Номер 3.22, страница 154 - гдз по алгебре 7 класс учебник Арефьева, Пирютко

Алгебра, 7 класс Учебник, авторы: Арефьева Ирина Глебовна, Пирютко Ольга Николаевна, издательство Народная асвета, Минск, 2022, зелёного цвета

Авторы: Арефьева И. Г., Пирютко О. Н.

Тип: Учебник

Издательство: Народная асвета

Год издания: 2022 - 2026

Цвет обложки: зелёный с графиком

ISBN: ISBN 978-985-03-3770-2

Допущено Министерством образования Республики Беларусь

Глава 3. Линейные уравнения. Линейные неравенства. Линейная функция. Параграф 15. Линейные уравнения с одной переменной - номер 3.22, страница 154.

№3.22 (с. 154)
Условие. №3.22 (с. 154)
скриншот условия
Алгебра, 7 класс Учебник, авторы: Арефьева Ирина Глебовна, Пирютко Ольга Николаевна, издательство Народная асвета, Минск, 2022, зелёного цвета, страница 154, номер 3.22, Условие

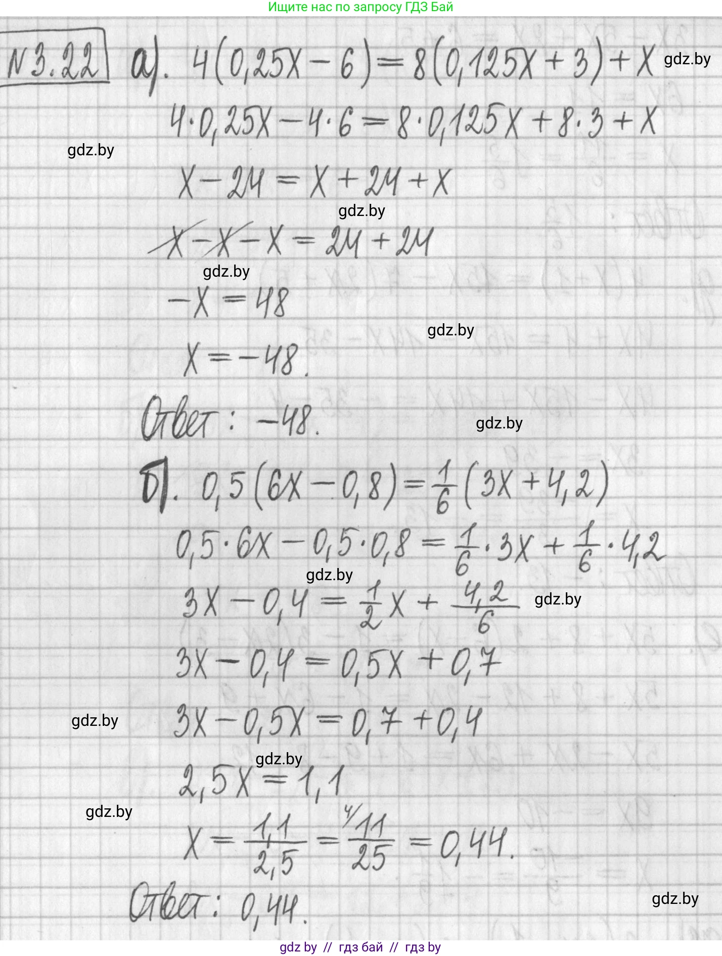
3.22. Найдите корень уравнения:

a) $4(0,25x - 6) = 8(0,125x + 3) + x;$

б) $0,5(6x - 0,8) = \frac{1}{6}(3x + 4,2).$

Решение. №3.22 (с. 154)
Алгебра, 7 класс Учебник, авторы: Арефьева Ирина Глебовна, Пирютко Ольга Николаевна, издательство Народная асвета, Минск, 2022, зелёного цвета, страница 154, номер 3.22, Решение
Решение 2. №3.22 (с. 154)

а) $4(0,25x - 6) = 8(0,125x + 3) + x$

Сначала раскроем скобки в обеих частях уравнения:

$4 \cdot 0,25x - 4 \cdot 6 = 8 \cdot 0,125x + 8 \cdot 3 + x$

$1x - 24 = 1x + 24 + x$

Теперь приведем подобные слагаемые в правой части уравнения:

$x - 24 = (x + x) + 24$

$x - 24 = 2x + 24$

Перенесем все слагаемые с переменной $x$ в левую часть, а числовые слагаемые — в правую, меняя знак при переносе:

$x - 2x = 24 + 24$

Выполним вычисления:

$-x = 48$

Найдем корень уравнения, умножив обе части на -1:

$x = -48$

Ответ: -48

б) $0,5(6x - 0,8) = \frac{1}{6}(3x + 4,2)$

Для удобства вычислений умножим обе части уравнения на 6. Это позволит избавиться от дроби $\frac{1}{6}$ и десятичной дроби $0,5$ (так как $0,5 = \frac{1}{2}$):

$6 \cdot 0,5(6x - 0,8) = 6 \cdot \frac{1}{6}(3x + 4,2)$

$3(6x - 0,8) = 1 \cdot (3x + 4,2)$

Раскроем скобки в левой части:

$3 \cdot 6x - 3 \cdot 0,8 = 3x + 4,2$

$18x - 2,4 = 3x + 4,2$

Перенесем слагаемые с переменной $x$ в левую часть, а числовые слагаемые — в правую:

$18x - 3x = 4,2 + 2,4$

Приведем подобные слагаемые:

$15x = 6,6$

Найдем $x$:

$x = \frac{6,6}{15}$

Чтобы получить ответ в виде обыкновенной дроби, представим $6,6$ как $\frac{66}{10}$ и выполним деление:

$x = \frac{66}{10} : 15 = \frac{66}{10 \cdot 15} = \frac{66}{150}$

Сократим полученную дробь, разделив числитель и знаменатель на 6:

$x = \frac{66:6}{150:6} = \frac{11}{25}$

Ответ: $\frac{11}{25}$

Помогло решение? Оставьте отзыв в комментариях ниже.

Присоединяйтесь к Телеграм-группе @gdz_by_belarus

Присоединиться

Мы подготовили для вас ответ c подробным объяснением домашего задания по алгебре за 7 класс, для упражнения номер 3.22 расположенного на странице 154 к учебнику 2022 года издания для учащихся школ и гимназий.

Теперь на нашем сайте ГДЗ.ТОП вы всегда легко и бесплатно найдёте условие с правильным ответом на вопрос «Как решить ДЗ» и «Как сделать» задание по алгебре к упражнению №3.22 (с. 154), авторов: Арефьева (Ирина Глебовна), Пирютко (Ольга Николаевна), учебного пособия издательства Народная асвета.