Номер 10, страница 144 - гдз по алгебре 7 класс учебник Арефьева, Пирютко

Алгебра, 7 класс Учебник, авторы: Арефьева Ирина Глебовна, Пирютко Ольга Николаевна, издательство Народная асвета, Минск, 2022, зелёного цвета

Авторы: Арефьева И. Г., Пирютко О. Н.

Тип: Учебник

Издательство: Народная асвета

Год издания: 2022 - 2026

Цвет обложки: зелёный с графиком

ISBN: ISBN 978-985-03-3770-2

Допущено Министерством образования Республики Беларусь

Глава 2. Выражения и их преобразования. Я проверяю свои знания - номер 10, страница 144.

№10 (с. 144)
Условие. №10 (с. 144)
скриншот условия
Алгебра, 7 класс Учебник, авторы: Арефьева Ирина Глебовна, Пирютко Ольга Николаевна, издательство Народная асвета, Минск, 2022, зелёного цвета, страница 144, номер 10, Условие

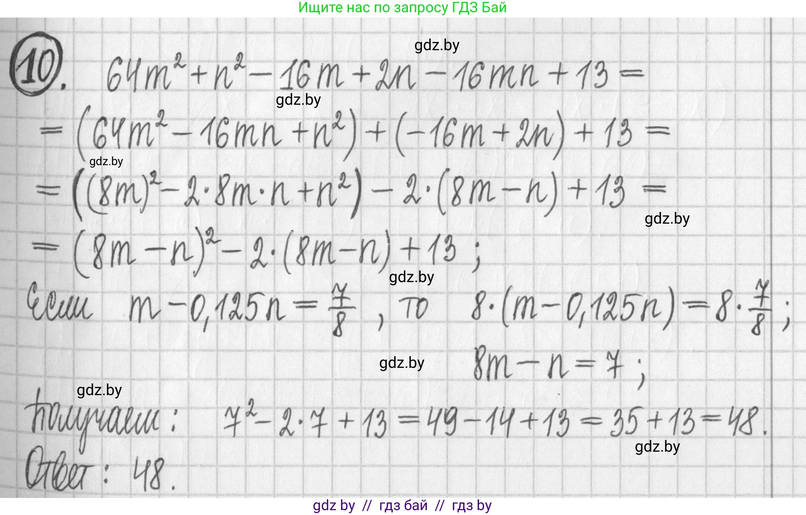
10. Найдите значение выражения $64m^2 + n^2 - 16m + 2n - 16mn + 13$, если известно, что $m - 0.125n = \frac{7}{8}$.

Решение. №10 (с. 144)
Алгебра, 7 класс Учебник, авторы: Арефьева Ирина Глебовна, Пирютко Ольга Николаевна, издательство Народная асвета, Минск, 2022, зелёного цвета, страница 144, номер 10, Решение
Решение 2. №10 (с. 144)

10. Найдите значение выражения $64m^2 + n^2 - 16m + 2n - 16mn + 13$, если известно, что $m - 0,125n = \frac{7}{8}$

Для решения задачи сначала упростим данное алгебраическое выражение, а затем используем известное условие.

Шаг 1: Упрощение выражения

Перегруппируем слагаемые в выражении, чтобы выделить полный квадрат по формуле $(a-b)^2 = a^2 - 2ab + b^2$:

$ (64m^2 - 16mn + n^2) + (-16m + 2n) + 13 $

Первая группа слагаемых $64m^2 - 16mn + n^2$ является полным квадратом разности, где $a=8m$ и $b=n$:

$ (8m)^2 - 2 \cdot (8m) \cdot n + n^2 = (8m - n)^2 $

Теперь преобразуем вторую группу слагаемых $-16m + 2n$, вынеся за скобки общий множитель $-2$:

$ -16m + 2n = -2(8m - n) $

Подставим полученные части обратно в исходное выражение:

$ (8m - n)^2 - 2(8m - n) + 13 $

Шаг 2: Преобразование условия

Теперь рассмотрим данное условие: $m - 0,125n = \frac{7}{8}$.

Переведем десятичную дробь $0,125$ в обыкновенную:

$ 0,125 = \frac{125}{1000} = \frac{1}{8} $

Условие принимает вид:

$ m - \frac{1}{8}n = \frac{7}{8} $

Чтобы найти значение выражения $(8m-n)$, которое мы получили в Шаге 1, умножим обе части этого равенства на 8:

$ 8 \cdot (m - \frac{1}{8}n) = 8 \cdot \frac{7}{8} $

$ 8m - n = 7 $

Шаг 3: Вычисление итогового значения

Подставим найденное значение $8m - n = 7$ в упрощенное выражение из Шага 1:

$ (8m - n)^2 - 2(8m - n) + 13 = (7)^2 - 2(7) + 13 $

Выполним вычисления:

$ 49 - 14 + 13 = 35 + 13 = 48 $

Ответ: 48

Помогло решение? Оставьте отзыв в комментариях ниже.

Присоединяйтесь к Телеграм-группе @gdz_by_belarus

Присоединиться

Мы подготовили для вас ответ c подробным объяснением домашего задания по алгебре за 7 класс, для упражнения номер 10 расположенного на странице 144 к учебнику 2022 года издания для учащихся школ и гимназий.

Теперь на нашем сайте ГДЗ.ТОП вы всегда легко и бесплатно найдёте условие с правильным ответом на вопрос «Как решить ДЗ» и «Как сделать» задание по алгебре к упражнению №10 (с. 144), авторов: Арефьева (Ирина Глебовна), Пирютко (Ольга Николаевна), учебного пособия издательства Народная асвета.