Номер 3.210, страница 198 - гдз по алгебре 7 класс учебник Арефьева, Пирютко

Алгебра, 7 класс Учебник, авторы: Арефьева Ирина Глебовна, Пирютко Ольга Николаевна, издательство Народная асвета, Минск, 2022, зелёного цвета

Авторы: Арефьева И. Г., Пирютко О. Н.

Тип: Учебник

Издательство: Народная асвета

Год издания: 2022 - 2026

Цвет обложки: зелёный с графиком

ISBN: ISBN 978-985-03-3770-2

Допущено Министерством образования Республики Беларусь

Глава 3. Линейные уравнения. Линейные неравенства. Линейная функция. Параграф 18. Линейные неравенства с одной переменной - номер 3.210, страница 198.

№3.210 (с. 198)
Условие. №3.210 (с. 198)
скриншот условия
Алгебра, 7 класс Учебник, авторы: Арефьева Ирина Глебовна, Пирютко Ольга Николаевна, издательство Народная асвета, Минск, 2022, зелёного цвета, страница 198, номер 3.210, Условие

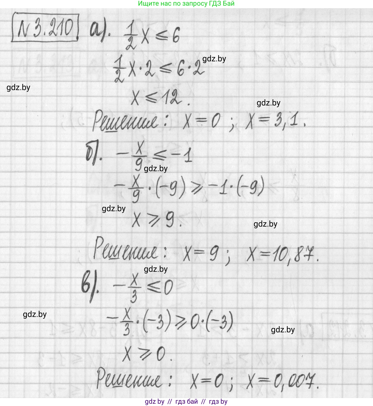
3.210. Решите линейное неравенство и укажите два каких-либо числа, которые являются его решениями:

а) $ \frac{1}{2}x \le 6; $

б) $ -\frac{x}{9} \le -1; $

в) $ -\frac{x}{3} \le 0. $

Решение. №3.210 (с. 198)
Алгебра, 7 класс Учебник, авторы: Арефьева Ирина Глебовна, Пирютко Ольга Николаевна, издательство Народная асвета, Минск, 2022, зелёного цвета, страница 198, номер 3.210, Решение
Решение 2. №3.210 (с. 198)

а) Решим неравенство $\frac{1}{2}x \le 6$.

Чтобы найти неизвестную $x$, нужно избавиться от коэффициента $\frac{1}{2}$ перед ней. Для этого умножим обе части неравенства на 2. Так как 2 — это положительное число, знак неравенства ($\le$) не изменяется.

$(\frac{1}{2}x) \cdot 2 \le 6 \cdot 2$

$x \le 12$

Решением неравенства является любое число, которое меньше или равно 12, то есть число из промежутка $(-\infty, 12]$.

В качестве двух чисел, которые являются решениями, можно выбрать любые два числа, удовлетворяющие этому условию. Например, числа 12 и 10.

Ответ: $x \le 12$. Два числа-решения: 12 и 10.


б) Решим неравенство $-\frac{x}{9} \le -1$.

Чтобы найти $x$, умножим обе части неравенства на -9. Важно помнить, что при умножении или делении неравенства на отрицательное число, его знак меняется на противоположный (в данном случае знак $\le$ поменяется на $\ge$).

$(-\frac{x}{9}) \cdot (-9) \ge (-1) \cdot (-9)$

$x \ge 9$

Решением неравенства является любое число, которое больше или равно 9, то есть число из промежутка $[9, +\infty)$.

Укажем два числа, являющихся решением, например, 9 и 15. Для проверки подставим число 15 в исходное неравенство: $-\frac{15}{9} \le -1$. Сократим дробь $\frac{15}{9}$ на 3, получим $\frac{5}{3}$. Таким образом, неравенство принимает вид $-\frac{5}{3} \le -1$. Теперь выделим целую часть из неправильной дроби: $-\frac{5}{3} = -1\frac{2}{3}$. Получаем $-1\frac{2}{3} \le -1$, что является верным утверждением.

Ответ: $x \ge 9$. Два числа-решения: 9 и 15.


в) Решим неравенство $-\frac{x}{3} \le 0$.

Чтобы найти $x$, умножим обе части неравенства на -3. Так как мы умножаем на отрицательное число, знак неравенства $\le$ необходимо поменять на противоположный, то есть на $\ge$.

$(-\frac{x}{3}) \cdot (-3) \ge 0 \cdot (-3)$

$x \ge 0$

Решением неравенства является любое число, которое больше или равно 0, то есть число из промежутка $[0, +\infty)$.

Укажем два числа, которые являются решениями, например, 0 и 3.

Ответ: $x \ge 0$. Два числа-решения: 0 и 3.

Помогло решение? Оставьте отзыв в комментариях ниже.

Присоединяйтесь к Телеграм-группе @gdz_by_belarus

Присоединиться

Мы подготовили для вас ответ c подробным объяснением домашего задания по алгебре за 7 класс, для упражнения номер 3.210 расположенного на странице 198 к учебнику 2022 года издания для учащихся школ и гимназий.

Теперь на нашем сайте ГДЗ.ТОП вы всегда легко и бесплатно найдёте условие с правильным ответом на вопрос «Как решить ДЗ» и «Как сделать» задание по алгебре к упражнению №3.210 (с. 198), авторов: Арефьева (Ирина Глебовна), Пирютко (Ольга Николаевна), учебного пособия издательства Народная асвета.