Номер 3.254, страница 204 - гдз по алгебре 7 класс учебник Арефьева, Пирютко

Алгебра, 7 класс Учебник, авторы: Арефьева Ирина Глебовна, Пирютко Ольга Николаевна, издательство Народная асвета, Минск, 2022, зелёного цвета

Авторы: Арефьева И. Г., Пирютко О. Н.

Тип: Учебник

Издательство: Народная асвета

Год издания: 2022 - 2026

Цвет обложки: зелёный с графиком

ISBN: ISBN 978-985-03-3770-2

Допущено Министерством образования Республики Беларусь

Глава 3. Линейные уравнения. Линейные неравенства. Линейная функция. Параграф 18. Линейные неравенства с одной переменной - номер 3.254, страница 204.

№3.254 (с. 204)
Условие. №3.254 (с. 204)
скриншот условия
Алгебра, 7 класс Учебник, авторы: Арефьева Ирина Глебовна, Пирютко Ольга Николаевна, издательство Народная асвета, Минск, 2022, зелёного цвета, страница 204, номер 3.254, Условие

3.254. Примените формулы сокращенного умножения и решите неравенство:

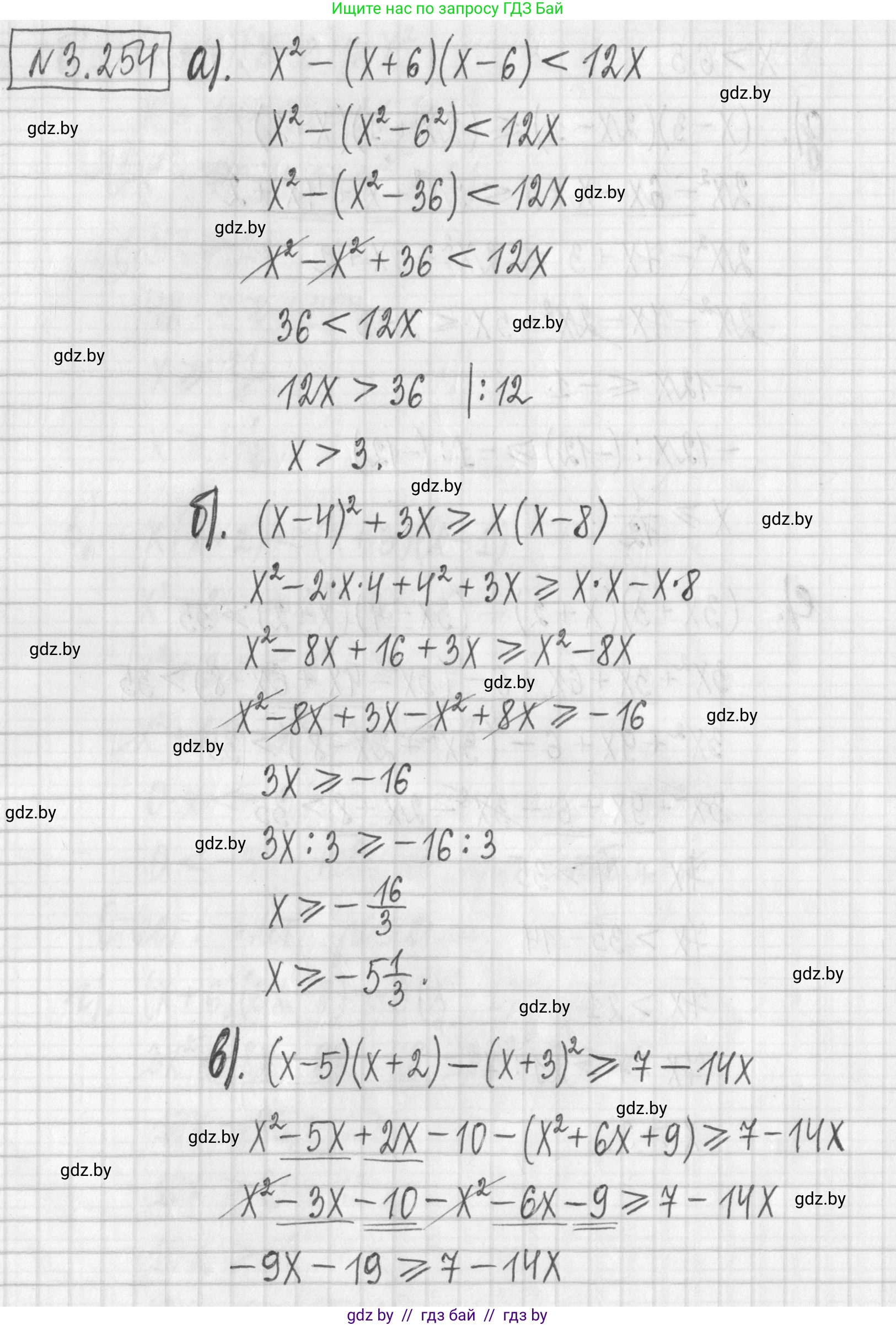
а) $x^2 - (x+6)(x-6) < 12x;$

б) $(x-4)^2 + 3x \ge x(x-8);$

в) $(x-5)(x+2) - (x+3)^2 \ge 7 - 14x;$

г) $(3x-1)^2 - (x+1)^2 \le (4x+3)(2x+1).$

Решение. №3.254 (с. 204)
Алгебра, 7 класс Учебник, авторы: Арефьева Ирина Глебовна, Пирютко Ольга Николаевна, издательство Народная асвета, Минск, 2022, зелёного цвета, страница 204, номер 3.254, Решение Алгебра, 7 класс Учебник, авторы: Арефьева Ирина Глебовна, Пирютко Ольга Николаевна, издательство Народная асвета, Минск, 2022, зелёного цвета, страница 204, номер 3.254, Решение (продолжение 2)
Решение 2. №3.254 (с. 204)

а) $x^2 - (x+6)(x-6) < 12x$

Для решения данного неравенства применим формулу сокращенного умножения "разность квадратов": $(a-b)(a+b) = a^2 - b^2$.

