Номер 3.123, страница 173 - гдз по алгебре 7 класс учебник Арефьева, Пирютко

Алгебра, 7 класс Учебник, авторы: Арефьева Ирина Глебовна, Пирютко Ольга Николаевна, издательство Народная асвета, Минск, 2022, зелёного цвета

Авторы: Арефьева И. Г., Пирютко О. Н.

Тип: Учебник

Издательство: Народная асвета

Год издания: 2022 - 2026

Цвет обложки: зелёный с графиком

ISBN: ISBN 978-985-03-3770-2

Допущено Министерством образования Республики Беларусь

Глава 3. Линейные уравнения. Линейные неравенства. Линейная функция. Параграф 16. Решение текстовых задач с помощью линейных уравнений - номер 3.123, страница 173.

№3.123 (с. 173)
Условие. №3.123 (с. 173)
скриншот условия
Алгебра, 7 класс Учебник, авторы: Арефьева Ирина Глебовна, Пирютко Ольга Николаевна, издательство Народная асвета, Минск, 2022, зелёного цвета, страница 173, номер 3.123, Условие

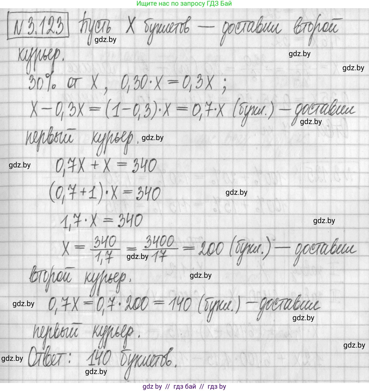
3.123. Два курьера за день доставили 340 рекламных буклетов. Первый курьер доставил на 30 % буклетов меньше, чем второй. Сколько буклетов доставил первый курьер?

Решение. №3.123 (с. 173)
Алгебра, 7 класс Учебник, авторы: Арефьева Ирина Глебовна, Пирютко Ольга Николаевна, издательство Народная асвета, Минск, 2022, зелёного цвета, страница 173, номер 3.123, Решение
Решение 2. №3.123 (с. 173)

Для решения этой задачи необходимо составить уравнение на основе предоставленных данных. Пусть количество буклетов, которые доставил второй курьер, будет $x$.

По условию задачи, первый курьер доставил на 30% буклетов меньше, чем второй. Это означает, что он доставил $100\% - 30\% = 70\%$ от количества буклетов второго курьера. Чтобы выразить это в виде десятичной дроби, разделим 70 на 100:

$70\% = \frac{70}{100} = 0.7$

Таким образом, количество буклетов, доставленных первым курьером, составляет $0.7x$.

Суммарное количество буклетов, доставленных обоими курьерами, равно 340. Мы можем составить уравнение, сложив количество буклетов каждого курьера:

$x$ (буклеты второго курьера) + $0.7x$ (буклеты первого курьера) = $340$

$x + 0.7x = 340$

Теперь решим это уравнение:

$1.7x = 340$

Чтобы найти $x$, разделим обе части уравнения на 1.7:

$x = \frac{340}{1.7}$

Для удобства вычислений, умножим числитель и знаменатель на 10, чтобы избавиться от десятичной дроби в знаменателе:

$x = \frac{3400}{17}$

Выполним деление:

$x = 200$

Итак, мы нашли, что второй курьер доставил 200 буклетов. Теперь, зная это, мы можем ответить на главный вопрос задачи.

Сколько буклетов доставил первый курьер?

Чтобы найти количество буклетов, доставленных первым курьером, мы умножаем количество буклетов второго курьера ($x=200$) на долю первого ($0.7$):

$200 \times 0.7 = 140$

Альтернативный способ расчета через части: общее количество буклетов (340) нужно разделить на сумму долей ($1 + 0.7 = 1.7$) и умножить на долю первого курьера ($0.7$). Это можно записать в виде неправильной дроби:

$\frac{340 \times 0.7}{1.7} = \frac{238}{1.7} = \frac{2380}{17}$

Выделим целую часть из неправильной дроби $\frac{2380}{17}$, выполнив деление:

$\frac{2380}{17} = 140$

Ответ: 140

Помогло решение? Оставьте отзыв в комментариях ниже.

Присоединяйтесь к Телеграм-группе @gdz_by_belarus

Присоединиться

Мы подготовили для вас ответ c подробным объяснением домашего задания по алгебре за 7 класс, для упражнения номер 3.123 расположенного на странице 173 к учебнику 2022 года издания для учащихся школ и гимназий.

Теперь на нашем сайте ГДЗ.ТОП вы всегда легко и бесплатно найдёте условие с правильным ответом на вопрос «Как решить ДЗ» и «Как сделать» задание по алгебре к упражнению №3.123 (с. 173), авторов: Арефьева (Ирина Глебовна), Пирютко (Ольга Николаевна), учебного пособия издательства Народная асвета.