Номер 4.138, страница 290 - гдз по алгебре 7 класс учебник Арефьева, Пирютко

Алгебра, 7 класс Учебник, авторы: Арефьева Ирина Глебовна, Пирютко Ольга Николаевна, издательство Народная асвета, Минск, 2022, зелёного цвета

Авторы: Арефьева И. Г., Пирютко О. Н.

Тип: Учебник

Издательство: Народная асвета

Год издания: 2022 - 2026

Цвет обложки: зелёный с графиком

ISBN: ISBN 978-985-03-3770-2

Допущено Министерством образования Республики Беларусь

Глава 4. Системы двух линейных уравнений с двумя переменными. Параграф 25. Решение текстовых задач с помощью системы линейных уравнений - номер 4.138, страница 290.

№4.138 (с. 290)
Условие. №4.138 (с. 290)
скриншот условия
Алгебра, 7 класс Учебник, авторы: Арефьева Ирина Глебовна, Пирютко Ольга Николаевна, издательство Народная асвета, Минск, 2022, зелёного цвета, страница 290, номер 4.138, Условие

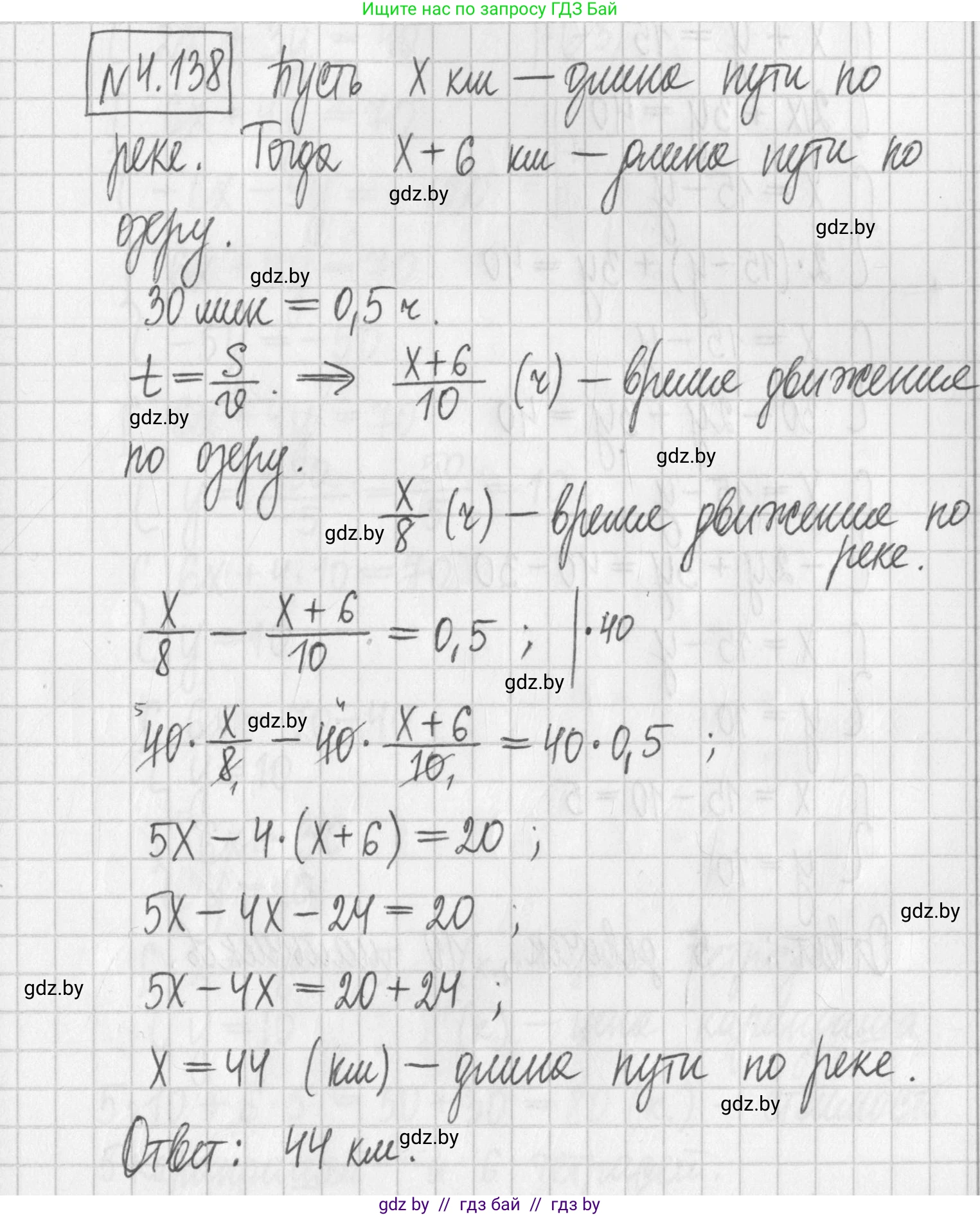
4.138. Катер прошел по озеру на 6 км больше, чем по реке против течения, затратив на путь по реке на 30 мин больше, чем на путь по озеру. Найдите длину пути, который катер прошел по реке, если его скорость при движении по озеру $10 \frac{\text{КМ}}{\text{Ч}}$, а против течения реки $8 \frac{\text{КМ}}{\text{Ч}}$.

