Номер 3.12, страница 153 - гдз по алгебре 7 класс учебник Арефьева, Пирютко

Алгебра, 7 класс Учебник, авторы: Арефьева Ирина Глебовна, Пирютко Ольга Николаевна, издательство Народная асвета, Минск, 2022, зелёного цвета

Авторы: Арефьева И. Г., Пирютко О. Н.

Тип: Учебник

Издательство: Народная асвета

Год издания: 2022 - 2026

Цвет обложки: зелёный с графиком

ISBN: ISBN 978-985-03-3770-2

Допущено Министерством образования Республики Беларусь

Глава 3. Линейные уравнения. Линейные неравенства. Линейная функция. Параграф 15. Линейные уравнения с одной переменной - номер 3.12, страница 153.

№3.12 (с. 153)
Условие. №3.12 (с. 153)
скриншот условия
Алгебра, 7 класс Учебник, авторы: Арефьева Ирина Глебовна, Пирютко Ольга Николаевна, издательство Народная асвета, Минск, 2022, зелёного цвета, страница 153, номер 3.12, Условие

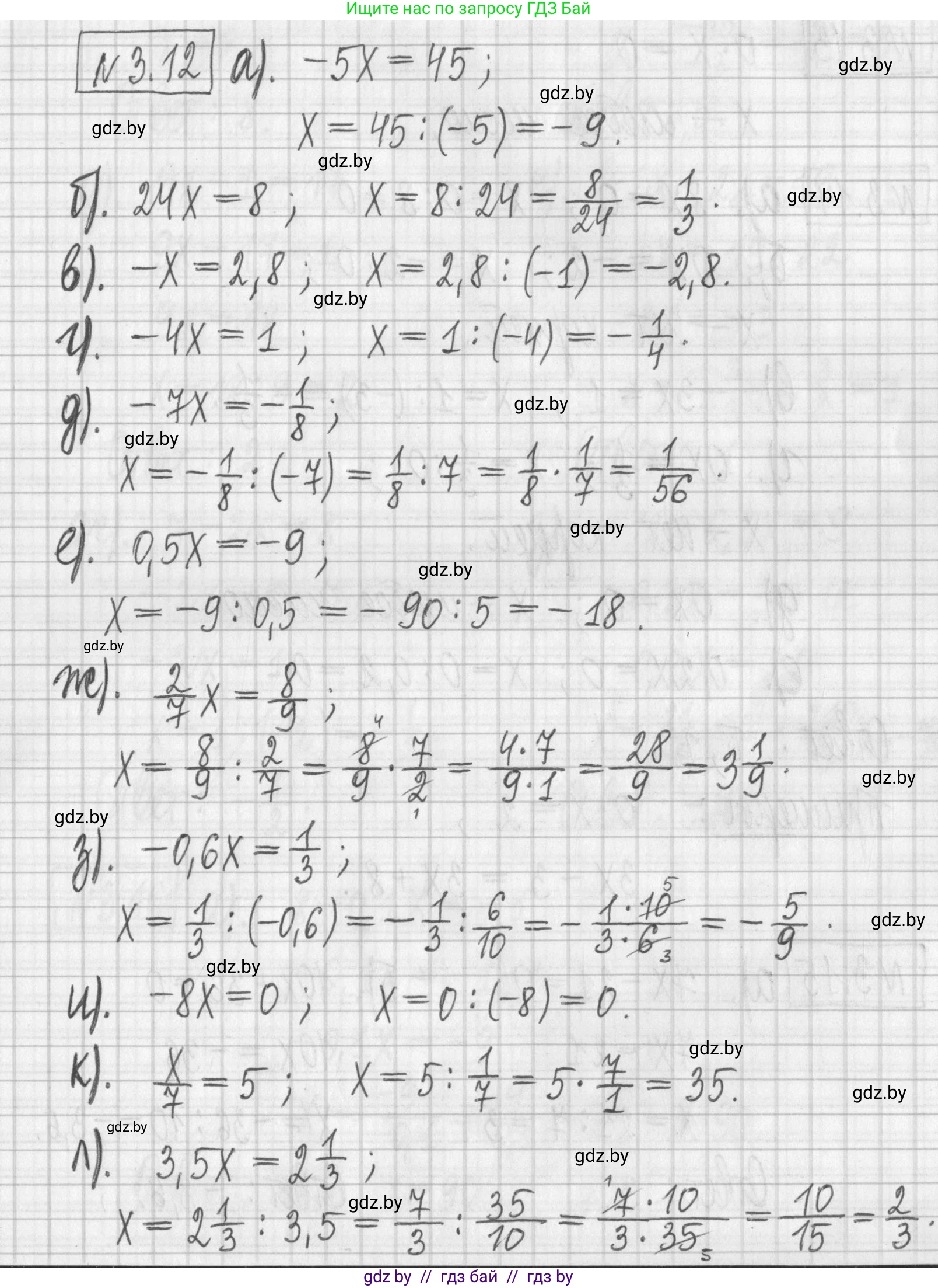
3.12. Решите линейное уравнение:

а) $-5x = 45;$

б) $24x = 8;$

в) $-x = 2,8;$

г) $-4x = 1;$

д) $-7x = -\frac{1}{8};$

е) $0,5x = -9;$

ж) $\frac{2}{7}x = \frac{8}{9};$

з) $-0,6x = \frac{1}{3};$

и) $-8x = 0;$

к) $\frac{x}{7} = 5;$

л) $3,5x = 2\frac{1}{3};$

м) $1,6x = -0,64.$

Решение. №3.12 (с. 153)
Алгебра, 7 класс Учебник, авторы: Арефьева Ирина Глебовна, Пирютко Ольга Николаевна, издательство Народная асвета, Минск, 2022, зелёного цвета, страница 153, номер 3.12, Решение Алгебра, 7 класс Учебник, авторы: Арефьева Ирина Глебовна, Пирютко Ольга Николаевна, издательство Народная асвета, Минск, 2022, зелёного цвета, страница 153, номер 3.12, Решение (продолжение 2)
Решение 2. №3.12 (с. 153)

а) Чтобы найти $x$, разделим обе части уравнения на коэффициент при $x$, то есть на -5.
$-5x = 45$
$x = 45 \div (-5)$
$x = -9$
Ответ: $-9$

б) Разделим обе части уравнения на 24.
$24x = 8$
$x = \frac{8}{24}$
Сократим дробь на 8.
$x = \frac{1}{3}$
Ответ: $\frac{1}{3}$

в) Умножим обе части уравнения на -1, чтобы найти $x$.
$-x = 2,8$
$x = -2,8$
Ответ: $-2,8$

г) Разделим обе части уравнения на -4.
$-4x = 1$
$x = 1 \div (-4)$
$x = -\frac{1}{4}$
Ответ: $-\frac{1}{4}$

д) Разделим обе части уравнения на -7.
$-7x = -\frac{1}{8}$
$x = (-\frac{1}{8}) \div (-7)$
$x = (-\frac{1}{8}) \cdot (-\frac{1}{7})$
$x = \frac{1}{56}$
Ответ: $\frac{1}{56}$

е) Разделим обе части уравнения на 0,5. Деление на 0,5 равносильно умножению на 2.
$0,5x = -9$
$x = -9 \div 0,5$
$x = -18$
Ответ: $-18$

ж) Чтобы найти $x$, умножим обе части на число, обратное коэффициенту $\frac{2}{7}$, то есть на $\frac{7}{2}$.
$\frac{2}{7}x = \frac{8}{9}$
$x = \frac{8}{9} \div \frac{2}{7}$
$x = \frac{8}{9} \cdot \frac{7}{2}$
$x = \frac{8 \cdot 7}{9 \cdot 2} = \frac{4 \cdot 7}{9 \cdot 1} = \frac{28}{9}$
Преобразуем неправильную дробь в смешанное число.
$x = 3\frac{1}{9}$
Ответ: $3\frac{1}{9}$

з) Представим десятичную дробь -0,6 в виде обыкновенной: $-0,6 = -\frac{6}{10} = -\frac{3}{5}$.
$-\frac{3}{5}x = \frac{1}{3}$
$x = \frac{1}{3} \div (-\frac{3}{5})$
$x = \frac{1}{3} \cdot (-\frac{5}{3})$
$x = -\frac{5}{9}$
Ответ: $-\frac{5}{9}$

и) Разделим обе части на -8.
$-8x = 0$
$x = 0 \div (-8)$
$x = 0$
Ответ: $0$

к) Уравнение можно записать как $\frac{1}{7}x = 5$. Умножим обе части на 7.
$\frac{x}{7} = 5$
$x = 5 \cdot 7$
$x = 35$
Ответ: $35$

л) Представим все числа в виде обыкновенных дробей: $3,5 = \frac{35}{10} = \frac{7}{2}$ и $2\frac{1}{3} = \frac{7}{3}$.
$\frac{7}{2}x = \frac{7}{3}$
$x = \frac{7}{3} \div \frac{7}{2}$
$x = \frac{7}{3} \cdot \frac{2}{7}$
$x = \frac{2}{3}$
Ответ: $\frac{2}{3}$

м) Разделим обе части уравнения на 1,6.
$1,6x = -0,64$
$x = -0,64 \div 1,6$
$x = -0,4$
Ответ: $-0,4$

Помогло решение? Оставьте отзыв в комментариях ниже.

Присоединяйтесь к Телеграм-группе @gdz_by_belarus

Присоединиться

Мы подготовили для вас ответ c подробным объяснением домашего задания по алгебре за 7 класс, для упражнения номер 3.12 расположенного на странице 153 к учебнику 2022 года издания для учащихся школ и гимназий.

Теперь на нашем сайте ГДЗ.ТОП вы всегда легко и бесплатно найдёте условие с правильным ответом на вопрос «Как решить ДЗ» и «Как сделать» задание по алгебре к упражнению №3.12 (с. 153), авторов: Арефьева (Ирина Глебовна), Пирютко (Ольга Николаевна), учебного пособия издательства Народная асвета.