В нашем случае $(x+6)(x-6) = x^2 - 6^2 = x^2 - 36$.

Подставим полученное выражение в исходное неравенство:

$x^2 - (x^2 - 36) < 12x$

Раскроем скобки. Так как перед скобкой стоит знак минус, знаки внутри скобок меняются на противоположные:

$x^2 - x^2 + 36 < 12x$

Приведем подобные слагаемые в левой части:

$36 < 12x$

Чтобы найти $x$, разделим обе части неравенства на 12. Так как 12 — положительное число, знак неравенства не меняется:

$\frac{36}{12} < x$

$3 < x$

Ответ: $x > 3$.

б) $(x-4)^2 + 3x \ge x(x-8)$

В левой части неравенства применим формулу "квадрат разности": $(a-b)^2 = a^2 - 2ab + b^2$. В правой части раскроем скобки.

$(x-4)^2 = x^2 - 2 \cdot x \cdot 4 + 4^2 = x^2 - 8x + 16$.

$x(x-8) = x^2 - 8x$.

Подставим выражения в неравенство:

$(x^2 - 8x + 16) + 3x \ge x^2 - 8x$

Приведем подобные слагаемые в левой части:

$x^2 - 5x + 16 \ge x^2 - 8x$

Перенесем слагаемые с переменной $x$ в левую часть, а постоянные — в правую (в данном случае удобнее перенести все $x$ влево):

$x^2 - x^2 - 5x + 8x \ge -16$

$3x \ge -16$

Разделим обе части на 3:

$x \ge -\frac{16}{3}$

Выделим целую часть из неправильной дроби:

$-\frac{16}{3} = -5\frac{1}{3}$

Ответ: $x \ge -5\frac{1}{3}$.

в) $(x-5)(x+2) - (x+3)^2 \ge 7 - 14x$

Раскроем скобки в левой части. Для $(x+3)^2$ применим формулу "квадрат суммы": $(a+b)^2 = a^2 + 2ab + b^2$.

$(x-5)(x+2) = x^2 + 2x - 5x - 10 = x^2 - 3x - 10$.

$(x+3)^2 = x^2 + 2 \cdot x \cdot 3 + 3^2 = x^2 + 6x + 9$.

Подставим в неравенство:

$(x^2 - 3x - 10) - (x^2 + 6x + 9) \ge 7 - 14x$

Раскроем вторые скобки, меняя знаки:

$x^2 - 3x - 10 - x^2 - 6x - 9 \ge 7 - 14x$

Приведем подобные слагаемые в левой части:

$-9x - 19 \ge 7 - 14x$

Перенесем слагаемые с $x$ в левую часть, а числа — в правую:

$-9x + 14x \ge 7 + 19$

$5x \ge 26$

Разделим обе части на 5:

$x \ge \frac{26}{5}$

Выделим целую часть из неправильной дроби:

$\frac{26}{5} = 5\frac{1}{5}$

Ответ: $x \ge 5\frac{1}{5}$.

г) $(3x-1)^2 - (x+1)^2 \le (4x+3)(2x+1)$

К левой части применим формулу "разность квадратов" $a^2 - b^2 = (a-b)(a+b)$, где $a = 3x-1$ и $b = x+1$. Правую часть раскроем, перемножив многочлены.

Левая часть: $((3x-1) - (x+1))((3x-1) + (x+1)) = (3x-1-x-1)(3x-1+x+1) = (2x-2)(4x) = 8x^2 - 8x$.

Правая часть: $(4x+3)(2x+1) = 8x^2 + 4x + 6x + 3 = 8x^2 + 10x + 3$.

Подставим полученные выражения в неравенство:

$8x^2 - 8x \le 8x^2 + 10x + 3$

Вычтем $8x^2$ из обеих частей:

$-8x \le 10x + 3$

Перенесем слагаемые с $x$ в одну сторону, а числа — в другую. Удобнее перенести $-8x$ вправо, чтобы коэффициент при $x$ был положительным:

$0 \le 10x + 8x + 3$

$0 \le 18x + 3$

$-3 \le 18x$

Разделим обе части на 18:

$-\frac{3}{18} \le x$

Сократим дробь:

$-\frac{1}{6} \le x$

Ответ: $x \ge -\frac{1}{6}$.

Помогло решение? Оставьте отзыв в комментариях ниже.

Присоединяйтесь к Телеграм-группе @gdz_by_belarus

Присоединиться

Мы подготовили для вас ответ c подробным объяснением домашего задания по алгебре за 7 класс, для упражнения номер 3.254 расположенного на странице 204 к учебнику 2022 года издания для учащихся школ и гимназий.

Теперь на нашем сайте ГДЗ.ТОП вы всегда легко и бесплатно найдёте условие с правильным ответом на вопрос «Как решить ДЗ» и «Как сделать» задание по алгебре к упражнению №3.254 (с. 204), авторов: Арефьева (Ирина Глебовна), Пирютко (Ольга Николаевна), учебного пособия издательства Народная асвета.