Номер 4.139, страница 293 - гдз по алгебре 7 класс учебник Арефьева, Пирютко

Алгебра, 7 класс Учебник, авторы: Арефьева Ирина Глебовна, Пирютко Ольга Николаевна, издательство Народная асвета, Минск, 2022, зелёного цвета

Авторы: Арефьева И. Г., Пирютко О. Н.

Тип: Учебник

Издательство: Народная асвета

Год издания: 2022 - 2026

Цвет обложки: зелёный с графиком

ISBN: ISBN 978-985-03-3770-2

Допущено Министерством образования Республики Беларусь

Глава 4. Системы двух линейных уравнений с двумя переменными. Параграф 25. Решение текстовых задач с помощью системы линейных уравнений - номер 4.139, страница 293.

№4.139 (с. 293)
Условие. №4.139 (с. 293)
скриншот условия
Алгебра, 7 класс Учебник, авторы: Арефьева Ирина Глебовна, Пирютко Ольга Николаевна, издательство Народная асвета, Минск, 2022, зелёного цвета, страница 293, номер 4.139, Условие

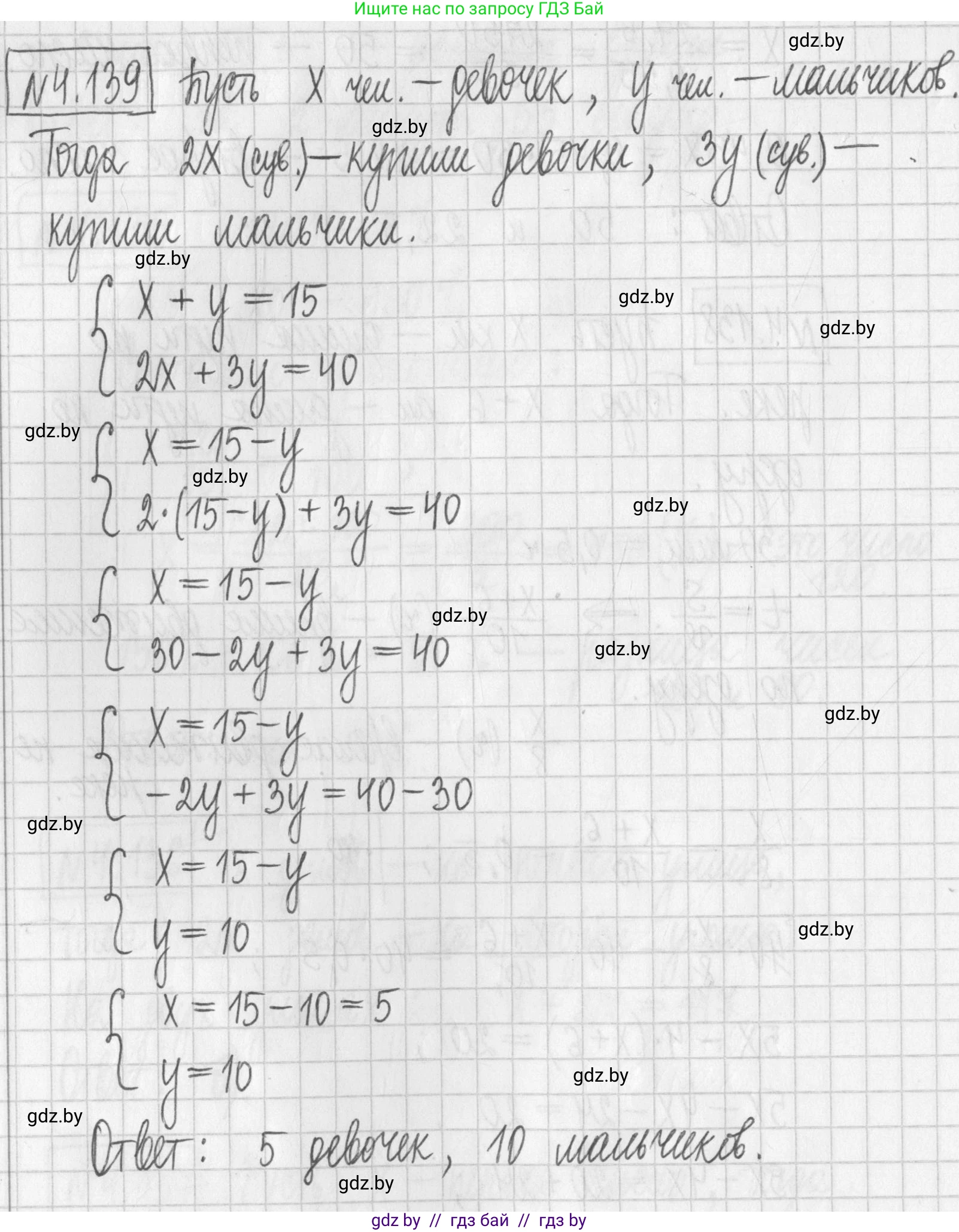
4.139. Во время автобусной экскурсии 15 школьников купили 40 сувениров, причем каждая девочка купила 2 сувенира, а каждый мальчик — 3. Сколько девочек и сколько мальчиков побывали на экскурсии?

