Номер 3.337, страница 243 - гдз по алгебре 7 класс учебник Арефьева, Пирютко

Алгебра, 7 класс Учебник, авторы: Арефьева Ирина Глебовна, Пирютко Ольга Николаевна, издательство Народная асвета, Минск, 2022, зелёного цвета

Авторы: Арефьева И. Г., Пирютко О. Н.

Тип: Учебник

Издательство: Народная асвета

Год издания: 2022 - 2026

Цвет обложки: зелёный с графиком

ISBN: ISBN 978-985-03-3770-2

Допущено Министерством образования Республики Беларусь

Глава 3. Линейные уравнения. Линейные неравенства. Линейная функция. Параграф 20. Линейная функция и ее свойства - номер 3.337, страница 243.

№3.337 (с. 243)
Условие. №3.337 (с. 243)
скриншот условия
Алгебра, 7 класс Учебник, авторы: Арефьева Ирина Глебовна, Пирютко Ольга Николаевна, издательство Народная асвета, Минск, 2022, зелёного цвета, страница 243, номер 3.337, Условие

3.337. На рисунке 52 изображены графики функций:

а) $y = -6$;

б) $y = -\frac{x}{2} + 4$;

в) $y = \frac{12x + 9}{4}$;

г) $y = 3x - 2,5$;

д) $y = -x$.

Установите соответствие между формулами функций и их графиками.

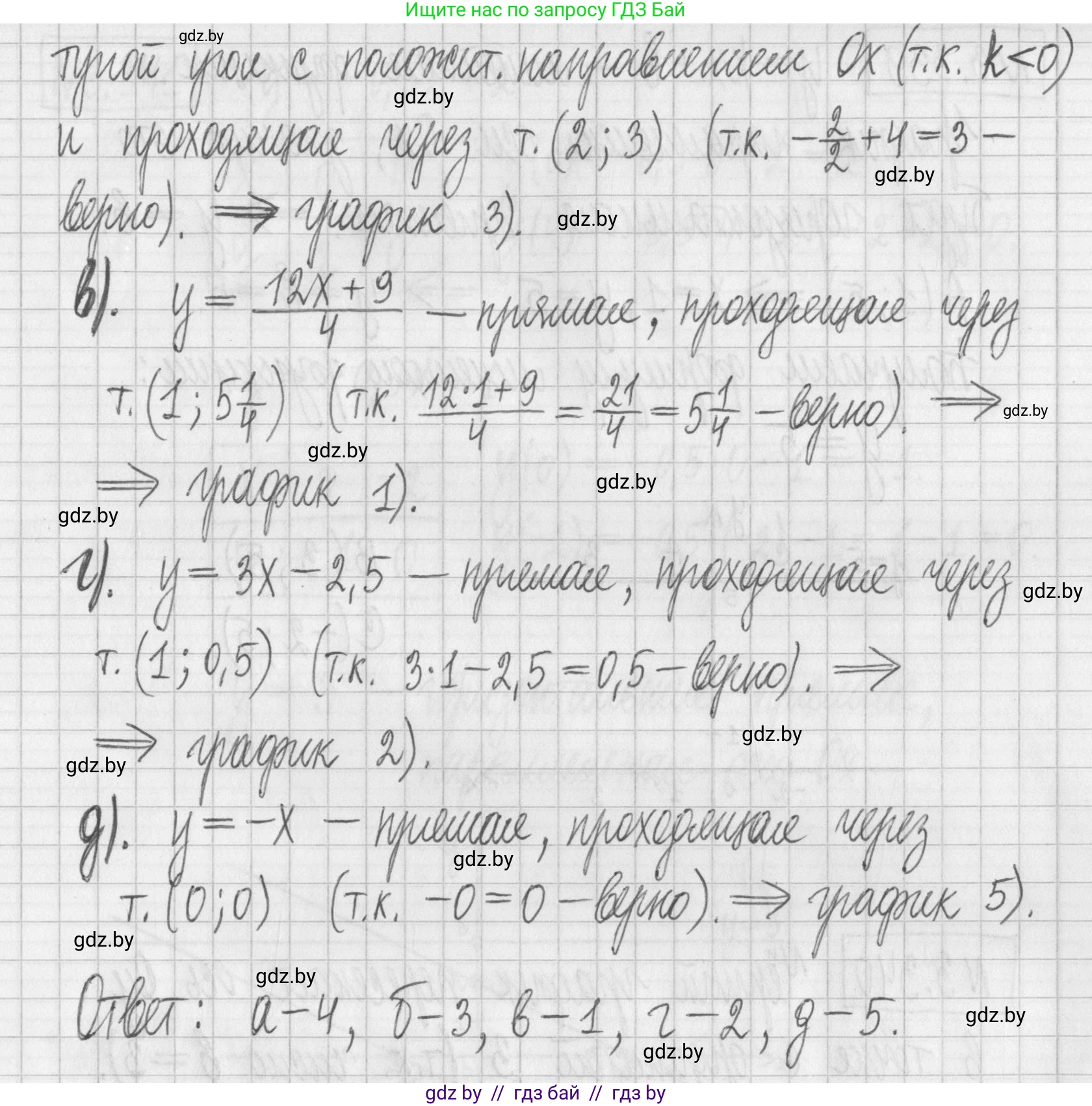
Решение. №3.337 (с. 243)
Алгебра, 7 класс Учебник, авторы: Арефьева Ирина Глебовна, Пирютко Ольга Николаевна, издательство Народная асвета, Минск, 2022, зелёного цвета, страница 243, номер 3.337, Решение Алгебра, 7 класс Учебник, авторы: Арефьева Ирина Глебовна, Пирютко Ольга Николаевна, издательство Народная асвета, Минск, 2022, зелёного цвета, страница 243, номер 3.337, Решение (продолжение 2)
Решение 2. №3.337 (с. 243)

