Номер 3.333, страница 242 - гдз по алгебре 7 класс учебник Арефьева, Пирютко

Алгебра, 7 класс Учебник, авторы: Арефьева Ирина Глебовна, Пирютко Ольга Николаевна, издательство Народная асвета, Минск, 2022, зелёного цвета

Авторы: Арефьева И. Г., Пирютко О. Н.

Тип: Учебник

Издательство: Народная асвета

Год издания: 2022 - 2026

Цвет обложки: зелёный с графиком

ISBN: ISBN 978-985-03-3770-2

Допущено Министерством образования Республики Беларусь

Глава 3. Линейные уравнения. Линейные неравенства. Линейная функция. Параграф 20. Линейная функция и ее свойства - номер 3.333, страница 242.

№3.333 (с. 242)
Условие. №3.333 (с. 242)
скриншот условия
Алгебра, 7 класс Учебник, авторы: Арефьева Ирина Глебовна, Пирютко Ольга Николаевна, издательство Народная асвета, Минск, 2022, зелёного цвета, страница 242, номер 3.333, Условие

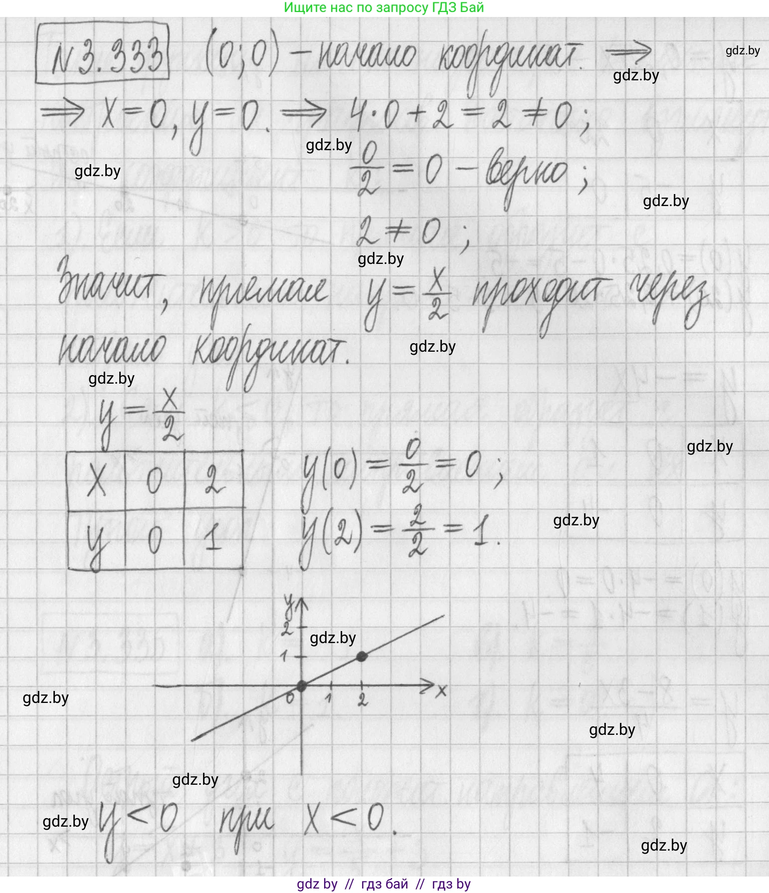
3.333. Определите, какая из прямых $y=4x+2$; $y=\frac{x}{2}$; $y=2$ проходит через начало координат. Постройте эту прямую. Пользуясь графиком, найдите, при каких значениях аргумента соответствующая функция принимает отрицательные значения.

Решение. №3.333 (с. 242)
Алгебра, 7 класс Учебник, авторы: Арефьева Ирина Глебовна, Пирютко Ольга Николаевна, издательство Народная асвета, Минск, 2022, зелёного цвета, страница 242, номер 3.333, Решение
Решение 2. №3.333 (с. 242)

Данная задача состоит из трех частей: выбор прямой, проходящей через начало координат, ее построение и анализ графика.

Определите, какая из прямых $y=4x+2; y=\frac{x}{2}; y=2$ проходит через начало координат.

Прямая проходит через начало координат, если ее график содержит точку O(0; 0). Чтобы это проверить, необходимо подставить значения $x=0$ и $y=0$ в уравнение каждой прямой. Если получится верное числовое равенство, то прямая проходит через начало координат.

  • Проверим прямую $y = 4x + 2$:
    Подставляем $x=0$ и $y=0$:
    $0 = 4 \cdot 0 + 2$
    $0 = 2$
    Равенство неверное.
  • Проверим прямую $y = \frac{x}{2}$:
    Подставляем $x=0$ и $y=0$:
    $0 = \frac{0}{2}$
    $0 = 0$
    Равенство верное.
  • Проверим прямую $y = 2$:
    В этом уравнении $y$ всегда равен 2 и не зависит от $x$. При $y=0$ получаем неверное равенство $0=2$.

Ответ: Через начало координат проходит прямая $y = \frac{x}{2}$.

Постройте эту прямую.

Для построения графика прямой $y = \frac{x}{2}$ достаточно двух точек. Одна точка нам уже известна — это начало координат (0; 0).

Найдем вторую точку. Для этого выберем произвольное значение аргумента $x$, например, $x=4$ :
$y = \frac{4}{2} = 2$
Таким образом, мы получили вторую точку с координатами (4; 2).

Теперь построим график, проведя прямую через точки (0; 0) и (4; 2) на координатной плоскости.

x y 0 1 4 1 2 (0;0) (4;2)

Ответ: График прямой $y = \frac{x}{2}$ построен на рисунке.

Пользуясь графиком, найдите, при каких значениях аргумента соответствующая функция принимает отрицательные значения.

Чтобы найти значения аргумента ($x$), при которых функция ($y$) принимает отрицательные значения ($y < 0$), нужно определить, на каком интервале график прямой расположен ниже оси абсцисс (оси Ox).

Анализируя построенный график, мы видим, что часть прямой, соответствующая отрицательным значениям $y$, находится в третьей координатной четверти. Это происходит, когда значения $x$ меньше нуля.

Проверим это аналитически, решив неравенство: $y < 0 \implies \frac{x}{2} < 0$

Умножив обе части неравенства на 2 (положительное число), получим: $x < 0$

Ответ: Функция принимает отрицательные значения при $x < 0$, то есть при $x \in (-\infty; 0)$.

Помогло решение? Оставьте отзыв в комментариях ниже.

Присоединяйтесь к Телеграм-группе @gdz_by_belarus

Присоединиться

Мы подготовили для вас ответ c подробным объяснением домашего задания по алгебре за 7 класс, для упражнения номер 3.333 расположенного на странице 242 к учебнику 2022 года издания для учащихся школ и гимназий.

Теперь на нашем сайте ГДЗ.ТОП вы всегда легко и бесплатно найдёте условие с правильным ответом на вопрос «Как решить ДЗ» и «Как сделать» задание по алгебре к упражнению №3.333 (с. 242), авторов: Арефьева (Ирина Глебовна), Пирютко (Ольга Николаевна), учебного пособия издательства Народная асвета.