Номер 4.146, страница 294 - гдз по алгебре 7 класс учебник Арефьева, Пирютко

Алгебра, 7 класс Учебник, авторы: Арефьева Ирина Глебовна, Пирютко Ольга Николаевна, издательство Народная асвета, Минск, 2022, зелёного цвета

Авторы: Арефьева И. Г., Пирютко О. Н.

Тип: Учебник

Издательство: Народная асвета

Год издания: 2022 - 2026

Цвет обложки: зелёный с графиком

ISBN: ISBN 978-985-03-3770-2

Допущено Министерством образования Республики Беларусь

Глава 4. Системы двух линейных уравнений с двумя переменными. Параграф 25. Решение текстовых задач с помощью системы линейных уравнений - номер 4.146, страница 294.

№4.146 (с. 294)
Условие. №4.146 (с. 294)
скриншот условия
Алгебра, 7 класс Учебник, авторы: Арефьева Ирина Глебовна, Пирютко Ольга Николаевна, издательство Народная асвета, Минск, 2022, зелёного цвета, страница 294, номер 4.146, Условие

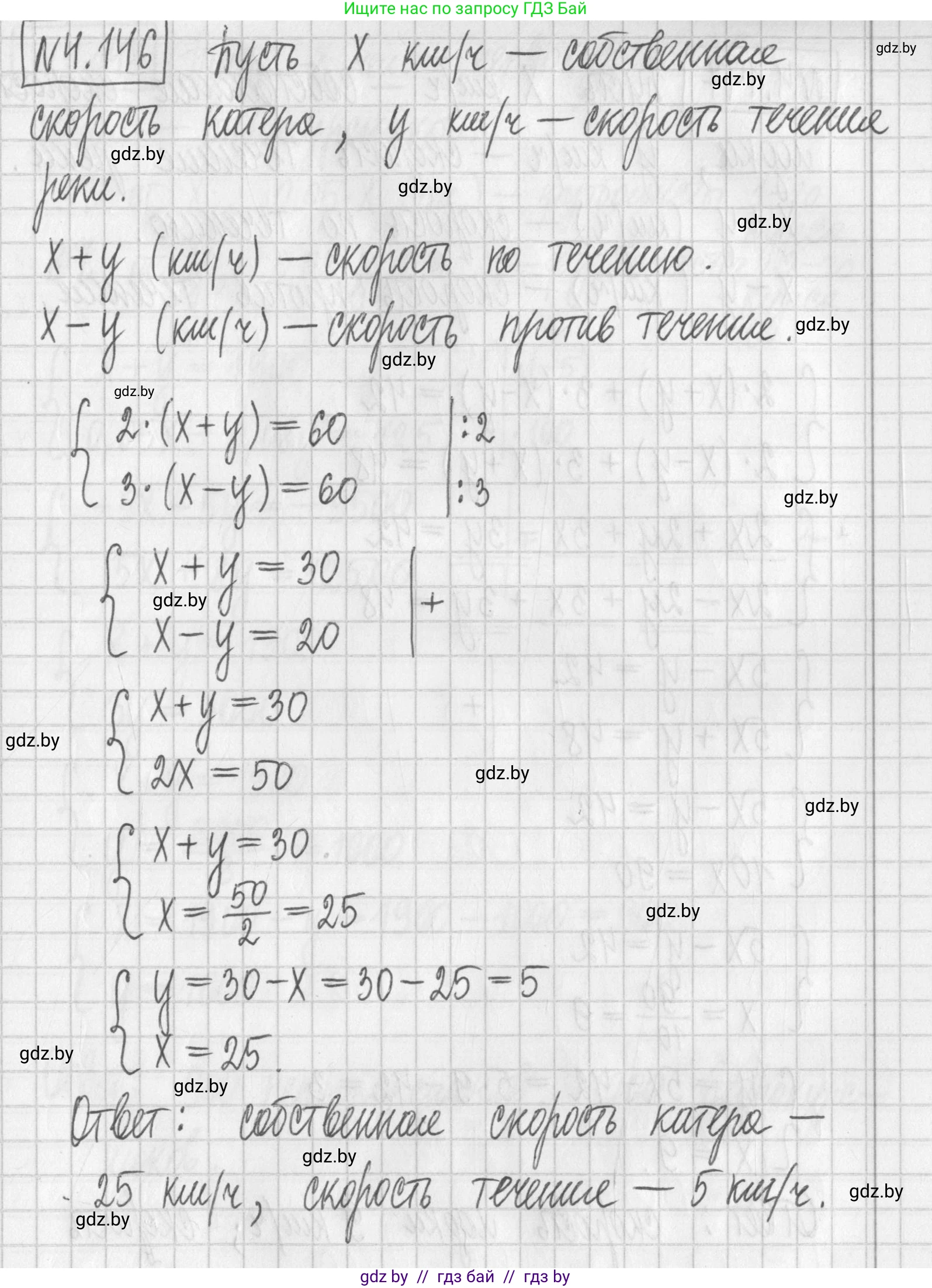
4.146. Катер проходит 60 км по течению реки за 2 ч, а против течения — за 3 ч. Найдите собственную скорость катера и скорость течения реки.

