие

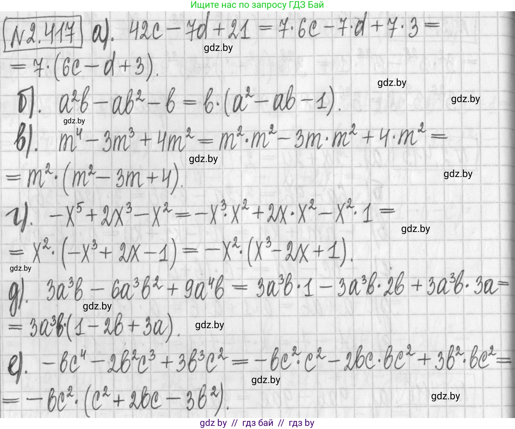
2.417. Вынесите общий множитель за скобки:

а) $42c - 7d + 21;$

б) $a^2b - ab^2 - b;$

в) $m^4 - 3m^3 + 4m^2;$

г) $-x^5 + 2x^3 - x^2;$

д) $3a^3b - 6a^3b^2 + 9a^4b;$

е) $-bc^4 - 2b^2c^3 + 3b^3c^2.$

Решение. №2.417 (с. 138)
Алгебра, 7 класс Учебник, авторы: Арефьева Ирина Глебовна, Пирютко Ольга Николаевна, издательство Народная асвета, Минск, 2022, зелёного цвета, страница 138, номер 2.417, Решение
Решение 2. №2.417 (с. 138)
а) $42c - 7d + 21$

Чтобы вынести общий множитель за скобки, найдем наибольший общий делитель (НОД) для всех членов многочлена.

Члены многочлена: $42c$, $-7d$, $21$.

1. Найдем НОД коэффициентов 42, 7 и 21.
$42 = 6 \cdot 7$
$7 = 1 \cdot 7$
$21 = 3 \cdot 7$
НОД(42, 7, 21) = 7.

2. Общих переменных для всех членов нет.

Общий множитель равен 7. Вынесем его за скобки, разделив каждый член многочлена на 7:

$42c - 7d + 21 = 7(\frac{42c}{7} - \frac{7d}{7} + \frac{21}{7}) = 7(6c - d + 3)$

Ответ: $7(6c - d + 3)$

б) $a^2b - ab^2 - b$

Члены многочлена: $a^2b$, $-ab^2$, $-b$.

1. НОД коэффициентов 1, -1, -1 равен 1.

2. Найдем общие переменные. Переменная $b$ есть в каждом члене. Наименьшая степень, в которой она встречается, - первая ($b^1$).

Общий множитель равен $b$. Вынесем его за скобки:

$a^2b - ab^2 - b = b(\frac{a^2b}{b} - \frac{ab^2}{b} - \frac{b}{b}) = b(a^2 - ab - 1)$

Ответ: $b(a^2 - ab - 1)$

в) $m^4 - 3m^3 + 4m^2$

Члены многочлена: $m^4$, $-3m^3$, $4m^2$.

1. НОД коэффициентов 1, -3, 4 равен 1.

2. Переменная $m$ есть в каждом члене. Наименьшая степень, в которой она встречается, - вторая ($m^2$).

Общий множитель равен $m^2$. Вынесем его за скобки:

$m^4 - 3m^3 + 4m^2 = m^2(\frac{m^4}{m^2} - \frac{3m^3}{m^2} + \frac{4m^2}{m^2}) = m^2(m^2 - 3m + 4)$

Ответ: $m^2(m^2 - 3m + 4)$

г) $-x^5 + 2x^3 - x^2$

Члены многочлена: $-x^5$, $2x^3$, $-x^2$.

1. Переменная $x$ есть в каждом члене. Наименьшая степень, в которой она встречается, - вторая ($x^2$).

2. Поскольку первый член отрицательный, удобно вынести за скобки множитель со знаком минус.

Общий множитель равен $-x^2$. Вынесем его за скобки. При делении на отрицательное число знаки в скобках изменятся на противоположные:

$-x^5 + 2x^3 - x^2 = -x^2(\frac{-x^5}{-x^2} + \frac{2x^3}{-x^2} - \frac{x^2}{-x^2}) = -x^2(x^3 - 2x + 1)$

Ответ: $-x^2(x^3 - 2x + 1)$

д) $3a^3b - 6a^3b^2 + 9a^4b$

Члены многочлена: $3a^3b$, $-6a^3b^2$, $9a^4b$.

1. НОД коэффициентов 3, 6, 9 равен 3.

2. Переменная $a$ есть в каждом члене (наименьшая степень $a^3$). Переменная $b$ есть в каждом члене (наименьшая степень $b^1$).

Общий множитель равен $3a^3b$. Вынесем его за скобки:

$3a^3b - 6a^3b^2 + 9a^4b = 3a^3b(\frac{3a^3b}{3a^3b} - \frac{6a^3b^2}{3a^3b} + \frac{9a^4b}{3a^3b}) = 3a^3b(1 - 2b + 3a)$

Ответ: $3a^3b(1 - 2b + 3a)$

е) $-bc^4 - 2b^2c^3 + 3b^3c^2$

Члены многочлена: $-bc^4$, $-2b^2c^3$, $3b^3c^2$.

1. НОД коэффициентов -1, -2, 3 равен 1.

2. Переменная $b$ есть в каждом члене (наименьшая степень $b^1$). Переменная $c$ есть в каждом члене (наименьшая степень $c^2$).

Общий множитель переменных - $bc^2$. Поскольку первые два члена отрицательны, вынесем за скобки $-bc^2$, чтобы сделать выражение в скобках более простым.

$-bc^4 - 2b^2c^3 + 3b^3c^2 = -bc^2(\frac{-bc^4}{-bc^2} - \frac{2b^2c^3}{-bc^2} + \frac{3b^3c^2}{-bc^2}) = -bc^2(c^2 + 2bc - 3b^2)$

Ответ: $-bc^2(c^2 + 2bc - 3b^2)$

Помогло решение? Оставьте отзыв в комментариях ниже.

Присоединяйтесь к Телеграм-группе @gdz_by_belarus

Присоединиться

Мы подготовили для вас ответ c подробным объяснением домашего задания по алгебре за 7 класс, для упражнения номер 2.417 расположенного на странице 138 к учебнику 2022 года издания для учащихся школ и гимназий.

Теперь на нашем сайте ГДЗ.ТОП вы всегда легко и бесплатно найдёте условие с правильным ответом на вопрос «Как решить ДЗ» и «Как сделать» задание по алгебре к упражнению №2.417 (с. 138), авторов: Арефьева (Ирина Глебовна), Пирютко (Ольга Николаевна), учебного пособия издательства Народная асвета.