Номер 3.341, страница 244 - гдз по алгебре 7 класс учебник Арефьева, Пирютко

Алгебра, 7 класс Учебник, авторы: Арефьева Ирина Глебовна, Пирютко Ольга Николаевна, издательство Народная асвета, Минск, 2022, зелёного цвета

Авторы: Арефьева И. Г., Пирютко О. Н.

Тип: Учебник

Издательство: Народная асвета

Год издания: 2022 - 2026

Цвет обложки: зелёный с графиком

ISBN: ISBN 978-985-03-3770-2

Допущено Министерством образования Республики Беларусь

Глава 3. Линейные уравнения. Линейные неравенства. Линейная функция. Параграф 20. Линейная функция и ее свойства - номер 3.341, страница 244.

№3.341 (с. 244)
Условие. №3.341 (с. 244)
скриншот условия
Алгебра, 7 класс Учебник, авторы: Арефьева Ирина Глебовна, Пирютко Ольга Николаевна, издательство Народная асвета, Минск, 2022, зелёного цвета, страница 244, номер 3.341, Условие

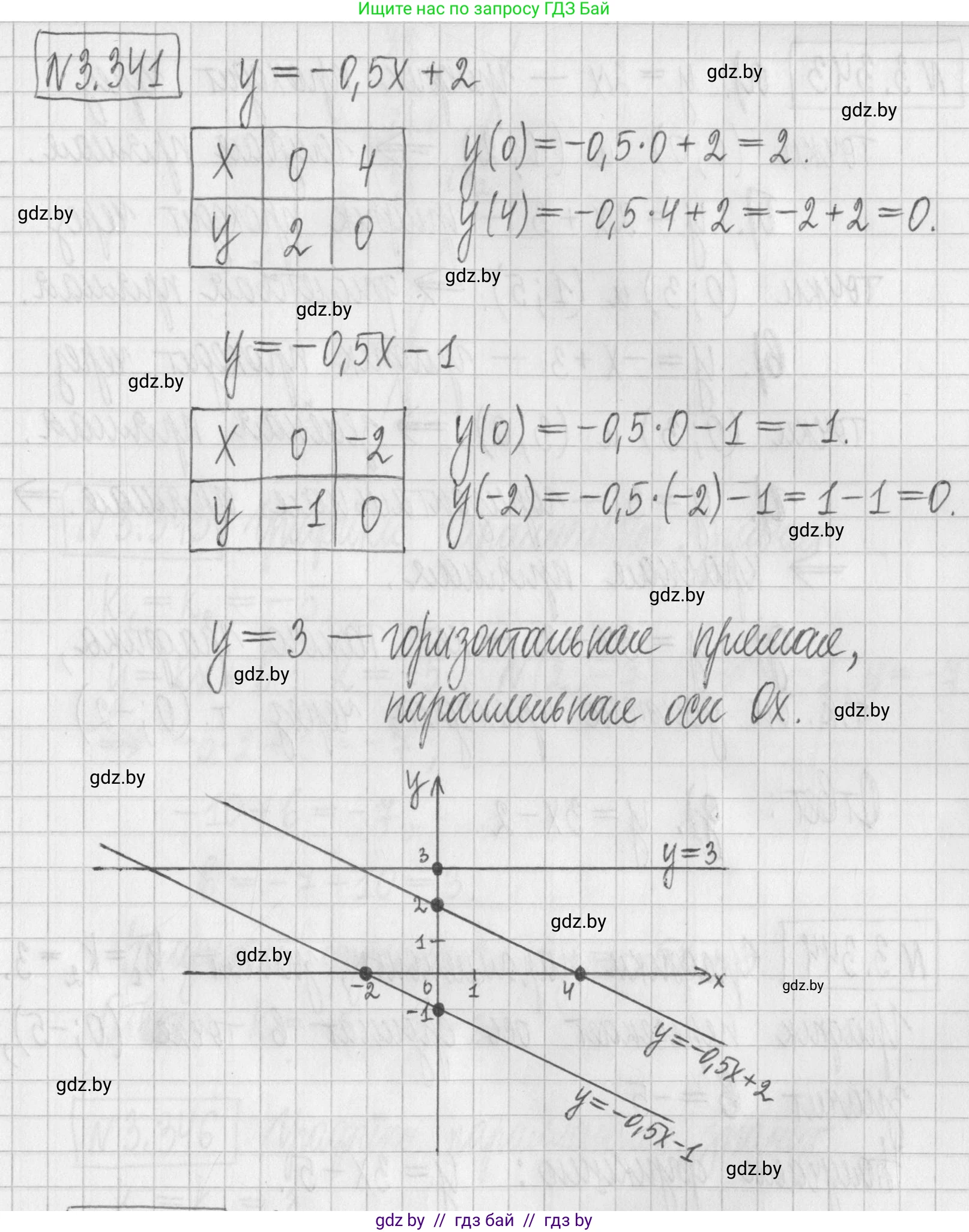
3.341. В одной системе координат постройте графики функций $y=-0,5x+2$; $y=-0,5x-1$; $y=3$.