Решение. №4.146 (с. 294)
Алгебра, 7 класс Учебник, авторы: Арефьева Ирина Глебовна, Пирютко Ольга Николаевна, издательство Народная асвета, Минск, 2022, зелёного цвета, страница 294, номер 4.146, Решение
Решение 2. №4.146 (с. 294)

Для решения задачи необходимо найти собственную скорость катера и скорость течения реки. Введем следующие обозначения:

  • $v_с$ — собственная скорость катера (в км/ч)
  • $v_т$ — скорость течения реки (в км/ч)

Когда катер движется по течению, его скорость складывается из собственной скорости и скорости течения. Когда он движется против течения, скорость течения вычитается из его собственной скорости.

1. Найдем скорость катера по течению реки. Он проходит 60 км за 2 часа.

Скорость по течению: $v_{по} = \frac{S}{t} = \frac{60 \text{ км}}{2 \text{ ч}} = 30 \text{ км/ч}$.

Таким образом, мы получаем первое уравнение: $v_с + v_т = 30$.

2. Найдем скорость катера против течения реки. Он проходит 60 км за 3 часа.

Скорость против течения: $v_{против} = \frac{S}{t} = \frac{60 \text{ км}}{3 \text{ ч}} = 20 \text{ км/ч}$.

Таким образом, мы получаем второе уравнение: $v_с - v_т = 20$.

3. Теперь у нас есть система из двух линейных уравнений с двумя неизвестными:

$ \begin{cases} v_с + v_т = 30 \\ v_с - v_т = 20 \end{cases} $

Решив эту систему, мы найдем искомые скорости.

Собственная скорость катера

Чтобы найти собственную скорость катера ($v_с$), сложим два уравнения системы:

$(v_с + v_т) + (v_с - v_т) = 30 + 20$

$2v_с = 50$

$v_с = \frac{50}{2} = 25$ км/ч.

Ответ: собственная скорость катера равна 25 км/ч.

Скорость течения реки

Чтобы найти скорость течения реки ($v_т$), можно подставить найденное значение $v_с$ в любое из уравнений. Подставим в первое:

$25 + v_т = 30$

$v_т = 30 - 25 = 5$ км/ч.

Также можно было вычесть второе уравнение из первого:

$(v_с + v_т) - (v_с - v_т) = 30 - 20$

$2v_т = 10$

$v_т = \frac{10}{2} = 5$ км/ч.

Ответ: скорость течения реки равна 5 км/ч.

Помогло решение? Оставьте отзыв в комментариях ниже.

Присоединяйтесь к Телеграм-группе @gdz_by_belarus

Присоединиться

Мы подготовили для вас ответ c подробным объяснением домашего задания по алгебре за 7 класс, для упражнения номер 4.146 расположенного на странице 294 к учебнику 2022 года издания для учащихся школ и гимназий.

Теперь на нашем сайте ГДЗ.ТОП вы всегда легко и бесплатно найдёте условие с правильным ответом на вопрос «Как решить ДЗ» и «Как сделать» задание по алгебре к упражнению №4.146 (с. 294), авторов: Арефьева (Ирина Глебовна), Пирютко (Ольга Николаевна), учебного пособия издательства Народная асвета.