Решение. №4.139 (с. 293)
Алгебра, 7 класс Учебник, авторы: Арефьева Ирина Глебовна, Пирютко Ольга Николаевна, издательство Народная асвета, Минск, 2022, зелёного цвета, страница 293, номер 4.139, Решение
Решение 2. №4.139 (с. 293)

Для решения этой задачи необходимо составить и решить систему уравнений с двумя неизвестными. Давайте обозначим:

  • $д$ — количество девочек;
  • $м$ — количество мальчиков.

На основе условий задачи составим два уравнения:

1. Уравнение по количеству школьников.
Всего на экскурсии было 15 школьников. Это означает, что сумма девочек и мальчиков равна 15.
$д + м = 15$

2. Уравнение по количеству сувениров.
Каждая девочка купила 2 сувенира, а каждый мальчик — 3. Общее количество сувениров — 40.
$2 \cdot д + 3 \cdot м = 40$

Теперь у нас есть система из двух уравнений:

$\begin{cases} д + м = 15 \\ 2д + 3м = 40 \end{cases}$

Решим эту систему. Для этого выразим одну переменную через другую из первого уравнения. Например, выразим $д$:

$д = 15 - м$

Подставим это выражение для $д$ во второе уравнение:

$2(15 - м) + 3м = 40$

Раскроем скобки и решим получившееся уравнение:

$30 - 2м + 3м = 40$

Приведем подобные слагаемые:

$30 + м = 40$

Найдем $м$:

$м = 40 - 30$

$м = 10$

Мы нашли, что на экскурсии было 10 мальчиков. Теперь найдем количество девочек, подставив значение $м$ в наше выражение $д = 15 - м$:

$д = 15 - 10$

$д = 5$

Таким образом, на экскурсии было 5 девочек.

Проверка:

  • Всего школьников: $5$ (девочек) $+ 10$ (мальчиков) $= 15$. Верно.
  • Всего сувениров: $(5 \cdot 2) + (10 \cdot 3) = 10 + 30 = 40$. Верно.

Решение найдено правильно.


Сколько девочек побывали на экскурсии? Ответ: 5

Сколько мальчиков побывали на экскурсии? Ответ: 10

Помогло решение? Оставьте отзыв в комментариях ниже.

Присоединяйтесь к Телеграм-группе @gdz_by_belarus

Присоединиться

Мы подготовили для вас ответ c подробным объяснением домашего задания по алгебре за 7 класс, для упражнения номер 4.139 расположенного на странице 293 к учебнику 2022 года издания для учащихся школ и гимназий.

Теперь на нашем сайте ГДЗ.ТОП вы всегда легко и бесплатно найдёте условие с правильным ответом на вопрос «Как решить ДЗ» и «Как сделать» задание по алгебре к упражнению №4.139 (с. 293), авторов: Арефьева (Ирина Глебовна), Пирютко (Ольга Николаевна), учебного пособия издательства Народная асвета.