Решение. №3.341 (с. 244)
Алгебра, 7 класс Учебник, авторы: Арефьева Ирина Глебовна, Пирютко Ольга Николаевна, издательство Народная асвета, Минск, 2022, зелёного цвета, страница 244, номер 3.341, Решение
Решение 2. №3.341 (с. 244)

Для того чтобы построить графики функций $y = -0,5x + 2$, $y = -0,5x - 1$ и $y = 3$ в одной системе координат, необходимо для каждой функции определить ее тип и найти координаты точек для построения.

Построение графика функции y = -0,5x + 2

Это линейная функция вида $y = kx + b$, графиком которой является прямая. Угловой коэффициент $k = -0,5$, свободный член (точка пересечения с осью Oy) $b=2$. Для построения прямой найдем координаты двух ее точек.

  • Точка пересечения с осью Oy: при $x = 0$, получаем $y = -0,5 \cdot 0 + 2 = 2$. Координаты точки: $(0; 2)$.
  • Для нахождения второй точки возьмем произвольное значение $x$, например, $x = 4$. Тогда $y = -0,5 \cdot 4 + 2 = -2 + 2 = 0$. Координаты точки: $(4; 0)$.

Проводим прямую через точки $(0; 2)$ и $(4; 0)$.
Ответ: График — прямая линия, проходящая через точки $(0; 2)$ и $(4; 0)$.

Построение графика функции y = -0,5x - 1

Это также линейная функция. Её угловой коэффициент $k = -0,5$ совпадает с угловым коэффициентом предыдущей функции, а это значит, что их графики — параллельные прямые. Свободный член $b=-1$.

Найдем две точки для построения этой прямой:

  • Точка пересечения с осью Oy: при $x = 0$, получаем $y = -0,5 \cdot 0 - 1 = -1$. Координаты точки: $(0; -1)$.
  • Для нахождения второй точки возьмем $x = -2$. Тогда $y = -0,5 \cdot (-2) - 1 = 1 - 1 = 0$. Координаты точки: $(-2; 0)$.

Проводим прямую через точки $(0; -1)$ и $(-2; 0)$.
Ответ: График — прямая линия, параллельная прямой $y = -0,5x + 2$ и проходящая через точки $(0; -1)$ и $(-2; 0)$.

Построение графика функции y = 3

Это постоянная функция. Ее график — прямая, параллельная оси абсцисс (Ox). Для любого значения $x$ значение $y$ всегда равно 3.

Эта прямая проходит через точку $(0; 3)$ на оси ординат и параллельна оси Ox.
Ответ: График — горизонтальная прямая, проходящая через все точки с ординатой 3, например, через точку $(0; 3)$.

Итог: Все три графика строятся в одной декартовой системе координат. В результате мы получаем две параллельные прямые с отрицательным наклоном ($y = -0,5x + 2$ и $y = -0,5x - 1$) и одну горизонтальную прямую ($y = 3$), которая пересекает обе параллельные прямые.

Помогло решение? Оставьте отзыв в комментариях ниже.

Присоединяйтесь к Телеграм-группе @gdz_by_belarus

Присоединиться

Мы подготовили для вас ответ c подробным объяснением домашего задания по алгебре за 7 класс, для упражнения номер 3.341 расположенного на странице 244 к учебнику 2022 года издания для учащихся школ и гимназий.

Теперь на нашем сайте ГДЗ.ТОП вы всегда легко и бесплатно найдёте условие с правильным ответом на вопрос «Как решить ДЗ» и «Как сделать» задание по алгебре к упражнению №3.341 (с. 244), авторов: Арефьева (Ирина Глебовна), Пирютко (Ольга Николаевна), учебного пособия издательства Народная асвета.