Для того чтобы установить соответствие между формулами функций и их графиками (которые должны быть на рисунке 52), необходимо проанализировать каждую функцию. Все представленные функции являются линейными, и их график — прямая линия. Общий вид линейной функции: $y = kx + b$, где:

  • $k$ — угловой коэффициент, который определяет наклон прямой.
  • $b$ — ордината точки пересечения графика с осью OY (y-перехват).

Основные свойства:

  • Если $k > 0$, функция возрастает (график идет вверх слева направо).
  • Если $k < 0$, функция убывает (график идет вниз слева направо).
  • Если $k = 0$, график — горизонтальная прямая, параллельная оси OX.
  • График пересекает ось OY в точке с координатами $(0, b)$.
  • Если $b=0$, график проходит через начало координат.

Проанализируем каждую функцию:

а) $y = -6$

Это функция вида $y = kx + b$, где угловой коэффициент $k = 0$ и $b = -6$.

Так как $k=0$, график функции — это горизонтальная прямая, параллельная оси OX.

Так как $b=-6$, эта прямая пересекает ось OY в точке с ординатой -6.

Ответ: График, соответствующий этой формуле, — это горизонтальная прямая, проходящая через точку $(0, -6)$.

б) $y = -\frac{x}{2} + 4$

Перепишем функцию в стандартном виде: $y = -0,5x + 4$.

Здесь угловой коэффициент $k = -0,5$ и $b = 4$.

Так как $k < 0$, функция является убывающей (график наклонен вниз).

Так как $b = 4$, график пересекает ось OY в точке $(0, 4)$.

Найдем точку пересечения с осью OX, приравняв $y$ к нулю: $0 = -0,5x + 4 \implies 0,5x = 4 \implies x = 8$. Точка пересечения с осью OX — $(8, 0)$.

Ответ: График — убывающая прямая, которая пересекает ось OY в точке $(0, 4)$ и ось OX в точке $(8, 0)$.

в) $y = \frac{12x + 9}{4}$

Преобразуем формулу, разделив каждый член числителя на знаменатель: $y = \frac{12x}{4} + \frac{9}{4} = 3x + \frac{9}{4}$.

Выделим целую часть из неправильной дроби: $y = 3x + 2\frac{1}{4}$.

Здесь угловой коэффициент $k = 3$ и $b = 2\frac{1}{4}$.

Так как $k > 0$, функция является возрастающей (график наклонен вверх).

Так как $b = 2\frac{1}{4}$, график пересекает ось OY в точке $(0, 2\frac{1}{4})$.

Ответ: График — возрастающая прямая, пересекающая ось OY в точке $(0, 2\frac{1}{4})$, то есть немного выше значения 2.

г) $y = 3x - 2,5$

Представим десятичную дробь в виде смешанного числа: $y = 3x - 2\frac{1}{2}$.

Здесь угловой коэффициент $k = 3$ и $b = -2\frac{1}{2}$.

Так как $k = 3 > 0$, функция является возрастающей. Угловой коэффициент совпадает с коэффициентом в функции (в), следовательно, их графики параллельны.

Так как $b = -2\frac{1}{2}$, график пересекает ось OY в точке $(0, -2\frac{1}{2})$.

Ответ: График — возрастающая прямая, параллельная графику из пункта (в) и пересекающая ось OY в точке $(0, -2\frac{1}{2})$.

д) $y = -x$

Это функция вида $y = kx + b$, где угловой коэффициент $k = -1$ и $b = 0$.

Так как $k < 0$, функция является убывающей.

Так как $b = 0$, график проходит через начало координат, точку $(0, 0)$.

Этот график является биссектрисой II и IV координатных четвертей.

Ответ: График — убывающая прямая, проходящая через начало координат $(0, 0)$.

Помогло решение? Оставьте отзыв в комментариях ниже.

Присоединяйтесь к Телеграм-группе @gdz_by_belarus

Присоединиться

Мы подготовили для вас ответ c подробным объяснением домашего задания по алгебре за 7 класс, для упражнения номер 3.337 расположенного на странице 243 к учебнику 2022 года издания для учащихся школ и гимназий.

Теперь на нашем сайте ГДЗ.ТОП вы всегда легко и бесплатно найдёте условие с правильным ответом на вопрос «Как решить ДЗ» и «Как сделать» задание по алгебре к упражнению №3.337 (с. 243), авторов: Арефьева (Ирина Глебовна), Пирютко (Ольга Николаевна), учебного пособия издательства Народная асвета.