Номер 3.251, страница 203 - гдз по алгебре 7 класс учебник Арефьева, Пирютко

Алгебра, 7 класс Учебник, авторы: Арефьева Ирина Глебовна, Пирютко Ольга Николаевна, издательство Народная асвета, Минск, 2022, зелёного цвета

Авторы: Арефьева И. Г., Пирютко О. Н.

Тип: Учебник

Издательство: Народная асвета

Год издания: 2022 - 2026

Цвет обложки: зелёный с графиком

ISBN: ISBN 978-985-03-3770-2

Допущено Министерством образования Республики Беларусь

Глава 3. Линейные уравнения. Линейные неравенства. Линейная функция. Параграф 18. Линейные неравенства с одной переменной - номер 3.251, страница 203.

№3.251 (с. 203)
Условие. №3.251 (с. 203)
скриншот условия
Алгебра, 7 класс Учебник, авторы: Арефьева Ирина Глебовна, Пирютко Ольга Николаевна, издательство Народная асвета, Минск, 2022, зелёного цвета, страница 203, номер 3.251, Условие

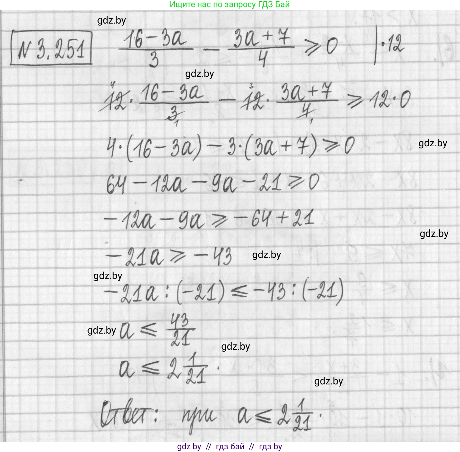
3.251. Найдите, при каких значениях переменной $a$ разность дробей $\frac{16-3a}{3}$ и $\frac{3a+7}{4}$ неотрицательна.

Решение. №3.251 (с. 203)
Алгебра, 7 класс Учебник, авторы: Арефьева Ирина Глебовна, Пирютко Ольга Николаевна, издательство Народная асвета, Минск, 2022, зелёного цвета, страница 203, номер 3.251, Решение
Решение 2. №3.251 (с. 203)
Найдите, при каких значениях переменной а разность дробей $ \frac{16-3a}{3} $ и $ \frac{3a+7}{4} $ неотрицательна.

Согласно условию задачи, разность дробей должна быть неотрицательной. "Неотрицательна" означает "больше или равна нулю" ($\ge 0$). Составим неравенство, вычитая из первой дроби вторую:

$ \frac{16-3a}{3} - \frac{3a+7}{4} \ge 0 $

Для решения данного неравенства приведем дроби к общему знаменателю. Наименьший общий знаменатель для 3 и 4 равен 12. Умножим числитель и знаменатель первой дроби на 4, а второй дроби — на 3:

$ \frac{4 \cdot (16-3a)}{12} - \frac{3 \cdot (3a+7)}{12} \ge 0 $

Теперь запишем левую часть неравенства в виде одной дроби:

$ \frac{4(16-3a) - 3(3a+7)}{12} \ge 0 $

Раскроем скобки в числителе и приведем подобные слагаемые:

$ \frac{64 - 12a - 9a - 21}{12} \ge 0 $

$ \frac{43 - 21a}{12} \ge 0 $

Знаменатель дроби (12) является положительным числом, поэтому знак всей дроби определяется знаком ее числителя. Таким образом, для выполнения неравенства необходимо, чтобы числитель был неотрицательным:

$ 43 - 21a \ge 0 $

Решим полученное линейное неравенство относительно переменной $a$:

$ 43 \ge 21a $

Разделим обе части неравенства на 21. Так как мы делим на положительное число, знак неравенства сохраняется:

$ \frac{43}{21} \ge a $

Запишем результат в более привычном виде:

$ a \le \frac{43}{21} $

Чтобы завершить решение, выделим целую часть из неправильной дроби $ \frac{43}{21} $:

$ \frac{43}{21} = 2 \frac{1}{21} $

Ответ: $ a \le \mathbf{2}\frac{1}{21} $

Помогло решение? Оставьте отзыв в комментариях ниже.

Присоединяйтесь к Телеграм-группе @gdz_by_belarus

Присоединиться

Мы подготовили для вас ответ c подробным объяснением домашего задания по алгебре за 7 класс, для упражнения номер 3.251 расположенного на странице 203 к учебнику 2022 года издания для учащихся школ и гимназий.

Теперь на нашем сайте ГДЗ.ТОП вы всегда легко и бесплатно найдёте условие с правильным ответом на вопрос «Как решить ДЗ» и «Как сделать» задание по алгебре к упражнению №3.251 (с. 203), авторов: Арефьева (Ирина Глебовна), Пирютко (Ольга Николаевна), учебного пособия издательства Народная асвета.