Решение. №4.138 (с. 290)
Алгебра, 7 класс Учебник, авторы: Арефьева Ирина Глебовна, Пирютко Ольга Николаевна, издательство Народная асвета, Минск, 2022, зелёного цвета, страница 290, номер 4.138, Решение
Решение 2. №4.138 (с. 290)

Для решения задачи введем переменные и составим уравнение на основе предоставленных данных.

1. Определение переменных и данных

Пусть $x$ км — это длина пути, который катер прошел по реке против течения.

  • Скорость катера по озеру (собственная скорость катера): $v_{озера} = 10 \text{ км/ч}$.
  • Скорость катера против течения реки: $v_{против} = 8 \text{ км/ч}$.
  • Длина пути по реке: $S_{реки} = x \text{ км}$.
  • По условию, катер прошел по озеру на 6 км больше, значит, длина пути по озеру: $S_{озера} = x + 6 \text{ км}$.
  • Время, затраченное на путь по реке, на 30 минут больше, чем на путь по озеру. Переведем 30 минут в часы: $30 \text{ мин} = \frac{1}{2} \text{ ч} = 0.5 \text{ ч}$.

2. Составление уравнения

Воспользуемся основной формулой движения: время = расстояние / скорость ($t = \frac{S}{v}$).

  • Время движения по реке: $t_{реки} = \frac{S_{реки}}{v_{против}} = \frac{x}{8}$ ч.
  • Время движения по озеру: $t_{озера} = \frac{S_{озера}}{v_{озера}} = \frac{x + 6}{10}$ ч.

Так как время в пути по реке на $\frac{1}{2}$ часа больше, чем по озеру, мы можем составить следующее уравнение:

$t_{реки} = t_{озера} + \frac{1}{2}$

$\frac{x}{8} = \frac{x + 6}{10} + \frac{1}{2}$

3. Решение уравнения

Чтобы избавиться от дробей, умножим обе части уравнения на наименьшее общее кратное знаменателей 8, 10 и 2, которое равно 40.

$40 \cdot \left(\frac{x}{8}\right) = 40 \cdot \left(\frac{x + 6}{10}\right) + 40 \cdot \left(\frac{1}{2}\right)$

$5x = 4(x + 6) + 20$

Раскроем скобки в правой части уравнения:

$5x = 4x + 24 + 20$

Приведем подобные слагаемые:

$5x = 4x + 44$

Перенесем слагаемые с $x$ в левую часть уравнения:

$5x - 4x = 44$

$x = 44$

Таким образом, длина пути, который катер прошел по реке, составляет 44 км.

4. Проверка

Выполним проверку, подставив найденное значение $x$ в исходные условия.

  • Длина пути по реке: $S_{реки} = 44$ км.
  • Длина пути по озеру: $S_{озера} = 44 + 6 = 50$ км.
  • Время по реке: $t_{реки} = \frac{44}{8} = 5.5$ часа.
  • Время по озеру: $t_{озера} = \frac{50}{10} = 5$ часов.

Разница во времени составляет $5.5 - 5 = 0.5$ часа, что равно 30 минутам. Решение верное.


Найдите длину пути, который катер прошел по реке
Ответ: 44 км.

Помогло решение? Оставьте отзыв в комментариях ниже.

Присоединяйтесь к Телеграм-группе @gdz_by_belarus

Присоединиться

Мы подготовили для вас ответ c подробным объяснением домашего задания по алгебре за 7 класс, для упражнения номер 4.138 расположенного на странице 290 к учебнику 2022 года издания для учащихся школ и гимназий.

Теперь на нашем сайте ГДЗ.ТОП вы всегда легко и бесплатно найдёте условие с правильным ответом на вопрос «Как решить ДЗ» и «Как сделать» задание по алгебре к упражнению №4.138 (с. 290), авторов: Арефьева (Ирина Глебовна), Пирютко (Ольга Николаевна), учебного пособия издательства Народная асвета.