Номер 3.202, страница 190 - гдз по алгебре 7 класс учебник Арефьева, Пирютко

Алгебра, 7 класс Учебник, авторы: Арефьева Ирина Глебовна, Пирютко Ольга Николаевна, издательство Народная асвета, Минск, 2022, зелёного цвета

Авторы: Арефьева И. Г., Пирютко О. Н.

Тип: Учебник

Издательство: Народная асвета

Год издания: 2022 - 2026

Цвет обложки: зелёный с графиком

ISBN: ISBN 978-985-03-3770-2

Допущено Министерством образования Республики Беларусь

Глава 3. Линейные уравнения. Линейные неравенства. Линейная функция. Параграф 17. Числовые неравенства - номер 3.202, страница 190.

№3.202 (с. 190)
Условие. №3.202 (с. 190)
скриншот условия
Алгебра, 7 класс Учебник, авторы: Арефьева Ирина Глебовна, Пирютко Ольга Николаевна, издательство Народная асвета, Минск, 2022, зелёного цвета, страница 190, номер 3.202, Условие

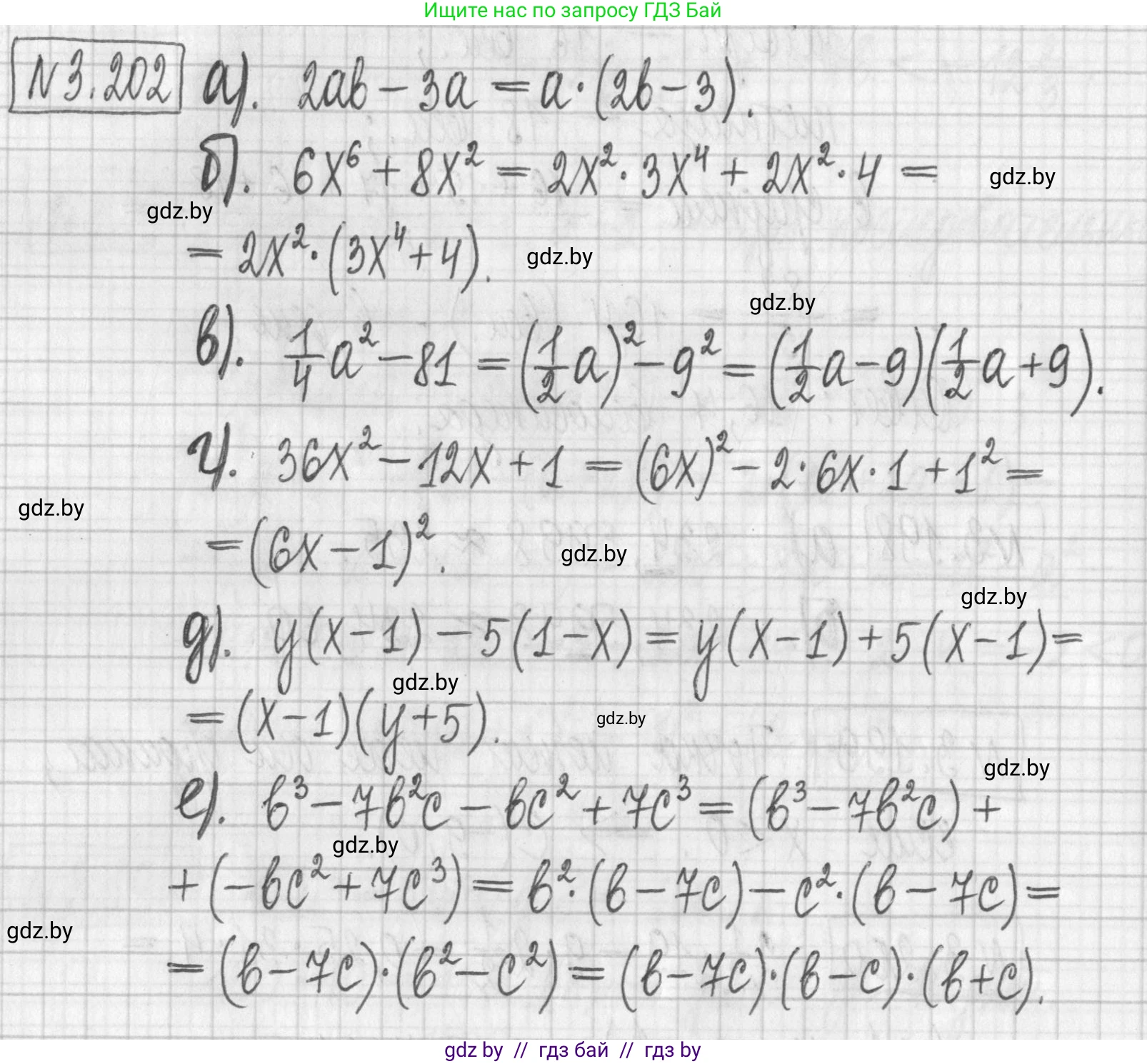
3.202. Разложите на множители:

