Номер 3.126, страница 174 - гдз по алгебре 7 класс учебник Арефьева, Пирютко

Алгебра, 7 класс Учебник, авторы: Арефьева Ирина Глебовна, Пирютко Ольга Николаевна, издательство Народная асвета, Минск, 2022, зелёного цвета

Авторы: Арефьева И. Г., Пирютко О. Н.

Тип: Учебник

Издательство: Народная асвета

Год издания: 2022 - 2026

Цвет обложки: зелёный с графиком

ISBN: ISBN 978-985-03-3770-2

Допущено Министерством образования Республики Беларусь

Глава 3. Линейные уравнения. Линейные неравенства. Линейная функция. Параграф 16. Решение текстовых задач с помощью линейных уравнений - номер 3.126, страница 174.

№3.126 (с. 174)
Условие. №3.126 (с. 174)
скриншот условия
Алгебра, 7 класс Учебник, авторы: Арефьева Ирина Глебовна, Пирютко Ольга Николаевна, издательство Народная асвета, Минск, 2022, зелёного цвета, страница 174, номер 3.126, Условие

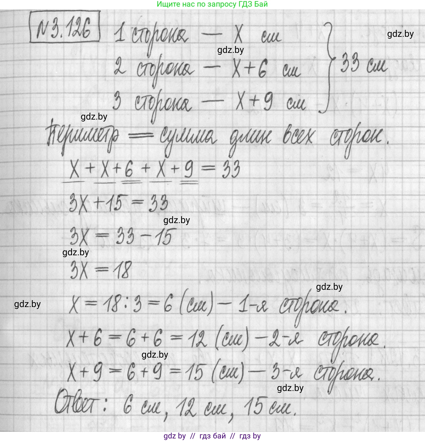
3.126. Одна из сторон треугольника на 6 см меньше другой и на 9 см меньше третьей. Найдите стороны треугольника, если его периметр равен 33 см.

Решение. №3.126 (с. 174)
Алгебра, 7 класс Учебник, авторы: Арефьева Ирина Глебовна, Пирютко Ольга Николаевна, издательство Народная асвета, Минск, 2022, зелёного цвета, страница 174, номер 3.126, Решение
Решение 2. №3.126 (с. 174)

Пусть $x$ см — длина первой, самой короткой стороны треугольника.

Согласно условию задачи:

  • Одна из сторон (назовем ее первой) равна $x$ см.
  • Эта сторона на 6 см меньше второй, значит, вторая сторона равна $(x + 6)$ см.
  • Эта же сторона на 9 см меньше третьей, значит, третья сторона равна $(x + 9)$ см.

Периметр треугольника — это сумма длин всех его сторон. По условию, периметр равен 33 см. Составим и решим уравнение:

$$x + (x + 6) + (x + 9) = 33$$

Раскроем скобки и приведем подобные слагаемые: $$3x + 15 = 33$$

Перенесем 15 в правую часть уравнения с противоположным знаком: $$3x = 33 - 15$$ $$3x = 18$$

Найдем $x$: $$x = \frac{18}{3}$$ $$x = 6$$

Таким образом, мы нашли длину первой стороны. Теперь найдем длины двух других сторон, подставив значение $x$.


Первая сторона: Длина первой стороны равна $x$. Ответ: $6$ см.

Вторая сторона: Длина второй стороны равна $x + 6 = 6 + 6 = 12$ см. Ответ: $12$ см.

Третья сторона: Длина третьей стороны равна $x + 9 = 6 + 9 = 15$ см. Ответ: $15$ см.

Помогло решение? Оставьте отзыв в комментариях ниже.

Присоединяйтесь к Телеграм-группе @gdz_by_belarus

Присоединиться

Мы подготовили для вас ответ c подробным объяснением домашего задания по алгебре за 7 класс, для упражнения номер 3.126 расположенного на странице 174 к учебнику 2022 года издания для учащихся школ и гимназий.

Теперь на нашем сайте ГДЗ.ТОП вы всегда легко и бесплатно найдёте условие с правильным ответом на вопрос «Как решить ДЗ» и «Как сделать» задание по алгебре к упражнению №3.126 (с. 174), авторов: Арефьева (Ирина Глебовна), Пирютко (Ольга Николаевна), учебного пособия издательства Народная асвета.