Номер 3.207, страница 197 - гдз по алгебре 7 класс учебник Арефьева, Пирютко

Алгебра, 7 класс Учебник, авторы: Арефьева Ирина Глебовна, Пирютко Ольга Николаевна, издательство Народная асвета, Минск, 2022, зелёного цвета

Авторы: Арефьева И. Г., Пирютко О. Н.

Тип: Учебник

Издательство: Народная асвета

Год издания: 2022 - 2026

Цвет обложки: зелёный с графиком

ISBN: ISBN 978-985-03-3770-2

Допущено Министерством образования Республики Беларусь

Глава 3. Линейные уравнения. Линейные неравенства. Линейная функция. Параграф 18. Линейные неравенства с одной переменной - номер 3.207, страница 197.

№3.207 (с. 197)
Условие. №3.207 (с. 197)
скриншот условия
Алгебра, 7 класс Учебник, авторы: Арефьева Ирина Глебовна, Пирютко Ольга Николаевна, издательство Народная асвета, Минск, 2022, зелёного цвета, страница 197, номер 3.207, Условие

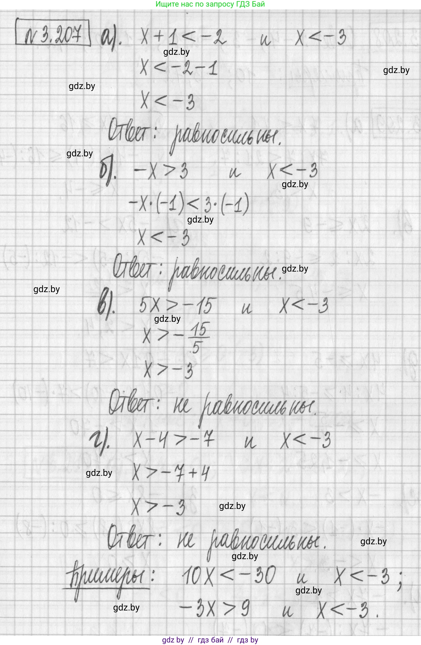
3.207. Из данных неравенств выберите неравенства, равносильные неравенству $x < -3$:

а) $x + 1 < -2$;

б) $-x > 3$;

в) $5x > -15$;

г) $x - 4 > -7$.

Придумайте еще два примера неравенств, равносильных данному.

Решение. №3.207 (с. 197)
Алгебра, 7 класс Учебник, авторы: Арефьева Ирина Глебовна, Пирютко Ольга Николаевна, издательство Народная асвета, Минск, 2022, зелёного цвета, страница 197, номер 3.207, Решение
Решение 2. №3.207 (с. 197)

Два неравенства называются равносильными, если множества их решений совпадают. Чтобы выбрать неравенства, равносильные $x < -3$, необходимо решить каждое из предложенных неравенств.

а) $x + 1 < -2$
Перенесем 1 в правую часть неравенства, изменив знак на противоположный:
$x < -2 - 1$
$x < -3$
Полученное решение совпадает с исходным неравенством, следовательно, они равносильны.
Ответ: Неравенство равносильно данному.

б) $-x > 3$
Умножим обе части неравенства на -1. При умножении на отрицательное число знак неравенства необходимо изменить на противоположный:
$(-1) \cdot (-x) < (-1) \cdot 3$
$x < -3$
Полученное решение совпадает с исходным неравенством, следовательно, они равносильны.
Ответ: Неравенство равносильно данному.

в) $5x > -15$
Разделим обе части неравенства на 5. Так как 5 - положительное число, знак неравенства не меняется:
$\frac{5x}{5} > \frac{-15}{5}$
$x > -3$
Множество решений ($x > -3$) не совпадает с множеством решений исходного неравенства ($x < -3$).
Ответ: Неравенство не является равносильным данному.

г) $x - 4 > -7$
Перенесем -4 в правую часть неравенства, изменив знак на противоположный:
$x > -7 + 4$
$x > -3$
Множество решений ($x > -3$) не совпадает с множеством решений исходного неравенства ($x < -3$).
Ответ: Неравенство не является равносильным данному.

Таким образом, из предложенных неравенств равносильными $x < -3$ являются неравенства а) и б).

Придумайте еще два примера неравенств, равносильных данному.

Чтобы создать равносильное неравенство, можно выполнить равносильные преобразования над исходным неравенством $x < -3$.

Пример 1: Добавим к обеим частям неравенства число 10.
$x + 10 < -3 + 10$
$x + 10 < 7$
Ответ: $x + 10 < 7$.

Пример 2: Умножим обе части неравенства на -4 и изменим знак неравенства на противоположный.
$x \cdot (-4) > -3 \cdot (-4)$
$-4x > 12$
Ответ: $-4x > 12$.

Помогло решение? Оставьте отзыв в комментариях ниже.

Присоединяйтесь к Телеграм-группе @gdz_by_belarus

Присоединиться

Мы подготовили для вас ответ c подробным объяснением домашего задания по алгебре за 7 класс, для упражнения номер 3.207 расположенного на странице 197 к учебнику 2022 года издания для учащихся школ и гимназий.

Теперь на нашем сайте ГДЗ.ТОП вы всегда легко и бесплатно найдёте условие с правильным ответом на вопрос «Как решить ДЗ» и «Как сделать» задание по алгебре к упражнению №3.207 (с. 197), авторов: Арефьева (Ирина Глебовна), Пирютко (Ольга Николаевна), учебного пособия издательства Народная асвета.