а) $2ab - 3a;$

б) $6x^6 + 8x^2;$

в) $\frac{1}{4}a^2 - 81;$

г) $36x^2 - 12x + 1;$

д) $y(x - 1) - 5(1 - x);$

е) $b^3 - 7b^2c - bc^2 + 7c^3.$

Решение. №3.202 (с. 190)
Алгебра, 7 класс Учебник, авторы: Арефьева Ирина Глебовна, Пирютко Ольга Николаевна, издательство Народная асвета, Минск, 2022, зелёного цвета, страница 190, номер 3.202, Решение
Решение 2. №3.202 (с. 190)

а) $2ab - 3a$

Для разложения на множители данного выражения необходимо найти общий множитель и вынести его за скобки. В данном случае общим множителем является $a$.

$2ab - 3a = a(2b) - a(3)$

Выносим $a$ за скобки:

$a(2b - 3)$

Ответ: $a(2b - 3)$

б) $6x^6 + 8x^2$

Находим наибольший общий делитель (НОД) для коэффициентов 6 и 8, который равен 2. Затем находим общую переменную с наименьшей степенью, это $x^2$. Таким образом, общий множитель для всего выражения - $2x^2$.

$6x^6 + 8x^2 = 2x^2(3x^{6-2}) + 2x^2(4x^{2-2}) = 2x^2(3x^4 + 4)$

Ответ: $2x^2(3x^4 + 4)$

в) $\frac{1}{4}a^2 - 81$

Данное выражение представляет собой формулу разности квадратов: $A^2 - B^2 = (A - B)(A + B)$.

Представим каждое слагаемое в виде квадрата:

$\frac{1}{4}a^2 = (\frac{1}{2}a)^2$

$81 = 9^2$

Теперь применим формулу:

$(\frac{1}{2}a)^2 - 9^2 = (\frac{1}{2}a - 9)(\frac{1}{2}a + 9)$

Ответ: $(\frac{1}{2}a - 9)(\frac{1}{2}a + 9)$

г) $36x^2 - 12x + 1$

Это выражение является полным квадратом и соответствует формуле квадрата разности: $A^2 - 2AB + B^2 = (A - B)^2$.

Определим $A$ и $B$:

$A^2 = 36x^2 \Rightarrow A = 6x$

$B^2 = 1 \Rightarrow B = 1$

Проверим средний член: $2AB = 2 \cdot 6x \cdot 1 = 12x$. Знак "минус" перед ним соответствует формуле.

Следовательно, выражение сворачивается в квадрат разности:

$36x^2 - 12x + 1 = (6x - 1)^2$

Ответ: $(6x - 1)^2$

д) $y(x - 1) - 5(1 - x)$

Заметим, что выражения в скобках отличаются только знаком: $(1 - x) = -(x - 1)$. Произведем замену:

$y(x - 1) - 5(-(x - 1)) = y(x - 1) + 5(x - 1)$

Теперь у нас есть общий множитель $(x - 1)$, который можно вынести за скобку:

$(x - 1)(y + 5)$

Ответ: $(x - 1)(y + 5)$

е) $b^3 - 7b^2c - bc^2 + 7c^3$

Применим метод группировки слагаемых. Сгруппируем первое со вторым и третье с четвертым:

$(b^3 - 7b^2c) + (-bc^2 + 7c^3)$

Вынесем общие множители из каждой группы:

Из первой группы выносим $b^2$: $b^2(b - 7c)$

Из второй группы выносим $-c^2$: $-c^2(b - 7c)$

Получим: $b^2(b - 7c) - c^2(b - 7c)$

Теперь выносим общий множитель $(b - 7c)$:

$(b - 7c)(b^2 - c^2)$

Вторая скобка $(b^2 - c^2)$ является разностью квадратов, которую также можно разложить:

$(b - 7c)(b - c)(b + c)$

Ответ: $(b - 7c)(b - c)(b + c)$

Помогло решение? Оставьте отзыв в комментариях ниже.

Присоединяйтесь к Телеграм-группе @gdz_by_belarus

Присоединиться

Мы подготовили для вас ответ c подробным объяснением домашего задания по алгебре за 7 класс, для упражнения номер 3.202 расположенного на странице 190 к учебнику 2022 года издания для учащихся школ и гимназий.

Теперь на нашем сайте ГДЗ.ТОП вы всегда легко и бесплатно найдёте условие с правильным ответом на вопрос «Как решить ДЗ» и «Как сделать» задание по алгебре к упражнению №3.202 (с. 190), авторов: Арефьева (Ирина Глебовна), Пирютко (Ольга Николаевна), учебного пособия издательства Народная асвета.