Номер 3.19, страница 154 - гдз по алгебре 7 класс учебник Арефьева, Пирютко

Алгебра, 7 класс Учебник, авторы: Арефьева Ирина Глебовна, Пирютко Ольга Николаевна, издательство Народная асвета, Минск, 2022, зелёного цвета

Авторы: Арефьева И. Г., Пирютко О. Н.

Тип: Учебник

Издательство: Народная асвета

Год издания: 2022 - 2026

Цвет обложки: зелёный с графиком

ISBN: ISBN 978-985-03-3770-2

Допущено Министерством образования Республики Беларусь

Глава 3. Линейные уравнения. Линейные неравенства. Линейная функция. Параграф 15. Линейные уравнения с одной переменной - номер 3.19, страница 154.

№3.19 (с. 154)
Условие. №3.19 (с. 154)
скриншот условия
Алгебра, 7 класс Учебник, авторы: Арефьева Ирина Глебовна, Пирютко Ольга Николаевна, издательство Народная асвета, Минск, 2022, зелёного цвета, страница 154, номер 3.19, Условие

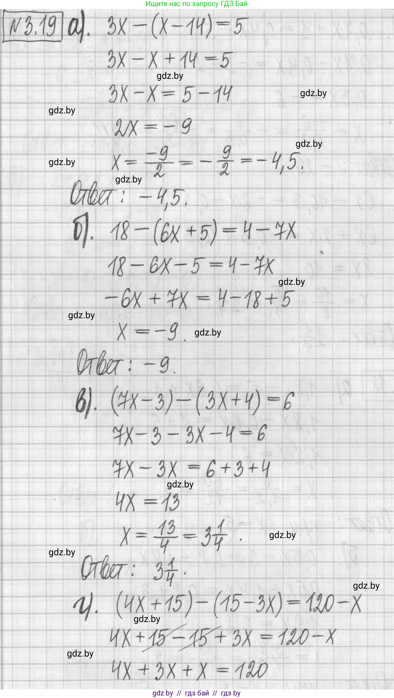
3.19. Решите уравнение, используя алгоритм:

a) $3x-(x-14)=5;$

б) $18-(6x+5)=4-7x;$

в) $(7x-3)-(3x+4)=6;$

г) $(4x+15)-(15-3x)=120-x.$

Решение. №3.19 (с. 154)
Алгебра, 7 класс Учебник, авторы: Арефьева Ирина Глебовна, Пирютко Ольга Николаевна, издательство Народная асвета, Минск, 2022, зелёного цвета, страница 154, номер 3.19, Решение Алгебра, 7 класс Учебник, авторы: Арефьева Ирина Глебовна, Пирютко Ольга Николаевна, издательство Народная асвета, Минск, 2022, зелёного цвета, страница 154, номер 3.19, Решение (продолжение 2)
Решение 2. №3.19 (с. 154)

Алгоритм решения линейного уравнения:

  1. Раскрыть все скобки.
  2. Перенести слагаемые, содержащие переменную, в одну часть уравнения (обычно в левую), а слагаемые без переменной (свободные члены) — в другую. При переносе слагаемого из одной части в другую его знак меняется на противоположный.
  3. Привести подобные слагаемые в каждой части уравнения.
  4. Разделить обе части уравнения на коэффициент при переменной.

а) $3x - (x - 14) = 5$

1. Раскроем скобки. Так как перед скобкой стоит знак минус, знаки слагаемых внутри скобок меняются на противоположные:

$3x - x + 14 = 5$

2. Приведем подобные слагаемые в левой части и перенесем свободный член (14) в правую часть уравнения, изменив его знак:

$(3 - 1)x = 5 - 14$

$2x = -9$

3. Найдем $x$, разделив обе части на 2:

$x = \frac{-9}{2}$

4. Выделим целую часть из неправильной дроби:

$x = -4\frac{1}{2}$

Ответ: $-4\frac{1}{2}$


б) $18 - (6x + 5) = 4 - 7x$

1. Раскроем скобки в левой части:

$18 - 6x - 5 = 4 - 7x$

2. Перенесем слагаемые с переменной $x$ в левую часть, а свободные члены - в правую:

$-6x + 7x = 4 - 18 + 5$

3. Приведем подобные слагаемые в обеих частях:

$(-6 + 7)x = (4 + 5) - 18$

$1x = 9 - 18$

$x = -9$

Ответ: -9


в) $(7x - 3) - (3x + 4) = 6$

1. Раскроем скобки. Перед второй скобкой стоит знак минус, поэтому знаки слагаемых в ней меняются:

$7x - 3 - 3x - 4 = 6$

2. Перенесем свободные члены в правую часть, а слагаемые с переменной оставим в левой:

$7x - 3x = 6 + 3 + 4$

3. Приведем подобные слагаемые в обеих частях:

$(7 - 3)x = 13$

$4x = 13$

4. Найдем $x$, разделив обе части на 4:

$x = \frac{13}{4}$

5. Выделим целую часть из неправильной дроби:

$x = 3\frac{1}{4}$

Ответ: $3\frac{1}{4}$


г) $(4x + 15) - (15 - 3x) = 120 - x$

1. Раскроем скобки:

$4x + 15 - 15 + 3x = 120 - x$

2. Перенесем все слагаемые с переменной $x$ в левую часть:

$4x + 3x + x = 120 - 15 + 15$

3. Приведем подобные слагаемые в обеих частях:

$(4 + 3 + 1)x = 120$

$8x = 120$

4. Найдем $x$, разделив обе части на 8:

$x = \frac{120}{8}$

$x = 15$

Ответ: 15

Помогло решение? Оставьте отзыв в комментариях ниже.

Присоединяйтесь к Телеграм-группе @gdz_by_belarus

Присоединиться

Мы подготовили для вас ответ c подробным объяснением домашего задания по алгебре за 7 класс, для упражнения номер 3.19 расположенного на странице 154 к учебнику 2022 года издания для учащихся школ и гимназий.

Теперь на нашем сайте ГДЗ.ТОП вы всегда легко и бесплатно найдёте условие с правильным ответом на вопрос «Как решить ДЗ» и «Как сделать» задание по алгебре к упражнению №3.19 (с. 154), авторов: Арефьева (Ирина Глебовна), Пирютко (Ольга Николаевна), учебного пособия издательства Народная асвета.