Номер 8, страница 144 - гдз по алгебре 7 класс учебник Арефьева, Пирютко

Алгебра, 7 класс Учебник, авторы: Арефьева Ирина Глебовна, Пирютко Ольга Николаевна, издательство Народная асвета, Минск, 2022, зелёного цвета

Авторы: Арефьева И. Г., Пирютко О. Н.

Тип: Учебник

Издательство: Народная асвета

Год издания: 2022 - 2026

Цвет обложки: зелёный с графиком

ISBN: ISBN 978-985-03-3770-2

Допущено Министерством образования Республики Беларусь

Глава 2. Выражения и их преобразования. Я проверяю свои знания - номер 8, страница 144.

№8 (с. 144)
Условие. №8 (с. 144)
скриншот условия
Алгебра, 7 класс Учебник, авторы: Арефьева Ирина Глебовна, Пирютко Ольга Николаевна, издательство Народная асвета, Минск, 2022, зелёного цвета, страница 144, номер 8, Условие

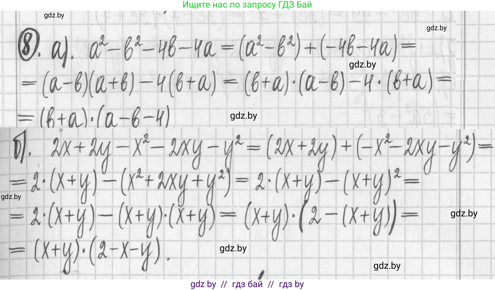
8. Примените комбинацию различных способов и разложите на множители многочлен:

а) $a^2 - b^2 - 4b - 4a$;

б) $2x + 2y - x^2 - 2xy - y^2$.

Решение. №8 (с. 144)
Алгебра, 7 класс Учебник, авторы: Арефьева Ирина Глебовна, Пирютко Ольга Николаевна, издательство Народная асвета, Минск, 2022, зелёного цвета, страница 144, номер 8, Решение
Решение 2. №8 (с. 144)

Разложение многочленов на множители

Для решения данной задачи мы применим комбинацию методов: группировку слагаемых и использование формул сокращенного умножения.

а) Рассмотрим многочлен $a^2 - b^2 - 4b - 4a$.

1. Сгруппируем слагаемые. Наиболее удобный способ — объединить слагаемые, образующие известные формулы. В данном случае это разность квадратов $a^2 - b^2$ и слагаемые с коэффициентом 4.

$a^2 - b^2 - 4b - 4a = (a^2 - b^2) - (4a + 4b)$

2. Применим формулу разности квадратов $x^2 - y^2 = (x-y)(x+y)$ к первой группе:

$(a - b)(a + b) - (4a + 4b)$

3. Во второй группе вынесем общий множитель 4 за скобки:

$(a - b)(a + b) - 4(a + b)$

4. Теперь у нас есть общий множитель $(a+b)$, который мы можем вынести за скобки:

$(a + b) \cdot ((a - b) - 4)$

5. Раскроем внутренние скобки и получим окончательный результат:

$(a + b)(a - b - 4)$

Ответ: $(a + b)(a - b - 4)$.

б) Рассмотрим многочлен $2x + 2y - x^2 - 2xy - y^2$.

1. Сгруппируем слагаемые. Заметим, что слагаемые $-x^2 - 2xy - y^2$ образуют формулу квадрата суммы, если вынести за скобки знак "минус".

$2x + 2y - x^2 - 2xy - y^2 = (2x + 2y) - (x^2 + 2xy + y^2)$

2. В первой группе вынесем общий множитель 2. Вторую группу свернем по формуле квадрата суммы $(a+b)^2 = a^2 + 2ab + b^2$:

$2(x + y) - (x + y)^2$

3. Теперь у нас есть общий множитель $(x+y)$, который мы выносим за скобки:

$(x + y) \cdot (2 - (x + y))$

4. Раскроем внутренние скобки во втором множителе:

$(x + y)(2 - x - y)$

Ответ: $(x + y)(2 - x - y)$.

Помогло решение? Оставьте отзыв в комментариях ниже.

Присоединяйтесь к Телеграм-группе @gdz_by_belarus

Присоединиться

Мы подготовили для вас ответ c подробным объяснением домашего задания по алгебре за 7 класс, для упражнения номер 8 расположенного на странице 144 к учебнику 2022 года издания для учащихся школ и гимназий.

Теперь на нашем сайте ГДЗ.ТОП вы всегда легко и бесплатно найдёте условие с правильным ответом на вопрос «Как решить ДЗ» и «Как сделать» задание по алгебре к упражнению №8 (с. 144), авторов: Арефьева (Ирина Глебовна), Пирютко (Ольга Николаевна), учебного пособия издательства Народная асвета.